Книга Мир, полный демонов. Наука - как свеча во тьме, страница 104 – Карл Эдвард Саган

Авторы: А Б В Г Д Е Ж З И Й К Л М Н О П Р С Т У Ф Х Ч Ш Ы Э Ю Я
Книги: А Б В Г Д Е Ж З И Й К Л М Н О П Р С Т У Ф Х Ц Ч Ш Щ Ы Э Ю Я
Бесплатная онлайн библиотека LoveRead.in

Онлайн книга «Мир, полный демонов. Наука - как свеча во тьме»

📃 Cтраница 104

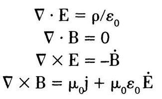
Максвелл изобрел способ записать все то, что его современники выяснили об электричестве и магнетизме, подвести итоги всех этих экспериментов с проводами, электрическим током и магнитами. Вот они, четыре уравнения Максвелла, описывающие поведение электрических и магнитных сил:

Иллюстрация к книге — Мир, полный демонов. Наука - как свеча во тьме [i_002.jpg]

Чтобы вникнуть в эти уравнения, потребуется несколько лет изучать физику на университетском уровне. Они выстроены с помощью особой разновидности математики — векторного исчисления. Вектор — величина, обладающая не только размерностью, но и направлением. 100 км/ч — не векторная величина, а 100 км/ч на север по шоссе номер 1 — векторная. Е и В в этих уравнениях обозначают электрическое и магнитное поле. Треугольник набла (он так назван из-за сходства с древней финикийской арфой) обозначает колебания электрического или магнитного поля в трехмерном пространстве. После набла указываются скалярное и векторное произведение — две разновидности пространственных вариаций поля.

Е и В обозначают вариации во времени — скорость изменений электрического и магнитного поля, a j — электрический ток. Строчная греческая буква ρ (ро) обозначает плотность электрических зарядов, а ε0 («эпсилон нулевое») и μ0 («мю нулевое») представляют собой не переменные, а свойства тех веществ, для которых замеряются Е и В в ходе эксперимента. В вакууме ε0 и μ0 являются константами.

Поразительно, какими простыми оказались эти уравнения, хотя в них и задействовано такое множество величин! Казалось бы, они должны занять множество страниц, но они все уместились в несколько строк.

Первое из четырех уравнений Максвелла показывает, как электрическое поле меняется в зависимости от электрических зарядов (электронов) и расстояния (чем дальше от источника поля, тем оно слабее, но чем выше плотность заряда — грубо говоря, чем больше на данном участке пространства электронов, — тем сильнее поле).

Второе уравнение демонстрирует, что для магнитного поля аналогичной зависимости нет, поскольку магнитных «зарядов», выдуманных Месмером (они же магнетические «монополии»), попросту не существует: распилите пополам магнит, и вы не отделите «южный полюс» от «северного», а получите два магнита, каждый с двумя полюсами.

Третье уравнение показывает, как переменное магнитное поле порождает электрическое поле.

Четвертое уравнение описывает обратную ситуацию — как переменное электрическое поле или электрический ток порождают магнитное поле.

Эти четыре уравнения — плод лабораторных исследований нескольких поколений ученых, преимущественно французских и британских. То, что я тут невнятно пытался передать на качественном уровне, уравнения передают четко и в цифрах.

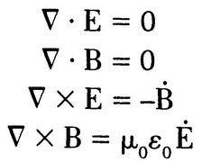
А затем Максвелл задался неожиданным вопросом: как бы эти уравнения выглядели в пустом пространстве, в вакууме — там, где нет электрических зарядов и тока? Казалось бы, в вакууме не будет и электрического или магнитного поля, но Максвелл предположил, что в пустоте уравнения, описывающие магнитное и электрическое поле, будут выглядеть так:

Иллюстрация к книге — Мир, полный демонов. Наука - как свеча во тьме [i_003.jpg]

Ученый приравнял ρ к нулю, обозначив, таким образом, отсутствие электрических зарядов. Он также приравнял к нулю j, указав на отсутствие электрического тока. Но он не стал сбрасывать со счетов последний элемент четвертого уравнения — (μ0ε0Ė— едва заметный ток (ток смещения) в изоляторах.

