Онлайн книга «Институты и путь к современной экономике. Уроки средневековой торговли»
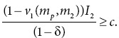
![]() РИС. VIII.3. Игра с подестатом Выигрыши в игре следующие. • Если клан 1 не вступает в конфронтацию, выигрыши (I1, I2, W) для клана 1, клана 2 и подеста соответственно, и та же самая игра повторяется в следующем периоде. Если клан 1 вступает в конфронтацию и клан 2 отказывается бороться, клан 1 становится контролирующим. Тогда выигрыши – (V1, 0, 0). Если подеста вступает в сговор, клан 1 дает ему вознаграждение Vpc (т. е. выигрыш подеста при равновесии в игре сговор). Выигрыши составляют (V1 – Vpc,0,Vpc ). Если подеста пытается помешать клану 1 захватить власть, его выигрыш равен чистой ожидаемой стоимости попытки получить контроль. Выигрыши составляют (v1(mp)V1 – c, 0, vp(m1)Vp – c). • Если клан 1 вступает в конфронтацию и клан 2 дает отпор, соответствующие выигрыши составляют: если подеста не предотвращает столкновение, выигрыш каждого клана равен чистой ожидаемой стоимости от положения контролирующего клана, тогда как подеста получает нулевой выигрыш, т. е. (v1(m2)V1 – с, (1 – v1(m2)V2 – с, 0) [263]. Если подеста вступает в сговор, как раньше, клан 1 берет на себя контроль. Выигрыши составляют (1 – Vpc,0,Vpc ). • Если подеста предотвращает столкновение, клан 1 либо получит контроль и V1, либо не получит контроль и получит только свою долю дохода за период I2, тогда как подеста получит свое жалованье W. Таким образом, выигрыши составляют (v1(mp, m2)V1 – c + (1 – v1(mp, m2))I1, (1– v1(mp, m2))I2 – c, (1 – v1(mp, m2))W – c). Рассмотрим следующую комбинацию стратегий: клан 1 не вступает в конфронтацию, клан 2 дает отпор, если с ним вступают в конфронтацию, а подеста предотвращает столкновение тогда и только тогда, когда клан 1 вступает в конфронтацию и клан 2 дает ему отпор. Если клан 1 вступает в конфронтацию, но клан 2 не дает ему отпор, подеста вступает в сговор, если Vpc > 0, и не вступает в сговор в противном случае. Эта комбинация стратегий является совершенным в подыгре равновесием, если выполняются следующие условия. а) (1 – v1(mp,m2))W – c > Vpc. Подеста предотвращает столкновение и не вступает в сговор, если клан 2 дает отпор. б)
в)
Интуитивно условие (а) подразумевает, что подеста будет лучше, если он предотвратит схватку, если клан 2 даст отпор, и что в противном случае ему лучше вступить в сговор. Условие (б) гарантирует, что клан 2 даст отпор. Поскольку подеста не будет предотвращать схватку, если клан 2 не даст отпор, и поскольку условие (б) подразумевает, что клан 2 предпочитает, скорее, дать отпор, нежели не вступать в конфронтацию, если подеста помешает столкновению, отпор является для клана 2 лучшим ответом, если ему бросят вызов. Условие (в) в таком случае предполагает, что клан 1, ожидая, что клан 2 и подеста будут вместе давать отпор, сочтет оптимальным для себя не вступать в конфронтацию. Эти условия и равновесная стратегия указывают на то, как система подестата может обеспечить необходимые стимулы для преодоления проблем, которые могли бы сделать ее неэффективной. Условие (а) подразумевает, что стратегия клана 2 предотвращает сговор между кланом 1 и подеста, в достаточной мере сокращая военную силу подеста по сравнению с его жалованьем, так что, как бы убедительно ни обещал клан 1 вознаградить подеста после сговора, этого будет недостаточно, чтобы побудить его вступить в такой сговор. Подеста, ожидая, что клан 2 вместе с ним будет давать отпор клану 1, предпочтет помешать клану 1 начать конфронтацию, а не вступит с ним в сговор. Клан 2 мотивирован сражаться вместе с подеста, потому что если он не будет этого делать (как предполагает стратегия подеста), подеста не вступит в конфронтацию с кланом 1. В то же время условие (б) подразумевает, что совместные силы клана 2 и подеста по сравнению с долей клана 2 в прибыли I2 таковы, что оптимальным решением для клана 2 будет сражаться вместе с подеста. Таким образом, для того чтобы подестат способствовал политическому порядку, должен поддерживаться хрупкий баланс сил. С одной стороны, подеста не может быть слишком силен в военном отношении, чтобы он не мог сам захватить контроль или вступить в сговор с кланом 1. (Обе стороны условия (а) убывают в mp, но правая сторона возрастает в W.) С другой стороны, он должен быть достаточно силен, чтобы его угроза сражаться на стороне клана 2 при необходимости лишала бы клан 1 стимула вступать в конфронтацию. (Левая сторона условия (б) возрастает в m) Этот баланс дает подеста важный стимул, который не отражает данная модель. Чем более кланы равны по своей военной силе, тем больше вероятность того, что равновесие будет выполняться и подеста получит W, не вступая в войну. Следовательно, подеста мотивирован предотвращать столкновение, но не за счет серьезного ослабления каждого из кланов. Таким образом, подеста может убедительно обещать поддерживать относительную силу каждого из кланов. IX. О происхождении различных институциональных траекторий: культурные убеждения и организация общества
Социетальная организация (комплексы экономических, правовых, политических, социальных и моральных институтов) в современных обществах строго коррелирует с доходом на душу населения: большинство развивающихся стран являются коллективистскими, тогда как развитый Запад – индивидуалистическим [264]. |
![Иллюстрация к книге — Институты и путь к современной экономике. Уроки средневековой торговли [i_020.jpg] Иллюстрация к книге — Институты и путь к современной экономике. Уроки средневековой торговли [i_020.jpg]](img/book_covers/073/73046/i_020.jpg)
![Иллюстрация к книге — Институты и путь к современной экономике. Уроки средневековой торговли [i_021.jpg] Иллюстрация к книге — Институты и путь к современной экономике. Уроки средневековой торговли [i_021.jpg]](img/book_covers/073/73046/i_021.jpg)
![Иллюстрация к книге — Институты и путь к современной экономике. Уроки средневековой торговли [i_022.jpg] Иллюстрация к книге — Институты и путь к современной экономике. Уроки средневековой торговли [i_022.jpg]](img/book_covers/073/73046/i_022.jpg)