Книга Число Бога. Золотое сечение – формула мироздания, страница 24 – Марио Ливио

Авторы: А Б В Г Д Е Ж З И Й К Л М Н О П Р С Т У Ф Х Ч Ш Ы Э Ю Я
Книги: А Б В Г Д Е Ж З И Й К Л М Н О П Р С Т У Ф Х Ц Ч Ш Щ Ы Э Ю Я
Бесплатная онлайн библиотека LoveRead.in

Онлайн книга «Число Бога. Золотое сечение – формула мироздания»

📃 Cтраница 24

Пол С. Брукманс из города Конкорд в штате Калифорния в 1977 году опубликовал в журнале «Fibonacci Quarterly» забавный стишок под названием «Constantly Mean», что можно перевести и как «Постоянное Среднее» (здесь он называет золотое сечение золотым средним):

Закономерность этого числа терзает мир давно:
Как дробь простая нам никак не представляется оно.
Ах, это иррационально? Да! Быть может, и безумно? Нет!
Уверенно даю ответ.
Но числам иррациональным не чета
Та странная загадка, пустячок и ерунда,
Что «золотая середина» называют чинно.
На вид она проста и вроде бы невинна.
Однако – погляди, попробуй-ка переверни ее!
Получишь ты ее же самоё,
Уменьшенную ровно на один, —
Такой забавный есть у мирозданья клин.
А если фокус провернешь другой,
Прибавив к ней же единицу,
Она своим квадратом обратится.
Вот так. Могу лишь покачать я головой.
(Пер. М. Федоровой)

Итак, мы получили алгебраическое выражение золотого сечения и теперь можем, в принципе, вычислить его с высокой точностью. Именно это и проделал М. Берг в 1966 году, когда он за 20 минут на большом компьютере IBM 1401 вычислил число φ с точностью до 4599 знака после запятой (результат был опубликован в «Fibonacci Quarterly»). Сегодня можно проделать то же самое практически на любом персональном компьютере меньше чем за две секунды. Более того, в декабре 1996 года золотое сечение было вычислено до десятимиллионного знака после запятой, и ушло на это около получаса. Для подлинных любителей интересных чисел на следующем развороте приведено значение числа φ до 2000 знака после запятой (справа для удобства – указаны номера десятичных позиций).

Конечно, все вышеприведенные свойства числа φ весьма интересны, однако читатель вправе решить, что они едва ли оправдывают звание «золотого» или «божественного» числа – и будет, конечно, прав. Однако пока что мы лишь стоим на пороге поразительных чудес.

Значение числа φ до 2000 знака после запятой

Иллюстрация к книге — Число Бога. Золотое сечение – формула мироздания [_128.jpg]
Иллюстрация к книге — Число Бога. Золотое сечение – формула мироздания [_129.jpg]
Сокровищница сюрпризов

Всем знакомо это восхитительное чувство, когда мы приходим на вечеринку, где, как мы были твердо убеждены, никого не знаем, и вдруг узнаем лицо старого друга. Такой же наплыв эмоций возникает, когда на выставке сворачиваешь за угол и вдруг видишь свою любимую картину. Близкие устраивают нам приятные сюрпризы именно потому, что нежданная радость многим из нас приносит колоссальное удовольствие. А у математики и, в частности, у золотого сечения в запасе полным-полно сюрпризов.

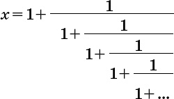
Представьте себе, что мы хотим вычислить значение вот такого необычного выражения, состоящего из бесконечного числа квадратных корней:

Иллюстрация к книге — Число Бога. Золотое сечение – формула мироздания [_130_1.jpg]

Как тут вообще подступиться к ответу? Есть один довольно-таки громоздкий метод: сначала вычислить, что даст нам √2=1,414…, затем вычислить и т. д., уповая на то, что рано или поздно значения начнут быстро сходиться к какому-то числу. Но ведь, возможно, есть и другой метод вычисления, проще и изящнее. Обозначим искомую величину х. Тогда у нас получается

Иллюстрация к книге — Число Бога. Золотое сечение – формула мироздания [_130_2.jpg]

Теперь возведем в квадрат обе части равенства. В левой получим х2, а при возведении в квадрат правой части мы просто уберем тот квадратный корень, под которым стоит все выражение (по определению квадратного корня), и получим

Иллюстрация к книге — Число Бога. Золотое сечение – формула мироздания [_131.jpg]

Однако обратите внимание, что поскольку выражение в правой части нашего равенства тянется до бесконечности, оно равно нашему первоначальному х. Поэтому у нас получается квадратное уравнение: х2 = 1 + х. Но ведь это и есть равенство, которое описывает золотое сечение! А следовательно, мы выяснили, что наше бесконечное равенство в точности равно числу φ!

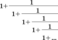
А теперь рассмотрим совсем другое бесконечное выражение, на сей раз – с дробями:

Иллюстрация к книге — Число Бога. Золотое сечение – формула мироздания [_131_2.jpg]

Это особое математическое понятие, известное как цепная или непрерывная дробь; такие дроби довольно часто используются в теории чисел. Как же нам подсчитать значение этой непрерывной дроби? В принципе, можно понемногу отсечь единицы снизу доверху, надеясь нащупать предел, к которому сходится непрерывная дробь. Однако опыт уже научил нас, что лучше начать с того, чтобы приравнять это выражение к х. Итак,

Иллюстрация к книге — Число Бога. Золотое сечение – формула мироздания [_131_3.jpg]

Однако отметим, что поскольку непрерывная дробь тянется бесконечно, знаменатель второго слагаемого в правой части равен х. И вот мы получаем выражение


х = 1+ 1/ х

Умножим обе части на х – и получим х2 = 1 + х, а это опять же равенство, определяющее золотое сечение! Смотрите-ка, удивительная непрерывная дробь тоже равна числу φ. Об этом свойстве тоже упоминается в стихотворении Пола С. Брукманса:

Цепная дробь получится красивой!
Она из единиц, и единиц и… снова единиц!
И вроде проще нет ее: ни отклонений, ни извивов,
Но мозг кипит, и я
Едва
Держусь у разума границ.
(Пер. М. Федоровой)

Поскольку непрерывная дробь, соответствующая золотому сечению, состоит из одних единиц, она очень медленно сходится. В этом отношении золотое сечение «труднее» выразить в виде непрерывной дроби, нежели любое другое иррациональное число: воистину оно самое иррациональное из всех иррациональных чисел!

Иллюстрация к книге — Число Бога. Золотое сечение – формула мироздания [_133.jpg]

Рис. 26

Вход
Поиск по сайту
Ищем:
Календарь