Онлайн книга «Симпсоны и их математические секреты»
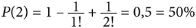
![]() В случае двух посетителей вероятность отсутствия совпадений равна 0,5: ![]() В случае трех посетителей вероятность отсутствия совпадений составляет 0,333: ![]() Для четырех клиентов вероятность равна примерно 0,375, а для десяти – около 0,369. Если количество клиентов стремится к бесконечности, значение вероятности становится 0,367879…, что составляет 1/2,718…, или 1/e. Вы можете сами проверить эту закономерность, взяв две колоды карт и перетасовав их по отдельности, чтобы карты в каждой колоде располагались произвольным образом. Одна колода символизирует случайный порядок, в котором шляпы укладывались в коробки, а другая – случайный порядок, в котором клиенты возвращались за своими шляпами. Положите обе колоды рядом друг с другом и переворачивайте по одной верхней карте в каждой колоде. Если обе карты имеют одинаковую масть и значение, это засчитывается как совпадение. Вероятность отсутствия совпадений после просмотра всех карт обеих колод близка к 1/e, что составляет примерно 0,37, или 37 процентов. Другими словами, если вы будете повторять весь процесс сотню раз, то вас ждет не слишком активная светская жизнь и примерно тридцать семь колод карт с отсутствием совпадений. Хотя задача о шляпах может показаться тривиальной, она представляет собой фундаментальный вопрос такой области математики, как комбинаторика. Число e также появляется в процессе изучения кривой особого типа, известной под названием катенарная кривая [43], поскольку она имеет форму цепи, провисшей между двумя точками. Этот термин, придуманный Томасом Джефферсоном, происходит от латинского слова catena, что означает «цепь». Форма катенарной кривой описывается следующим уравнением, в котором присутствует два числа e: ![]() Шелковая нить в паутине образует ряд катенарных кривых между лучами паутины, что подтолкнуло французского энтомолога Жана Анри Фабра написать в книге The Life of the Spider («Жизнь пауков») следующее: «Здесь снова появляется похожее на абракадабру число e, начертанное на нитях паутины. Давайте посмотрим туманным утром, какая сетчатая структура была создана за ночь. Липкие нити, имеющие гидрометрические свойства, провисают под тяжестью крохотных капель воды и образуют множество катенарных кривых – нитей прозрачных жемчужин, изящных бус, расположенных в изысканном порядке и повторяющих форму кривой качания. Когда солнечные лучи пронизывают пелену тумана, все это начинает светиться разноцветными огнями и напоминает сверкающие нити бриллиантов. Это и есть число e во всем своем великолепии». Мы можем также обнаружить присутствие числа e в совершенно другой области математики. Представьте себе, что вы на калькуляторе (если он достаточно «продвинутый») генерируете случайные числа от 0 до 1, а затем непрерывно суммируете их до тех пор, пока сумма не превысит единицу. Иногда вам понадобится два случайных числа, в большинстве случаев – три, время от времени – четыре или более, для того чтобы общая сумма превысила 1. Однако в среднем количество необходимых случайных чисел составляет 2,71828, а это, разумеется, и есть число e. Существует еще много примеров, демонстрирующих, что число e играет массу разноплановых и фундаментальных ролей в разных областях математики. Это объясняет, почему любители чисел испытывают особую эмоциональную привязанность к числу e. Один из таких поклонников – Дональд Кнут, почетный профессор Стэнфордского университета и подобная Богу фигура в мире информационных технологий. После написания Metafont (программного обеспечения для создания шрифтов) Кнут решил выпускать обновленные версии этого ПО под номерами, связанными с числом e. Это означает, что первая версия называлась Metafont 2, затем Metafont 2.7, затем Metafont 2.71 и так далее, вплоть до текущей версии Metafont 2.718281. Номер каждой новой версии представляет собой более точное приближение истинного значения числа e. Это только один из способов, с помощью которых Кнут выражает свой необычный подход к работе. Еще один пример – предметный указатель его фундаментального труда The Art of Computer Programming (том 1) [44], в котором запись «круговое определение» отсылает читателя к записи «определение, круговое», и наоборот. Руководители Google, которых можно назвать супергиками, также большие поклонники числа e. Когда в 2004 году они продавали акции компании, было объявлено, что Google планирует заработать на этом 2 718 281 828 долларов, что равно числу е, умноженному на 1 миллион долларов. В том же году компания разместила на рекламном щите следующее объявление: {первое простое число из 10 цифр подряд, найденное в числе e}.com Единственный способ определить название этого сайта – проанализировать все цифры числа e и отыскать среди них последовательность из 10 цифр, представляющую собой простое число. Каждый человек, обладающий достаточными математическими знаниями, обнаружил бы, что первое простое число из десяти цифр, которое начинается с девяносто девятой цифры числа e, – это 7427466391. Посетив сайт www.7427466391.com, можно было бы увидеть, что это своего рода виртуальный дорожный знак, указывающий путь к другому сайту, который представляет собой портал для тех, кто хочет подать заявление о приеме в Google Labs [45]. Еще один способ выразить свое восхищение числом e – запомнить его цифры. В 2004 году Андреас Литцов из Германии запомнил и назвал 316 цифр, жонглируя при этом пятью шариками. Однако 25 ноября 2007 года Бхаскар Кармакар из Индии превзошел Литцова и без всяких шариков поставил новый рекорд, перечислив 5002 цифры числа e за один час 29 минут 52 секунды. В тот же день он точно назвал 5002 цифры числа e в обратном порядке. Это невероятное достижение, но каждому из нас вполне по силам запомнить десять цифр числа e, выучив следующую мнемоническую фразу: I’m forming a mnemonic to remember a function in analysis («Я создаю эту мнемоническую фразу запоминания функции в анализе»). Количество букв в каждом слове представляет собой соответствующую цифру числа e. |
![Иллюстрация к книге — Симпсоны и их математические секреты [i_045.jpg] Иллюстрация к книге — Симпсоны и их математические секреты [i_045.jpg]](img/book_covers/073/73373/i_045.jpg)
![Иллюстрация к книге — Симпсоны и их математические секреты [i_046.jpg] Иллюстрация к книге — Симпсоны и их математические секреты [i_046.jpg]](img/book_covers/073/73373/i_046.jpg)
![Иллюстрация к книге — Симпсоны и их математические секреты [i_047.jpg] Иллюстрация к книге — Симпсоны и их математические секреты [i_047.jpg]](img/book_covers/073/73373/i_047.jpg)
![Иллюстрация к книге — Симпсоны и их математические секреты [i_048.jpg] Иллюстрация к книге — Симпсоны и их математические секреты [i_048.jpg]](img/book_covers/073/73373/i_048.jpg)