Онлайн книга «Наука. Величайшие теории. Выпуск 6. Когда фотон встречает электрон. Фейнман. Квантовая электродинамика»
|
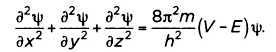
Волна приближается к перегородке, в которой на небольшом расстоянии друг от друга прорезаны две очень узкие щели. При прохождении волны каждая из щелей сама становится источником волн, взаимодействующих между собой, образуя на экране детектора характерное изображение. В 2002 году журнал Physics World опросил физиков, какой из экспериментов в истории, по их мнению, был самым красивым: первое место занял эксперимент с двумя щелями. Но более удивительным является то, что между теоретическим обоснованием и практической реализацией этого опыта прошло 30 лет. Изначально имел место мысленный эксперимент. А в 1961 году, когда квантовая теория уже хорошо себя зарекомендовала, немецкий физик Клаус Йонссон из Тюбингенского университета провел опыт и опубликовал данные в журнале Zeitschrift fur Physik. Впервые подобный эксперимент был поставлен в 1801 году, когда английский ученый Томас Юнг изложил идею об интерференции света. Один из опытов состоял в том, чтобы осветить пластинку, в которой были сделаны две маленькие щели, и наблюдать интерференционную картину, которая появлялась на экране, расположенном сзади (рисунок 3). Каждая щель сама становится источником света; взаимодействуя друг с другом, эти источники образуют видимую интерференционную картину на экране. Вот наблюдаемый на экране результат: освещенная полоса в центре экрана, точно посередине между двумя щелями, темные полосы с двух сторон от нее, и дальше в обе стороны продолжается чередование освещенных и темных полос, причем чем дальше от центра, тем менее яркими становятся освещенные полосы. Это и называют картиной интерференции (рисунок 3): рисунок, способный появиться только при условии, что свет распространяется как волна, — идея, которую Юнг противопоставлял мнению Ньютона. ![]() РИС. 4 Как показывает схема, темные и освещенные линии, которые наблюдаются во время опыта с двойной щелью, своим появлением обязаны волнам, взаимодействующим между собой, суммируя свои амплитуды (высоту своей вершины), если их фазы совпадают, или компенсируя их, если они находятся в противофазе. В настоящее время в опыт вводят маленькое изменение, об этом Фейнман рассказывал в своих лекциях. Прежде всего, представим пулемет, который выстреливает пули в устройство, подобное тому, что придумал Юнг, но в котором каждая щель имеет заслонку, позволяющую закрыть ее по нашему желанию. Разумеется, щели имеют такой размер, чтобы пуля могла пройти сквозь них. Итак, мы начинаем стрелять из нашего пулемета, закрывая одну из этих двух щелей. Вот полученный результат: за исключением нескольких пуль, задевших края щели или отскочивших в совсем непредвиденном направлении, пули попали в экран, расположенный напротив открытой щели. Если сейчас мы откроем вторую из щелей, то пули попадут в экран напротив каждого из двух отверстий. Важный момент: попадание пуль в экран напротив одной из щелей не зависит от открытия или закрытия второй щели. Давайте воспроизведем этот же опыт со светом. Если мы закроем одну из щелей, то на экране отобразится полоса света, которая теряет яркость к своим границам. Если же мы откроем вторую щель, то увидим, что, в отличие от примера с пулями, на экране появятся не две яркие полосы, а картина интерференции Юнга. Таким образом, изображение на экране зависит от открытия или закрытия второй щели. Волновые функции Согласно квантовой теории, любой частице сопоставляется «волновая функция», описанная в уравнении Шрёдингера. Она становится более «интенсивной» в той области пространства, в которой можно надеяться встретить электрон. По мере того как мы удаляемся от этой области, волновая функция ослабевает, но она никогда не исчезает, именно поэтому всегда есть вероятность встретить электрон в определенной зоне