Онлайн книга «Пространство - это вопрос времени. Эйнштейн. Теория относительности»
|
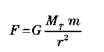
Удачная идея Эйнштейна напоминает фокус иллюзиониста: с помощью ускорения возможно сымитировать как рост гравитации, так и ее исчезновение. Эту своеобразную связь он назвал принципом эквивалентности. Начиная с 1905 года важнейшей задачей, стоявшей перед ученым, было расширение специальной теории относительности, которая рассматривала исключительно тела, двигающиеся с постоянной скоростью. Совершенная физическая теория обязательно должна учитывать ускорение, а Эйнштейн хотел ввести в нее и понятие гравитации. Закон всеобщего тяготения функционировал на основе математического механизма, который после релятивистского переворота устарел. Знаменитое уравнение Ньютона ![]() имело две проблемы. Если мы присмотримся к нему, то обратим внимание на то, что в знаменателе находится г, расстояние между массами. Однако Эйнштейн знал, что, согласно сокращению Лоренца, два наблюдателя, один из которых находится в движении, а другой в покое, воспринимают расстояние по-разному. Как тогда учитывать эту величину в уравнении? С другой стороны, в этой формуле отсутствует время, то есть действие силы считается моментальным. Однако если m отдаляется от m' силы начинают действовать по-другому, и это нарушает основную заповедь релятивизма, согласно которой ничто не может двигаться быстрее света. Обнаружив эквивалентность гравитации и ускорения, Эйнштейн понял, что может одновременно решить две задачи: если ему удастся ввести ускорение в теорию относительности, гравитация также автоматически войдет в нее. Приливные силы Изучив вопрос глубже, Эйнштейн понял, что человек, находящийся в замкнутом пространстве, все-таки может определить, парит ли он в невесомости. Попробуем это доказать. Допустим, что человек вынет все из карманов: бумажник, носовой платок, ключи, мобильный телефон – и разместит эти предметы вокруг себя. Бумажник будет парить у него над головой, платок – справа, ключи – слева, а телефон – под ногами. Итак, что будет происходить с этим человеком во время свободного падения на Землю и при парении в космическом вакууме? 1) Во время свободного падения. Сначала обратимся к Ньютону: сила, с которой Земля притягивает другое массивное тело, обратно пропорциональна разделяющему их расстоянию в квадрате: ![]() где G – гравитационная постоянная, равная 6,67 • 10-11 м³ • с-2 • кг-1 , М – масса Земли, m – любая другая масса, r – расстояние. Бумажник находится немного дальше от Земли, чем человек, поэтому притягивается меньше. В свою очередь, мобильный телефон находится ближе и испытывает большее притяжение. А что случится с носовым платком и ключами? Так как притяжение направлено к центру массы, линии, соединяющие эти предметы с центром Земли, не будут параллельны. Следовательно, через несколько секунд бумажник, как и телефон, тоже будет стремиться вниз, а носовой платок и ключи приблизятся к нему с двух сторон (рисунок 1). Иногда, чтобы описать это отклонение, говорят о приливных силах, поскольку эта же сила притяжения вызывает на Земле приливы и отливы. 2) В космосе. Для того чтобы предметы вели себя описанным образом, необходима близость Земли, и в этом случае герою нашего эксперимента лучше заранее приготовиться к болезненному приземлению (рисунок 2). ![]() За короткое время и не имея всей информации, человек не сможет понять, находится он в свободном падении или парит при нулевой гравитации. Похожие ощущения возникают даже при обычном прыжке: в самой высокой точке траектории невозможно отличить падение от невесомости, и на этой двойственности основан принцип эквивалентности. Но если немного подождать, то рано или поздно в невесомости возникнет отклонение. Вспомним геометрию: на небольших расстояниях мы не можем понять, круглая Земля или плоская, но при значительной дистанции мы замечаем, как прямая линия отклоняется, обнаруживая закругление Земли. И в этой аналогии – ключ к введению гравитации в релятивистскую теорию. Когда слепой жук ползет по поверхности шара, он не замечает, что пройденный им путь искривлен, мне же посчастливилось заметить это. Ответ Эйнштейна на вопрос его сына Эдуарда о том, почему он так знаменит. Летом 1912 года, сразу после возвращения в Прагу из Цюриха, Эйнштейн обратился к своему другу Марселю Гроссману с просьбой: «Ты должен помочь мне или я сойду с ума». В студенческие годы Гроссман частенько одалживал будущему ученому конспекты, когда тот пропускал занятия, а впоследствии спас его от нищеты, предложив место в патентном бюро. Сейчас же Эйнштейн стал авторитетом в неевклидовой геометрии. Гроссман охотно согласился сотрудничать с ним, и они предприняли экскурс в мир поверхностей, очень похожий на тот, что ожидает нас. Анатомия поверхности Если два человека начертят на плоской поверхности прямые, перпендикулярные другой линии, то эти прямые будут параллельны и никогда не пересекутся. Однако если эти два человека будут находиться на экваторе шара, все окажется иначе. В зависимости от размеров сферы рано или поздно линии пересекутся (рисунок 1). При гигантских размерах шара, возможно, довольно долго никто не догадается, что его поверхность не плоская. Сегодня, когда мы имеем возможность взглянуть на Землю из космоса, ее сферическая форма кажется чем-то само собой разумеющимся. Однако чтобы прийти к этому открытию, человечество потратило тысячи лет. Вероятно, в первый раз о том, что Земля не плоская, задумались моряки, которые в длительных плаваниях ориентировались по звездам. Эксперимент с параллельными прямыми – это дедуктивный способ, который помогает человеку, находящемуся на поверхности Земли, понять, круглая она или плоская. Достаточно довольно долго вести линию перпендикулярно экватору. Через некоторое время линии сблизятся – обнаружится закругление. А что произойдет, если у нас не будет времени на то, чтобы нарисовать достаточно длинные прямые? Ведь при больших размерах сферы два коротких отрезка будут практически параллельны, и с их помощью невозможно оценить, на плоскости или на шаре мы обитаем. ![]() РИС. 1 |
![Иллюстрация к книге — Пространство - это вопрос времени. Эйнштейн. Теория относительности [pic_63.jpg] Иллюстрация к книге — Пространство - это вопрос времени. Эйнштейн. Теория относительности [pic_63.jpg]](img/book_covers/073/73120/pic_63.jpg)
![Иллюстрация к книге — Пространство - это вопрос времени. Эйнштейн. Теория относительности [pic_64.jpg] Иллюстрация к книге — Пространство - это вопрос времени. Эйнштейн. Теория относительности [pic_64.jpg]](img/book_covers/073/73120/pic_64.jpg)
![Иллюстрация к книге — Пространство - это вопрос времени. Эйнштейн. Теория относительности [pic_65.jpg] Иллюстрация к книге — Пространство - это вопрос времени. Эйнштейн. Теория относительности [pic_65.jpg]](img/book_covers/073/73120/pic_65.jpg)
![Иллюстрация к книге — Пространство - это вопрос времени. Эйнштейн. Теория относительности [pic_66.jpg] Иллюстрация к книге — Пространство - это вопрос времени. Эйнштейн. Теория относительности [pic_66.jpg]](img/book_covers/073/73120/pic_66.jpg)