Почему? Как видно из уравнений, Максвелл интуитивно сохранял симметрию магнитного и электрического полей. Он предполагал, что даже в вакууме, там, где вовсе нет материи и электричества, все же переменное магнитное поле порождает электрическое поле, а то — магнитное. В этих уравнениях отразилась Природа, а Максвелл верил в красоту и изящество Природы. (Впрочем, для сохранения в вакууме тока смещения имелись и другие, технические резоны, о которых мы тут умолчим.) Формулы ботана, отчасти руководствовавшегося физикой, отчасти эстетическими соображениями, эти цифры и буквы, понятные в ту пору лишь нескольким таким же умникам, оказали на нашу цивилизацию куда большее влияние, чем десяток президентов и премьер-министров, вместе взятых.

Если кратко, применительно к вакууму четыре уравнения Максвелла гласят: 1) в вакууме нет электрических зарядов; 2) в вакууме нет магнетических монополий; 3) переменное магнитное поле порождает электрическое и 4) переменное электрическое поле в свою очередь порождает магнитное.

Вооружившись такими уравнениями, Максвелл мог доказать, что Е и В распространяются в пустом пространстве как волны. Более того, он сумел подсчитать скорость движения волны: единица, деленная на корень квадратный ε0 и μ0. Величины ε0 и μ0 уже были замерены в лаборатории и, подставив числа, ученые убедились, что электрическое и магнитное поля распространяются в вакууме с известной им скоростью света. Совпадение настолько точное, что случайным его никак не сочтешь. Внезапно электричество и магнетизм оказались одной природы со светом!

Поскольку обнаружилось, что свет ведет себя как волны и порождается электрическими и магнитными полями, Максвелл назвал его электромагнитным излучением. Странные эксперименты с проволоками и батарейками, проводившиеся где-то в лабораториях, оказывается, объясняли и яркое сияние Солнца, и то, как мы видим, и сам свет. Много лет спустя, вспоминая открытия Максвелла, Альберт Эйнштейн писал: «Мало кто из людей мог провести подобный опыт».

Сам Максвелл был озадачен полученным результатом. Вакуум вел себя как диэлектрик и мог «электрически поляризоваться». Живя в век механики, Максвелл считал обязательным представить распространение электромагнитных волн в вакууме в виде механической модели. Он воображал космос, наполненный таинственной субстанцией — эфиром, который поддерживает переменные электрические и магнитные поля. Эдакое невидимое, пульсирующее желе, расползшееся по Вселенной. Колебания эфира позволяют проходить сквозь него свету, подобно тому, как волны проходят по воде, а звуковые волны — сквозь воздух.

Очень странная это материя — эфир. Тонкая, разреженная, почти что нематериальная. Солнце и Луна, планеты и звезды проходят через эфир, не задерживаясь, не замечая его. И в то же время он достаточно плотен, чтобы поддерживать и распространять на огромной скорости волны.

Слово «эфир» и поныне не вышло из употребления. Существует прилагательное «эфирный» — воздушный, не от мира сего. Есть у него в английском языке и более страшный смысл — «обдолбанный», «под наркотиком». Зато в русском языке сохранилось выражение «в эфире», т. е. по радио. Ведь радиоволны, как доказал Максвелл, проходят через вакуум — через эфир. Воздух им только мешает.

Концепция эфира, в котором распространяются волны света и частицы материи, через 40 лет породила специальную теорию относительности Эйнштейна, E = mc2, и привела к другим ценным открытиям. Эксперименты, приуготовившие теорию относительности, убедительно опровергли идею эфира — среды, в которой распространяются электромагнитные волны (об этом Эйнштейн писал в знаменитой статье, отрывок из которой я привожу в главе 2). Волны распространяются сами по себе. Переменное электрическое поле порождает магнитное поле, переменное магнитное поле порождает электрическое. Так и поддерживают друг друга — в пустоте.

Вход
Поиск по сайту
Ищем:
Календарь