Онлайн книга «Наука. Величайшие теории. №4. Кеплер. Движение планет. Танцы со звездами»
|
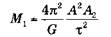
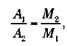
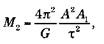
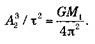
Радиус Шварцшильда (гравитационный радиус) подобной черной дыры может составлять около 1010 м, в то время как радиус Солнца составляет порядка 7 108 м, то есть в черную дыру могут целиком уместиться некоторые звезды. АККРЕЦИОННЫЙ ДИСК Имеются все основания полагать, что черная дыра находится не только в центре Млечного Пути, но и в центре других галактик. Материя не поглощается ею сразу, а из-за эффекта сохранения кинетического момента скорость вращения по мере приближения к черной дыре растет – подобно тому, как вода все быстрее движется вокруг отверстия сливной трубы. Материя до поглощения черной дырой вращается вокруг нее, образуя аккреционный диск, который, предположительно, существует вокруг всех галактических черных дыр. В аккреционном диске газ вращается вокруг черной дыры, расположенной в центре, однако, согласно третьему закону Кеплера, не все участки диска вращаются с одинаковой скоростью. Давайте мысленно разделим диск на тончайшие кольца. По третьему закону Кеплера, квадрат периода обращения этих колец пропорционален кубу расстояния до черной дыры, или же квадрат их угловой скорости w обратно пропорционален кубу расстояния r: w²r³ = константа. Угловая скорость колец неодинакова, слои, расположенные ближе к черной дыре, будут иметь большие скорости. Это обуславливает наличие внутреннего трения и нагревания, которые наиболее высоки по мере приближения к центру и ослабевают на внешних краях диска. Внутренние слои передают часть своего момента импульса наружу, при этом они приближаются к массивному центру и, в конце концов, падают на него. Фактически траектории отдельных частиц газа имеют вид спиралей, которые медленно закручиваются. Нагревание вследствие трения приводит к выбросу излучения, что и позволяет нам наблюдать черную дыру, вернее материю, которая вращается вокруг нее. ЗВЕЗДНАЯ МАССА Массу Солнца можно вычислить, наблюдая за любой планетой Солнечной системы и зная расстояние от нее до Солнца и период обращения планеты. Так же мы можем рассчитать массу Земли, зная расстояние от Земли до Луны и период обращения нашего спутника, – для этого необходимо всего лишь применить закон Кеплера в интерпретации Ньютона. При помощи этого же принципа и уже указанного закона Кеплера можно рассчитать звездную массу двойных звезд, и это вычисление является практически единственным непосредственным методом вычисления звездной массы. К счастью, частью двойной системы являются многие звезды, так что к настоящему времени наработана обширная статистическая база звездных масс. Масса звезды тесно связана с ее светимостью, или световым потоком, излучаемым в секунду времени. Соотношение массы и светимости имеет следующий вид: L аМх , где L – светимость, М – масса, х – показатель степени, равный примерно 3 или чуть больше для звезд с очень большой массой. Подобное соотношение справедливо не только для звезд, относящихся к звездам главной последовательности, которые состоят из идеального газа, 4Н -› Не. Двойные звезды могут быть визуальными, спектральными и фотометрическими. В случае визуально-двойных звезд при длительном изучении, например в течение нескольких лет, можно наблюдать, как обе звезды вращаются вокруг общего центра масс, двигаясь при этом по эллиптической орбите. Спектрально-двойные и фотометрические двойные звезды обычно расположены настолько близко, что расчеты крайне затруднительны, так как мы можем наблюдать лишь одну звезду, хотя мы и знаем, что на самом деле их две. В этом случае периоды обращения, как правило, гораздо меньше, и их определение не требует много времени. Спектрально-двойные