пространства. Когда электрон обнаруживается, волновая функция «быстро исчезает», и тогда мы тотчас и точно узнаем о его местоположении. Но в момент, когда мы прекращаем наблюдение, «волновая функция распространяется заново по всему пространству и взаимодействуете волновыми функциями других электронов, и даже, при определенных условиях, с самой собой», — по словам британского физика Джона Гриббина. ![]() Эрвин Шрёдингер. ![]() Волновая механика, созданная Эрвином Шрёдингером (1887-1961), основывается на решении этого уравнения для различных физических ситуаций. Что же произойдет, если мы воспроизведем то же самое с электронами? Если мы закрываем одну из щелей, то наблюдаем тот же самый результат, что и во время опыта с пулями. Однако самое странное возникает тогда, когда мы открываем вторую щель: в таком случае мы видим, как на экране формируется картина интерференции, полученная в ходе опыта со светом! Именно такой вывод и сделал Дэвиссон в 1927 году: электроны ведут себя как волны в бассейне. Мы могли бы подумать, что испускаемые электроны одновременно проходят через щели и, взаимодействуя, накладываются друг на друга, как и положено волнам материи, о которых писал де Бройль. Для проверки сократим частоту выстрелов электронов, чтобы они выходили в меньшем количестве за один раз. Наш экран подсоединен к счетчикам Гейгера, подающим сигнал («клик») каждый раз, когда их касается один электрон (не будем забывать, что счетчики Гейгера обнаруживают частицы, а не волны). Мы начинаем выстреливать электроны по одному таким образом, что наша пушка выбрасывает следующий электрон только тогда, когда раздается сигнал, означающий попадание предыдущего электрона в экран. Через определенный срок, будучи уверенными в том, что выпустили достаточное количество электронов, мы начинаем изучать распределение попаданий в экран и видим, опять же, волновую картину интерференции! Как это возможно? Электрон взаимодействует сам с собой? Похоже, эксперимент указывает именно на это. Но если он ведет себя как волна, тогда почему счетчики Гейгера реагировали на него, сообщая, что в экран попала частица? Иными словами: картина интерференции говорит нам о том, что электрон пересекает две щели в одно и то же время, затем взаимодействует сам с собой и ведет себя при этом как волна. Но в то же время счетчик Гейгера обнаруживает его на экране, и следовательно, он — частица. Это просто безумие! Действительно ли электрон проходит через две щели? Вот что легко доказать. Давайте поставим перед одной из щелей детектор, регистрирующий событие прохождения электрона сквозь нее, и повторим опыт. Нас ждет новый сюрприз: электроны перестают вести себя как волны и начинают вести себя как классические частицы, пролетая либо через первую, либо через вторую щель, но не через две одновременно, образуя на экране только две полосы напротив каждой из щелей. Как только детектор выключали, восстанавливалась прежняя интерференционная картина. |
![Иллюстрация к книге — Наука. Величайшие теории. Выпуск 6. Когда фотон встречает электрон. Фейнман. Квантовая электродинамика [img_4.jpg] Иллюстрация к книге — Наука. Величайшие теории. Выпуск 6. Когда фотон встречает электрон. Фейнман. Квантовая электродинамика [img_4.jpg]](img/book_covers/073/73382/img_4.jpg)
![Иллюстрация к книге — Наука. Величайшие теории. Выпуск 6. Когда фотон встречает электрон. Фейнман. Квантовая электродинамика [img_5.jpg] Иллюстрация к книге — Наука. Величайшие теории. Выпуск 6. Когда фотон встречает электрон. Фейнман. Квантовая электродинамика [img_5.jpg]](img/book_covers/073/73382/img_5.jpg)
![Иллюстрация к книге — Наука. Величайшие теории. Выпуск 6. Когда фотон встречает электрон. Фейнман. Квантовая электродинамика [img_6.jpg] Иллюстрация к книге — Наука. Величайшие теории. Выпуск 6. Когда фотон встречает электрон. Фейнман. Квантовая электродинамика [img_6.jpg]](img/book_covers/073/73382/img_6.jpg)