Книга Институты и путь к современной экономике. Уроки средневековой торговли, страница 126 – Авнер Грейф

Авторы: А Б В Г Д Е Ж З И Й К Л М Н О П Р С Т У Ф Х Ч Ш Ы Э Ю Я
Книги: А Б В Г Д Е Ж З И Й К Л М Н О П Р С Т У Ф Х Ц Ч Ш Щ Ы Э Ю Я
Бесплатная онлайн библиотека LoveRead.in

Онлайн книга «Институты и путь к современной экономике. Уроки средневековой торговли»

📃 Cтраница 126

Поскольку суд для кредиторов передаст i + l + c обманутому кредитору, подача жалобы выгодна. Наилучшая реакция кредитора на факт мошенничества – это подача жалобы; из того, что c > 0, следует, что необоснованная жалоба невыгодна; поскольку же i – r > 0, наилучшая реакция кредитора – давать в долг. Неравенство (1) предполагает, что чистые дисконтированные стоимости будущих кредитов и арестованных товаров для живых членов сообщества заемщиков превышают значение х, т. е. сумму, требуемую судом для кредиторов, и издержки на проверку CB [320]. Следовательно, суд заемщиков не может выиграть от действий, ведущих к конфликтному состоянию. Его наилучшим ответом в кооперативном состоянии будет проверка любой жалобы, взыскание штрафа с мошенника и выплата компенсаций суду кредиторов в случае, если жалоба обоснованна. Неравенство (2) предполагает, что суду для кредиторов выгоднее кооперативное состояние, чем конфликтное. Его наилучшая реакция в кооперативном состоянии – проверять жалобы, возвращать арестованные товары, выплачивать обманутому кредитору полученную компенсацию и не арестовывать товары по необоснованной жалобе. Что и требовалось доказать.

Следовательно, теоретически система коллективной ответственности может поддерживать обезличенный обмен, эндогенно обеспечивая все соответствующие стимулы. Для заемщика оптимальным решением будет расплатиться по долгу, а не нарушать обязательства, даже в последний период, поскольку нарушение влечет за собой наказание со стороны суда для его сообщества. Предугадывая такой исход, кредиторы считают оптимальным решением продолжать кредитование. Кроме того, предвидя компенсацию в случае обоснованной жалобы, кредитор мотивирован предоставлять суду информацию, относящуюся к мошенничеству, позволяя, таким образом, суду опираться в своих действиях на эту информацию. Публичная информация порождается эндогенно, поскольку обманутый кредитор имеет мотив подать жалобу, кредитор не получает выгоду от подачи ложных жалоб, а суды мотивированы проверять их обоснованность.

В центре системы коллективной ответственности находится достоверная угроза того, что нарушителя обязательств накажет его же сообщество. Забота сообщества о своей репутации мотивирует его пристрастный суд выносить беспристрастные судебные решения. Сообщество, хотя оно агрегирует только выигрыши живых членов, фактически становится заменой одного-единственного игрока с бесконечным временным горизонтом. Проблема конечной игры смягчается представлением репутации сообщества в качестве обязательства, ограничивающего поведение всех его членов. Суд для заемщиков приходит к тому, что оптимально наказывать мошенника, поскольку такое поведение наиболее благоприятно для более молодых когорт. Хотя индивидуальный заемщик не может быть наказан кредиторами, если он мошенничает в период (T – 1), арест товаров, равно как и достоверная угроза со стороны кредиторов не давать в долг другим заемщикам, предполагает, что суду для заемщиков выгоднее наложить штраф на нарушителей обязательств и выплатить компенсации сообществу кредиторов.

Система коллективной ответственности одновременно снимает проблему конечной игры, определенной конечными продолжительностями жизни купцов, а также стратегические и технологические проблемы производства информации о мошенничестве. Институт, основанный на знакомстве внутри сообщества и институтах обеспечения исполнения контрактных обязательств, позволяет осуществлять обмен между сообществами, характеризуемый разделением quid и quo во времени и пространстве. Этот обмен может быть обезличенным и в том смысле, что индивид не ожидает выгоды от будущего обмена с нынешним партнером и не обладает ни знаниями о его прошлом поведении, ни возможностью сообщить о нарушениях будущим торговым партнерам.

До этого момента в нашем обсуждении игнорировался один важный аспект системы коллективной ответственности: сообщение коммунальной и личной идентичности (имени) заемщика кредитору. Чтобы система могла поддерживать обмен, кредитору надо знать идентичность заемщика, иначе суд не сможет наказывать мошенников. В личном обмене это знание по определению доступно экономическим агентам. При торговле с чужаками в ситуациях, в которых их идентификация (т. е. знание имени) имеет ключевую роль для исполнения контрактных обязательств, нельзя полагаться на то, что они правдиво раскроют свою идентичность.

Поскольку такое раскрытие делает заемщика, задумавшего мошенничество, уязвимым для наказания, он будет выдавать себя за другого. Заемщик сталкивается с проблемой достоверного раскрытия своей личности, которое требуется, если в случае мошенничества его надо будет наказать. Для достоверного раскрытия идентичности необходимы дополнительные институциональные черты. В современной экономике эту роль играют водительские права, паспорт и другие формы документов, основанные на фотографических технологиях и с печатью, которых не было в средневековый период [321].

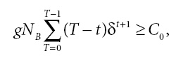
Теоретически система коллективной ответственности может снять эту проблему, если она опирается на личное знакомство внутри сообщества, позволяющее индивиду достоверно раскрыть свою коммунальную идентичность (связи) и личную идентичность (имя) нечленам сообщества, делая себя уязвимым для наказания. Чтобы учесть эту возможность в модели, предположим, что сообщество заемщиков сначала может выстроить (понеся соответствующие издержки С0) организацию на территории кредитора. Эта организация способна подтвердить коммунальную и личную идентичность заемщика. Предположим, что

Иллюстрация к книге — Институты и путь к современной экономике. Уроки средневековой торговли [i_028.jpg]

т. е. выгода от займа больше, чем издержки от создания удостоверяющей организации. В этом случае сообществу заемщиков выгодно создать такую удостоверяющую организацию. В расширенной игре обмен может поддерживаться как равновесный исход в условиях, обсуждавшихся ранее. Система коллективной ответственности может эндогенно порождать информацию, относящуюся к коммунальной и личной идентичности мошенника и необходимую для ее работы, и поддерживать обмен, являющийся обезличенным в том смысле, что экономические агенты до вступления в процедуру обмена не идентифицируют друг друга.

Вход
Поиск по сайту
Ищем:
Календарь