Книга Институты и путь к современной экономике. Уроки средневековой торговли, страница 73 – Авнер Грейф

Авторы: А Б В Г Д Е Ж З И Й К Л М Н О П Р С Т У Ф Х Ч Ш Ы Э Ю Я
Книги: А Б В Г Д Е Ж З И Й К Л М Н О П Р С Т У Ф Х Ц Ч Ш Щ Ы Э Ю Я
Бесплатная онлайн библиотека LoveRead.in

Онлайн книга «Институты и путь к современной экономике. Уроки средневековой торговли»

📃 Cтраница 73

В стандартных моделях повторяющейся дилеммы заключенного предполагается, что кооперация обладает нейтральным усилением. Ради простоты изложения я буду предполагать, что изменение в выигрышах от кооперации при любом механизме усиления со временем фиксируется.

Предпосылка: для всех t bt+1bt = ∈ при ∈ > (<, =) 0 при положительном (отрицательном, нейтральном) усилении. В дальнейшем изложении под понятием равновесия имеется в виду совершенное в подыграх равновесие Нэша. Чтобы не вводить дополнительные обозначения и терминологию, в нашем представлении мы не будем соблюдать всех формальных тонкостей.


Случай 1. Знание об усилении

Рассмотрим случай, когда игроки знают механизм усиления.

Тезис 1. Институт кооперации является самоподдерживающимся на более широком диапазоне коэффициентов дисконтирования при положительном усилении, чем при нейтральном подкреплении.

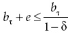
Доказательство. Зафиксируем период как т. Легко понять, что кооперация может быть самоподдерживающимся институтом при нейтральном усилении, если и только если

Иллюстрация к книге — Институты и путь к современной экономике. Уроки средневековой торговли [i_005.jpg]
Иллюстрация к книге — Институты и путь к современной экономике. Уроки средневековой торговли [i_006.jpg]

Поскольку ∈ > 0, правая часть выражения (2) строго меньше правой части выражения (1), и это подтверждает тезис. Что и требовалось доказать.


Тезис 2. При отрицательном усилении кооперация не является самоподдерживающимся институтом.

Доказательство. Доказательство очевидно благодаря обратной индукции, учитывая, что выигрыши от взаимной кооперации понижаются на е в каждый период, если игроки сотрудничали в предыдущие периоды.

Институт кооперации, следовательно, может быть самоподдерживающимся только при нейтральном или положительном усилении. При положительном усилении институт является положительно усиливающимся, потому что правая сторона выражения (2) со временем уменьшается (так как bt растет), заставляя равновесие поддерживаться на более широком диапазоне 5 по времени. Точно так же институт не является ни положительно, ни отрицательно усиливающимся при нейтральном усилении, поскольку диапазон 5, на котором он является самоподдерживающимся, остается неизменным в любой период t.


Случай 2. Незнание об усилении

Теперь рассмотрим случай, когда игроки не знают механизм усиления. В каждый период игроки наблюдают bt и представляют, будто это значение останется фиксированным на все будущие периоды, независимо от их действий. Если кооперация может поддерживаться при равновесии, она может осуществиться и при реверсии Нэша. В любой период т это совместимо со стимулом тогда и только тогда, когда

Иллюстрация к книге — Институты и путь к современной экономике. Уроки средневековой торговли [i_007.jpg]
, или, иначе говоря, тогда и только тогда, когда:

Иллюстрация к книге — Институты и путь к современной экономике. Уроки средневековой торговли [i_008.jpg]

Правая сторона выражения (3) строго уменьшается в bt. Следовательно, если кооперация производит положительное усиление, диапазон 5, для которого реверсия Нэша является самоподдерживающейся, со временем увеличивается, т. е. институт является положительно самоподдерживающимся. Если институт является самоподдерживающимся в некоторый период т, он будет самоподдерживающимся и во все последующие периоды.

Если же кооперация производит отрицательное усиление, институт оказывается отрицательно усиливающимся. В самом деле при отрицательном усилении для любого 5 и любого начального значения Ь0 существует такое (возможно большое) t, что кооперация в период t уже не является самоподдерживающейся. В t институт меняется так, что от кооперации начинают отказываться. Постепенное уменьшение выигрышей от кооперации предполагает, что в определенный момент будущие выигрыши от кооперации окажутся меньше, чем актуальный выигрыш от отказа от кооперации.

VII. Институциональные траектории: как прошлые институты влияют на сегодняшние

Общества сталкиваются с новой ситуацией, когда институт, регулировавший транзакцию, больше не является самоподдерживающимся, когда он воспринимается как теряющий свои характеристики самоподдерживаемости или когда технологические, организационные и другие изменения порождают новые транзакции. Влияют ли прошлые институты, больше не оказывающие существенного воздействия на поведение, на направление институциональных изменений? Если да, то почему и как?

Перспектива, рассматривающая институты как созданные намеренно и часто в качестве правил, подчеркивает, что новые институты отражают интересы и индуктивные рассуждения экономических или политических агентов. Эволюционный институционализм подчеркивает значение структурных сил, связанных с окружением, и нехватку дедуктивных рассуждений. Чтобы объяснить воздействие прошлых институтов, придерживающиеся этих взглядов ученые обычно ссылаются как на экзогенный на один набор институтов для объяснения последующих. При изучении экономических институтов как правил, например, принято изучать формирование этих правил, принимая как данность политические или неформальные (культурно детерминированные) институты. Однако эта позиция равносильна отбрасыванию решения вопроса на один шаг назад.

Наоборот, эта глава исследует, почему и как прошлое, заключенное в институциональных элементах, направляет институциональное изменение и приводит к тому, что общества развиваются по определенным институциональным траекториям. Исследование свойств социальных элементов, образующих институт, находится в центре нашего внимания. Эти свойства предполагают фундаментальную асимметрию между институциональными элементами, унаследованными из прошлого, и технически осуществимыми альтернативами. Из-за этой фундаментальной асимметрии убеждения, нормы и организации, унаследованные из прошлого, влияют на последующие институты, являясь состоянием по умолчанию в новых ситуациях; они являются частью начальных условий в процессах, влияющих на выбор новых институтов среди альтернатив. Так происходит, даже если эти элементы первоначально возникли как компоненты института, больше не являющегося самоподдерживающимся.

Фундаментальная асимметрия, как это будет разъяснено далее, отражает тот факт, что институциональные элементы являются не только атрибутами институтов, но и атрибутами индивидов социальных и культурных миров, которые эти люди знают и разделяют. Институциональные элементы сохраняются в воспоминаниях индивидов, образуют их когнитивные модели, воплощены в их предпочтениях и проявляются в организациях; это то, что индивиды приносят с собой, когда сталкиваются с новыми ситуациями. Институциональные элементы, унаследованные из прошлого, являются состоянием по умолчанию при обеспечении микрооснов поведения в новых ситуациях; создавая альтернативы, технически осуществимые институциональные элементы требуют действия. История имеет значение.

Вход
Поиск по сайту
Ищем:
Календарь