Онлайн книга «На плечах гигантов»
|
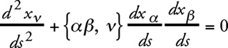
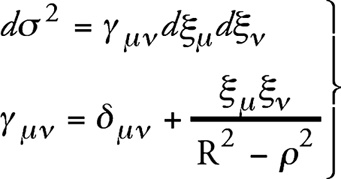
Возможность «а» неудовлетворительна во многих отношениях. Во-первых, такие граничные условия предполагают определенный выбор системы отсчета, что несовместимо с духом принципа относительности. Во-вторых, эта возможность ведет к отказу от требования относительности инерции. Действительно, инерция материальной точки с естественно измеренной массой m зависит от gμν, но последние лишь очень мало отличаются от постулированных значений на пространственной бесконечности. Благодаря этому, несмотря на то что материя (находящаяся на конечном расстоянии) влияет на инерцию, но все-таки не обусловливает последнюю. Если бы существовала только одна материальная точка, то она, согласно этому представлению, обладала бы почти такой же инерцией, как и в том случае, когда она окружена всеми прочими массами нашего реального мира. Наконец, против этого представления нужно выдвинуть те же статистические возражения, которые выше были указаны для теории Ньютона. ![]() Теория струн, разработанная по большей части уже после смерти Эйнштейна, породила новые модели зарождения Вселенной. Из всего сказанного выше следует, что мне не удалось установить граничных условий для пространственной бесконечности. Тем не менее существует еще одна возможность, позволяющая обойтись без отказа, упомянутого в «б». Так, если бы можно было рассматривать мир в его пространственной протяженности как замкнутый континуум, то полностью отпала бы необходимость в подобного рода граничных условиях. Из дальнейшего будет видно, что и требование общего принципа относительности, и факт незначительности скоростей звезд совместимы с гипотезой пространственной замкнутости Вселенной. Однако для осуществления этого необходимо некоторое обобщение уравнений гравитационного поля. § 3. Пространственно замкнутый мир с равномерно распределенной материей Согласно общей теории относительности, метрический характер (кривизна) четырехмерного пространственно-временного континуума определяется в каждой точке находящейся в ней материей и состоянием последней. Из-за неравномерности распределения материи метрическая структура этого континуума должна быть крайне запутанной. Однако говоря о структуре пространства в целом, можно представить материю как бы равномерно распределенной по очень большой области пространства, так что ее плотность распределения становится чрезвычайно медленно меняющейся функцией. В данном случае мы поступаем так же, как геодезисты, которые крайне сложную в деталях поверхность Земли приближенно заменяют эллипсоидом. Наиболее важное из того, что нам дает опыт о распределении материи, заключается в том, что относительные скорости звезд очень малы по сравнению со скоростью света. На этом основании я полагаю, что на начальном этапе в основу наших рассуждений можно положить приближенное допущение: пусть существует координатная система, относительно которой материю можно рассматривать находящейся в течение продолжительного времени в покое. По отношению к этой координатной системе контравариантный тензор материи Tμν, в силу (5), имеет следующий простой вид: ![]() (6) Скаляр ρ (средней) плотности распределения изначально может быть зависимым от пространственных координат, но, предположив, что мир пространственно замкнут, мы можем сформулировать гипотезу о том, что ρ не зависит от места. Эту гипотезу мы положим в основу дальнейших рассуждений. Что касается гравитационного поля, то из уравнения движения материальной точки ![]() следует, что материальная точка в статическом гравитационном поле может находиться в покое только тогда, когда g44 не зависит от места. Так как, кроме того, мы для всех величин предполагаем независимость от временной координаты х4, то для искомого решения можем потребовать, чтобы для всех xν g44 = 1. (7) Далее, как это обычно делается в статических задачах, примем, что g14 = g24= g34= 0. (8) Остается определить те компоненты потенциала гравитационного поля, которые характеризуют чисто пространственно-геометрические свойства нашего континуума (g11, g12, …, g33). Из введенного допущения о равномерности распределения масс, создающих поле, следует, что и кривизна искомого метрического пространства должна быть постоянной. Таким образом, при заданном распределении масс искомый замкнутый континуум (х1, х2, х3 при постоянном х4) должен быть сферическим пространством. Такое пространство можно получить, например, если исходить из евклидова пространства (ξ1, ξ2, ξ3, ξ4) четырех измерений с линейным элементом dσ. В этом случае ![]() (9) Рассмотрим в этом пространстве гиперповерхность ![]() (10) где R – постоянная. Точки этой гиперповерхности образуют трехмерный континуум – сферический объем с радиусом кривизны R. Четырехмерное евклидово пространство, из которого мы исходили, служит только для удобного определения нашей гиперповерхности. Нас интересуют только точки этой поверхности, метрические свойства которой должны совпадать со свойствами физического пространства с равномерным распределением материи. Для описания этого трехмерного континуума воспользуемся координатами ξ1, ξ2, ξ3 (проекции на гиперплоскость ξ4 = 0), так как, в силу (10), можно ξ4 выразить через ξ1, ξ2, ξ3. Исключая ξ4 из (9), получаем следующее выражение для линейного элемента сферического пространства: ![]() где δμν = 1, если μ = ν, и δμν = 0, если μ =/ ν, . Выбранные координаты удобны, когда речь идет об исследовании окрестности точки ξ1 = ξ2 = ξ3 = 0. |
![Иллюстрация к книге — На плечах гигантов [i_133.jpg] Иллюстрация к книге — На плечах гигантов [i_133.jpg]](img/book_covers/073/73063/i_133.jpg)
![Иллюстрация к книге — На плечах гигантов [i_134.jpg] Иллюстрация к книге — На плечах гигантов [i_134.jpg]](img/book_covers/073/73063/i_134.jpg)
![Иллюстрация к книге — На плечах гигантов [i_135.jpg] Иллюстрация к книге — На плечах гигантов [i_135.jpg]](img/book_covers/073/73063/i_135.jpg)
![Иллюстрация к книге — На плечах гигантов [i_136.jpg] Иллюстрация к книге — На плечах гигантов [i_136.jpg]](img/book_covers/073/73063/i_136.jpg)
![Иллюстрация к книге — На плечах гигантов [i_137.jpg] Иллюстрация к книге — На плечах гигантов [i_137.jpg]](img/book_covers/073/73063/i_137.jpg)
![Иллюстрация к книге — На плечах гигантов [i_138.jpg] Иллюстрация к книге — На плечах гигантов [i_138.jpg]](img/book_covers/073/73063/i_138.jpg)