звезды можно обнаружить с помощью спектральных наблюдений в течение нескольких ночей. Излучение одного компонента такой звездной системы с определенной периодичностью смещается то в красную, то в синюю часть спектра в зависимости от того, удаляется или приближается звезда. Если спектр второго компонента демонстрирует аналогичные смещения, но в противофазе, то можно утверждать, что перед нами двойная система. Подобное поведение вызвано эффектом Доплера и движением звезды по орбите и позволяет довольно точно определить период ее обращения. В случае фотометрических двойных звезд мы наблюдаем изменение кривой силы света, то есть отношения светового потока ко времени, из-за того, что звезды затмевают друг друга. Для наблюдения этого явления необходимо, чтобы плоскость орбиты находилась на линии видимости. Информация, получаемая в ходе наблюдений за двойными системами, меняется в зависимости от типа наблюдения. Расчеты могут быть более или менее сложными, однако принцип остается неизменным. Не будем вдаваться в подробности формул определения массы и обратимся непосредственно к результатам. В случае визуально-двойных звезд мы наблюдаем эллипс обеих и можем рассчитать их массу: ![]() ![]() где А1 – большая полуось звезды 1, А2 – большая полуось звезды 2, М1 и М2 – их массы, А = А1 + А2 – расстояние между звездами, τ – период обращения. Эти уравнения выводятся непосредственно из закона Кеплера. Таким образом: ![]() так как центр тяготения должен находиться ближе к более массивной звезде. Если 2 является планетой, М2 << M1 таким образом, число А1 ничтожно мало. Это означает, что А приблизительно равно A2 , и мы получаем закон Кеплера: ![]() Это крайне важно для ситуаций, когда мы не видим звезды с большей массой, например в случае с черной дырой. Именно с помощью этого метода была вычислена масса черной дыры, находящейся в центре Млечного Пути. В случае спектрально-двойных звезд можно рассчитать только массы, помноженные на наклон орбиты i, или угол между плоскостью орбиты и лучом зрения. Если двойные звезды одновременно и спектральны, и фотометричны, могут быть получены особенно обширные данные. Возможно вычислить наклон орбиты, обе массы, а также расстояние между звездами и их радиусы. Центр Солнца движется относительно центра тяжести Солнечной системы – барицентра. Это движение определяется двумя наиболее массивными планетами – Юпитером и Сатурном – и имеет вид почти круговых движений, согласованных с периодами обращения этих планет (около 12 и 29,5 года). Солнце удаляется от центра масс Солнечной системы на величину, приблизительно равную диаметру Солнца, и вращение происходит вокруг оси, которая, как кажется, расположена на поверхности планеты. Наблюдая за этим движением, можно сделать вывод о существовании Юпитера, хоть он и невидим. |
![Иллюстрация к книге — Наука. Величайшие теории. №4. Кеплер. Движение планет. Танцы со звездами [pic_50.jpg] Иллюстрация к книге — Наука. Величайшие теории. №4. Кеплер. Движение планет. Танцы со звездами [pic_50.jpg]](img/book_covers/073/73100/pic_50.jpg)
![Иллюстрация к книге — Наука. Величайшие теории. №4. Кеплер. Движение планет. Танцы со звездами [pic_51.jpg] Иллюстрация к книге — Наука. Величайшие теории. №4. Кеплер. Движение планет. Танцы со звездами [pic_51.jpg]](img/book_covers/073/73100/pic_51.jpg)
![Иллюстрация к книге — Наука. Величайшие теории. №4. Кеплер. Движение планет. Танцы со звездами [pic_52.jpg] Иллюстрация к книге — Наука. Величайшие теории. №4. Кеплер. Движение планет. Танцы со звездами [pic_52.jpg]](img/book_covers/073/73100/pic_52.jpg)
![Иллюстрация к книге — Наука. Величайшие теории. №4. Кеплер. Движение планет. Танцы со звездами [pic_53.jpg] Иллюстрация к книге — Наука. Величайшие теории. №4. Кеплер. Движение планет. Танцы со звездами [pic_53.jpg]](img/book_covers/073/73100/pic_53.jpg)