Книга Популярная физика. От архимедова рычага до квантовой теории, страница 180 – Айзек Азимов

Авторы: А Б В Г Д Е Ж З И Й К Л М Н О П Р С Т У Ф Х Ч Ш Ы Э Ю Я
Книги: А Б В Г Д Е Ж З И Й К Л М Н О П Р С Т У Ф Х Ц Ч Ш Щ Ы Э Ю Я
Бесплатная онлайн библиотека LoveRead.in

Онлайн книга «Популярная физика. От архимедова рычага до квантовой теории»

📃 Cтраница 180

λ = 364,56m2/(m2 – 4), (Уравнение 5.1)

где m может быть любым целым числом начиная с 3. Если m = 3, то λ будет равна 656,21 миллимикрона, т. е. длине первой волны водородного спектра. Если подставлять вместо m числа 4, 5, 6, то λ будет равна длине второй, третьей и четвертой линии водородного спектра. Эти линии получили название серия Бальмера.

С возрастанием значения m значение m2 4 знаменателя будет практически равно значению m2 числителя, и дробь сократится. В этом случае λ будет равно 364,56 миллимикрона (постоянная Бальмера). Именно к этому значению длины волны стремятся все линии серии Бальмера.

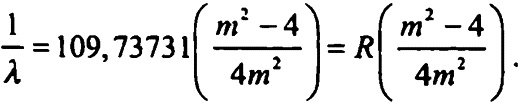
Через несколько лет шведский физик Юханнес Роберт Ридберг (1854–1919), преобразовав формулу Бальмера, сделал ее более удобной. Сначала он написал возвратное уравнение:

1/λ = (m2 – 4)/(364,56m2). (Уравнение 5.2)

Затем, умножив знаменатель и числитель дроби в правой части формулы 5.2 на 4, получил:

Иллюстрация к книге — Популярная физика. От архимедова рычага до квантовой теории [i_071.jpg]

Давайте рассмотрим каждый член правой части формулы 5.3 по отдельности. Число 0,0109 получается делением 4 на бальмерову константу. Это значение в миллимикронах. Ридберг предпочел использовать сантиметры, а раз в одном сантиметре 10 000 000 миллимикрон, то значение в сантиметрах будет 0,0109∙10 000 000 = 109 (современные измерения дают значение 109 737 31). Это число получило название постоянная Ридберга и обозначается как R. Таким образом, в пересчете на сантиметры формула 5.3 будет выглядеть так:

Иллюстрация к книге — Популярная физика. От архимедова рычага до квантовой теории [i_072.jpg]

Получаем значение λ в сантиметрах, т. е. длина основной волны равна 0,000065621 см.

Теперь разложим (m2 – 4)/4m2 на m2/4m2 4/4m2 и сократим до 1/4 — 1/m2. Для симметрии представим 4 как 1/22 – 1/m2, тогда формула 5.4 приобретает вид:

1/λ = R∙(1/22 - 1/m2), (Уравнение 5.5)

где m — любое целое число, равное и большее 3.

Формулы оставшихся линий будут выглядеть аналогично:

1/λ = R∙(1/12 - 1/m2), (Уравнение 5.6)

1/λ = R∙(1/32 - 1/m2), (Уравнение 5.7)

1/λ = R∙(1/42 - 1/m2) (Уравнение 5.8)

и так далее. Значением m для формулы 5.6 должно быть любое целое число больше 1, для формулы 5.7 — больше 3, для формулы 5.8 — больше 4.

Формула 5.6 описывает волны ультрафиолетового спектра. Эти волны короче волн серии Бальмера. Они были открыты в 1906 году американским физиком Теодором Лайманом и получили название волны серии Лаймана.

Формула 5.7 описывает волны инфракрасного спектра. Они длиннее волн серии Бальмера. Они были открыты в 1908 году немецким физиком Фридрихом Пашеном и получили название серия Пашена. Формула 5.8 описывает еще более длинные волны, открытые американским физиком Фредериком Брэкеттом и получившие названия серия Брэкетта. Существуют также и другие серии волн.


Атом Бора

Итак, электроны атома водорода не только не падают на ядро, но еще и испускают волны определенной частоты, которые можно определить по простым формулам Ридберга. Нужна была новая модель атома, которая бы все это отражала.

Такую модель создал в 1913 году датский физик Нильс Бор (1885–1962). Он предложил использовать для решения задачи только в то время появившуюся квантовую теорию (см. ч. II).

Согласно квантовой теории, любой преобразовывающий кинетическую энергию в излучение объект теряет эту энергию. Так, например, Земля постепенно теряет кинетическую энергию за счет вращения вокруг Солнца, однако эти потери настолько малы, что даже самые точные измерения не смогут зафиксировать какое-либо изменение в скорости вращения планеты.

Иллюстрация к книге — Популярная физика. От архимедова рычага до квантовой теории [i_073.jpg]

Спектр водорода

Но с электронами дело обстоит иначе. Общая кинетическая энергия электрона немного превышает энергию одного кванта видимого света, то есть для излучения одного кванта света электрону потребуется мгновенно потратить всю свою энергию. Однако вместо того, чтобы медленно приближаться к ядру во время вращения (как это себе представляли физики «доквантовой» эры), электрон просто «перепрыгнет» на более близкую к ядру орбиту. С другой стороны, если электрон также еще и поглощает свет, значит, он сразу поглотит целый квант света и на этот раз перепрыгнет уже на более высокую орбиту.

Бор предположил, что электрон в основном состоянии обладает минимумом энергии и находится на ближайшей к ядру орбите. Такой электрон не выделяет энергию (истинная причина этого открылась лишь 10 лет спустя, см. гл. 6). После поглощения энергии электрон переходит в возбужденное состояние и в зависимости от количества этой энергии занимает одну из более удаленных от ядра орбит.

Бор определил несколько орбит электрона в атоме водорода в зависимости от величины кинетического момента. Используя постоянную Планка (см. ч. II), Бор вывел следующую формулу:

p = nh/2π , (Уравнение 5.9)

где p — кинетический момент электрона, h — постоянная Планка, π — это конечно же известная нам постоянная длины окружности; n — любое положительное целое. Теперь введем в формулу значение постоянной Планка, предположим, что электрон может двигаться только по определенным орбитам, примем за n любое целое число и получим квантованный атом.

В связанных с квантованным атомом вычислениях выражение h/2π используется часто, поэтому его обычно сокращают до ħ. Так как значение h приблизительно 6,6256∙10–27 эрг-с, значение π приблизительно 3,14159, то ħ приблизительно равно 1,0545∙10–27 эрг-с.

Таким образом, формула 5.9 приобретает вид:

p = n (1,0545∙10–27). (Уравнение 5.10)

Иногда n называют еще главным квантовым числом (кроме главного, существуют и другие квантовые числа). Это число обозначает орбиту, на которой находится электрон: n = 1 для ближайшей к ядру орбите; 2, 3, 4 и так далее — для более высоких.

Вход
Поиск по сайту
Ищем:
Календарь