Онлайн книга «Лаплас. Небесная механика»
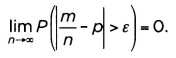
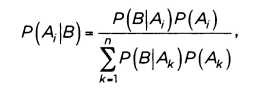
![]() Эта формула иллюстрирует закон случая, или закон стабильности частоты: используя терминологию той эпохи, существует уверенность в том, что в долгосрочной перспективе относительная частота события не будет слишком сильно отклоняться от его вероятности. Это самая простая формулировка закона больших чисел, предложенного в XIX веке последователем Лапласа Симеоном Луи Пуассоном. СЕМЬЯ БЕРНУЛЛИ Якоб Бернулли (1654-1705) по желанию своего отца изучал теологию, но очень скоро он оставил этот путь, чтобы стать преподавателем математики в Базельском университете. Эту должность ученый будет занимать до самой смерти. Его младший брат Иоганн (1667-1748), также очарованный математикой, пошел по стопам Якоба и сменил его на академическом посту. Отношения между братьями были напряженными в течение всей жизни. Оба педанты, они часто спорили о первенстве в решении математических задач. Жесткая полемика возникла по поводу того, кто первым нашел решение задачи о брахистохроне (кривой скорейшего спуска), которая была настоящим вызовом для европейских математиков: Якоб, Иоганн, Лейбниц или Ньютон (последний нашел ответ после изнурительного рабочего дня в монетном дворе Лондона и опубликовал его анонимно, однако инкогнито сохранить не удалось, поскольку «льва узнают по когтям», как сказал один братьев). Иоганн имел довольно тяжелый характер и даже выгнал из дома собственного сына Даниила (1700-1782). ![]() Якоб Бернулли. Якоб Бернулли посвятил последнюю часть своего важного трактата применению теории вероятностей в социальных, моральных и экономических делах: «Искусство предполагать предстает перед нами как искусство рассчитать так точно, как это возможно, вероятности происходящих вещей. Цель наших суждений и наших действий — в том, чтобы мы всегда смогли следовать жребию, который выбрали в качестве лучшего. (...) Именно в этом состоит мудрость философа и проницательность политика». Расчет вероятностей был полезен в азартных играх, и доказательство этого стало одним из вкладов Лапласа. Также математик приложил все усилия к тому, чтобы дать правильное определение вероятностям и объединить их расчет с анализом. ПОСЛЕДСТВИЯ В ПРИЧИНАХ До Лапласа теорию вероятностей называли теорией шансов (или случаев) и расчета вероятностей. Однако благодаря ему шансы получили «дворянские грамоты» и стали математической наукой. Исследование Лапласа «О вероятности причин по событиям», опубликованное в 1773 году, является одним из краеугольных камней этой новой дисциплины. В своем труде Лаплас, сам того не ведая, повторил концепцию байесовского подхода — интерпретации понятия вероятностей, развитой преподобным отцом Томасом Байесом (1702-1761), который определял вероятность как степень уверенности в истинности суждения. Научное исследование Байеса было издано уже после смерти его автора, в 1763 году, но до Франции не дошло. Для Лапласа речь шла скорее не о расчете вероятностей событий, а о расчете вероятностей причин. Можно выделить два типа событий. В первом случае вероятность появляется в результатах: например, если мы знаем содержимое урны с белыми и черными шарами, то можем предположить, с какой вероятностью достанем белый или черный шар. Во втором случае вероятность появляется в причинах. Мы знаем результат жеребьевки (1 черный шар) и стремимся определить содержимое урны, которое нам неизвестно. Исходя из результата (1 черный шар вынут) мы в состоянии определить вероятность причин, то есть все возможные сочетания шаров в урне. Так мы переходим от следствий к причинам (см. рисунок ниже). ![]() В первом случае (слева) мы не знаем, какой шар сейчас вытащим, но исходим из наших знаний о содержимом урны. Во втором случае(справа) мы стремимся узнать содержимое урны, исходя из цвета вытащенного шара. Одним из первых достижений Лапласа стали формулировка и доказательство теоремы Байеса, которая, вне всяких сомнений, была ему неизвестна. Свое название эта теорема получила через много лет по инициативе Огастеса де Моргана, который утверждал, что теорема была открыта его соотечественником. Что за идея лежит в основе формулы Байеса, заново открытой Лапласом? Представим себе, что у нас две урны с разным содержимым: первая содержит 2 белых и 3 черных шара, а вторая — 3 белых и 2 черных. Мы вытаскиваем один шар наугад, не зная, какая урна перед нами сейчас. Шар оказывается черным. Каково вероятное содержимое урны? С учетом цвета вытащенного шара можно предположить, что перед нами скорее первая урна, чем вторая (во второй меньше черных шаров). Теорема Байеса позволяет выразить эту интуитивную оценку в числовом значении. Из события «вытащен черный шар» следуют два возможных содержимых урны. Мы можем предположить, что оба варианта равновероятны (50% вероятности у каждого), однако применение теоремы Байеса увеличивает до 60 % вероятность того, что это первая урна, и снижает до 40 % вероятность того, что это вторая. Априори вероятности были равны (50 и 50%), а на основании наблюдений, апостериори, составили 60 и 40%. И это действительно так: поскольку первая урна содержит больше черных шаров, чем вторая, более вероятно, что шар был вытащен из первой урны. Лапласу, как и Байесу, эта теорема позволила извлечь из опыта уроки и даже узаконить индукцию. Так, Лаплас вслед за графом де Бюффоном подсчитал вероятность того, что Солнце взойдет завтра, на основании количества дней подряд, когда оно уже восходило. Применяя теорему Байеса, Лаплас пришел к знаменитому «правилу последовательности». «Для события, происходящего подряд п раз, вероятность того, что оно произойдет еще раз, равна (п + 1) / (п + 2). Правило последовательности Лапласа ТЕОРЕМА БАЙЕСА Эта теорема позволяет определить вероятность какого-либо события при условии, что произошло другое статистически взаимозависимое с ним событие. Вероятность события равна дроби, числитель которой является произведением вероятности события и вероятности связанного с ним события (причины), а знаменатель — суммой произведений вероятности события, учитывая каждую из причин, умноженную на вероятность каждой из причин. Эта формулировка, больше похожая на упражнение в дикции, имеет очень точное символическое выражение, которое можно найти в любом школьном учебнике: ![]() где Р(Аi I B) — это апостериорная вероятность (то есть вероятность причины известного события), Р(В I Аi) — вероятность события, причину которого предполагают, и Р(Аi) — априорная вероятность (она предшествует любой информации о событии). Благодаря формуле Байеса априорные вероятности могут быть вычислены апостериори; иначе говоря, мы можем принимать решения, основываясь на опыте. |
![Иллюстрация к книге — Лаплас. Небесная механика [img_36.jpg] Иллюстрация к книге — Лаплас. Небесная механика [img_36.jpg]](img/book_covers/073/73099/img_36.jpg)
![Иллюстрация к книге — Лаплас. Небесная механика [img_37.jpg] Иллюстрация к книге — Лаплас. Небесная механика [img_37.jpg]](img/book_covers/073/73099/img_37.jpg)
![Иллюстрация к книге — Лаплас. Небесная механика [img_38.jpg] Иллюстрация к книге — Лаплас. Небесная механика [img_38.jpg]](img/book_covers/073/73099/img_38.jpg)
![Иллюстрация к книге — Лаплас. Небесная механика [img_39.jpg] Иллюстрация к книге — Лаплас. Небесная механика [img_39.jpg]](img/book_covers/073/73099/img_39.jpg)