Книга Число Бога. Золотое сечение – формула мироздания, страница 72 – Марио Ливио

Авторы: А Б В Г Д Е Ж З И Й К Л М Н О П Р С Т У Ф Х Ч Ш Ы Э Ю Я
Книги: А Б В Г Д Е Ж З И Й К Л М Н О П Р С Т У Ф Х Ц Ч Ш Щ Ы Э Ю Я
Бесплатная онлайн библиотека LoveRead.in

Онлайн книга «Число Бога. Золотое сечение – формула мироздания»

📃 Cтраница 72

(s/a)2 = (s/a)+ 1.

Иными словами, если мы обозначим s/a как x, у нас получится квадратное уравнение

x2 = x+ 1.

В главе 4 показано, что именно это уравнение и описывает золотое сечение.

Приложение 4

Одна из теорем в «Началах» доказывает, что если у двух треугольников одинаковые углы, эти треугольники подобны. А это значит, что форма у этих треугольников совершенно одинаковая и длины сторон соответственно пропорциональны. Если одна сторона одного треугольника вдвое длиннее соответствующей стороны второго треугольника, то это справедливо и по отношению к остальным сторонам.

Иллюстрация к книге — Число Бога. Золотое сечение – формула мироздания [_389.jpg]

Треугольники ADB и DBC подобны, поскольку у них одинаковые углы. Следовательно, отношение AB/DB, то есть отношение сторон треугольников ADB и DBC, равно DB/BC, то есть отношению оснований этих треугольников.

AB/DB= DB/BC.

Однако эти треугольники также равнобедренные, поэтому

DB= DC= AC.

Из вышеприведенных равенств следует, что

AC/BC= AB/AC,

Что означает (согласно определению Евклида), что точка C делит отрезок AB в золотом сечении. Поскольку AD = AB и DB = AC, получаем также, что AD/DB = φ.

Приложение 5

Квадратные уравнения – это уравнения, имеющие вид

ax2 + bx+ c= 0,

где a, b, c – произвольные числа. Например, в уравнении 2x2 + 3x+ 1 = 0 имеем a = 2, b = 3, c = 1.


Общая формула для поиска двух корней уравнения:

Иллюстрация к книге — Число Бога. Золотое сечение – формула мироздания [_390_1.jpg]

В вышеприведенном примере

Иллюстрация к книге — Число Бога. Золотое сечение – формула мироздания [_390_2.jpg]

В уравнении, описывающем золотое сечение,

x2x – 1 = 0,

a = 1, b = –1, c = –1, следовательно, корни:

Иллюстрация к книге — Число Бога. Золотое сечение – формула мироздания [_390_3.jpg]
Приложение 6

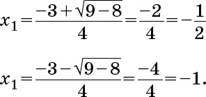
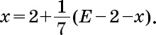
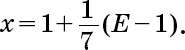
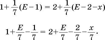
Задачу о дележе наследства можно решить следующим образом. Обозначим все наследство как E, а долю каждого из сыновей в безантах – как x (по условию, все они делят наследство поровну).

Первый сын получил

Иллюстрация к книге — Число Бога. Золотое сечение – формула мироздания [_391_1.jpg]

Второй сын получил

Иллюстрация к книге — Число Бога. Золотое сечение – формула мироздания [_391_2.jpg]

Приравниваем их доли:

Иллюстрация к книге — Число Бога. Золотое сечение – формула мироздания [_391_3.jpg]

Упрощаем:


x/7 = 6/7

x= 6.


Следовательно, каждому из сыновей досталось по 6 безантов.

Подставив эту величину в первое равенство, получаем:

Иллюстрация к книге — Число Бога. Золотое сечение – формула мироздания [_392.jpg]

Сумма наследства составила 36 безантов. Следовательно, количество сыновей 36/6 = 6.

А вот как выглядит решение Фибоначчи.

Сумма наследства должна представлять собой такое число, чтобы если прибавить к нему 1 раз по 6, одно делилось бы на 1 плюс 6, то есть на 7, а если прибавить к нему 2 раза по 6, оно делилось бы на 2 плюс 6, то есть на 8, если же прибавить к нему 3 раза по 6, оно делилось бы на 3 плюс 6, то есть на 9, и т. д. Такое число – 36. 1/7 от (36 – 1/7) – это 35/7, плюс 1 – это 42/7, или 6, и это и есть сумма, которую получил каждый из сыновей; общая сумма наследства, поделенная на долю каждого из сыновей, дает нам число сыновей, то есть 36/6 равно 6.

Приложение 7

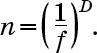
Отношение между количеством субобъектов n, коэффициентом сокращения длины f и числом измерений D равно

Иллюстрация к книге — Число Бога. Золотое сечение – формула мироздания [_393.jpg]

Если положительное число А записывается в виде А = 10L, то L мы называем логарифмом (по основанию 10) числа А и записываем это так: L = log A. Иначе говоря, равенства А = 10L и L = log A тождественны. Правила логарифмов таковы:


1. Логарифм произведения есть сумма логарифмов:

log (A × B) = log A+ log B.


2. Логарифм отношения есть разность логарифмов

log ( A/B ) = log A – log B.


3. Логарифм степени числа – это степень, умноженная на логарифм числа:

log Am = m× log A.


Поскольку 100 = 1, по определению логарифма log 1 = 0. Поскольку 101 = 10, 102 = 100 и так далее, получаем, что log 10 = 1, log 100 = 2 и т. д. Следовательно, логарифм любого числа от 1 до 10 – это число от 0 до 1, логарифм любого числа от 10 до 100 – это число от 1 до 2 и т. д.

Если мы возьмем логарифм (по основанию 10) обеих частей вышеприведенного равенства (описывающего отношения между n, f и D), то получим

Иллюстрация к книге — Число Бога. Золотое сечение – формула мироздания [_394_1.jpg]
Вход
Поиск по сайту
Ищем:
Календарь