Онлайн книга «Журнал "Наука. Величайшие теории" №2. Самая притягательная сила природы. Ньютон. Закон всемирного тяготения»
|
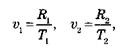
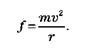
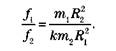
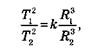
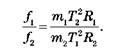
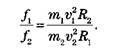
Однако стоит более подробно описать путь, которым шел Ньютон в своих исследованиях планетарного движения, пытаясь найти связь между центробежной силой и квадратом расстояния. Предположим, что тело массой m движется с постоянной скоростью v по окружности с радиусом r. Ньютон рассчитал, что полная сила при равномерном круговом движении стремится к 2пи mv. Если теперь рассчитать не полную, а мгновенную силу (разделив на время полного оборота 2пи r/v), получаем ![]() Эту формулу центробежной силы, из-за которой тело, совершающее равномерное круговое движение, в каждый момент времени стремится от центра, мы используем при расчете подобного кругового движения. Ньютон воспользовался третьим законом Кеплера, чтобы найти центробежную силу, благодаря которой планеты отдаляются от Солнца. Пусть Т1 и Т2 – это периоды обращения планет вокруг Солнца, a R1 и R2 – их средние расстояния до Солнца. Третий закон Кеплера утверждает, что квадраты периодов обращения планет относятся как кубы радиусов: ![]() где k – общий коэффициент пропорциональности. Добавим теперь скорости, с которыми двигаются планеты, v1 и v2 ; по формуле, приведенной выше, результаты для соответствующих центростремительных сил равны: ![]() и, таким образом, ![]() Принимая во внимание, что скорости – это частное расстояния и времени, получаем: ![]() подставим это в предыдущую формулу и получим: ![]() В итоге, применив третий закон Кеплера, Ньютон получил: ![]() Вынеся за скобки множитель, который учитывает массы, Ньютон пришел к выводу, что центробежные силы обратно пропорциональны квадрату расстояний: ![]() Возможно, Ньютон начинал подозревать, пока более или менее туманно, что яблоко заставляет падать то же притяжение, которое держит Луну на орбите возле Земли, однако от этого момента до открытия всеобщего закона тяготения должно пройти еще много времени, полного тяжелой работы и бессонных ночей. Сначала Ньютон пытался сравнить ускорение, придаваемое центробежной силой и заставляющее Луну двигаться, и ускорение тяготения на земной поверхности; и снова ученому помог его талант экспериментатора: он смог обнаружить точные значения, когда с помощью наклонных поверхностей измерял скорость падения тел на Землю. ДЕКАРТОВЫ ВИХРИ ![]() Часть пластины, изображающей декартовы вихри, включенной в книгу «Математические начала натуральной философии». Рене Декарт выдвинул точку зрения, что своим движением планеты обязаны действию неких вихрей. Эта механистическая теория была опубликована в «Математических началах натуральной философии» (1644) и предполагала, что пространство занято невидимым потоком, который, двигаясь, создает гигантские небесные вихри. Солнце, по теории Декарта,- центр одного из таких вихрей, и поэтому оно тянет за собой планеты, которые, в свою очередь, являются центрами других, более маленьких вихрей, воздействующих на Луну и другие спутники. Эта идея была достаточно сильной, потому что объясняла движение тел без видимого воздействия сил, при этом она наследовала аналогию с речными водоворотами, которая уже применялась в Древней Греции Левкиппом и, позднее, Эпикуром. Но если силы не действуют на расстоянии, как тогда объяснить падение тел на Земле? Декарт считал Землю гигантской центрифугой, а «сила, с которой небесная материя, более легкая, стремится удалиться от центра Земли, не может иметь воздействия; если частицы небесной материи отдаляются, они не достигают некоторых земных участков, которые в то же время нисходят, пока не займут место, освобожденное частицами небесной материи». Ньютон защищал точку зрения, согласно которой планетам на орбитах для сохранения движения необходимо только притяжение к Солнцу, но не сила, двигающая вперед. Хотя гипотеза о тождественности обеих сил была верной, Ньютон оставил ее из-за накладок в расчетах: он использовал неточные значения радиуса Земли, а также он не знал, что расстояния следует измерять от центров. Если верить истории о яблоке, идея тяготения, применимая ко всей материи во Вселенной, уже полностью оформилась в голове Ньютона. Однако это очень далеко от реальности. Уэстфол написал по этому поводу: |
![Иллюстрация к книге — Журнал "Наука. Величайшие теории" №2. Самая притягательная сила природы. Ньютон. Закон всемирного тяготения [pic_12.jpg] Иллюстрация к книге — Журнал "Наука. Величайшие теории" №2. Самая притягательная сила природы. Ньютон. Закон всемирного тяготения [pic_12.jpg]](img/book_covers/073/73029/pic_12.jpg)
![Иллюстрация к книге — Журнал "Наука. Величайшие теории" №2. Самая притягательная сила природы. Ньютон. Закон всемирного тяготения [pic_13.jpg] Иллюстрация к книге — Журнал "Наука. Величайшие теории" №2. Самая притягательная сила природы. Ньютон. Закон всемирного тяготения [pic_13.jpg]](img/book_covers/073/73029/pic_13.jpg)
![Иллюстрация к книге — Журнал "Наука. Величайшие теории" №2. Самая притягательная сила природы. Ньютон. Закон всемирного тяготения [pic_14.jpg] Иллюстрация к книге — Журнал "Наука. Величайшие теории" №2. Самая притягательная сила природы. Ньютон. Закон всемирного тяготения [pic_14.jpg]](img/book_covers/073/73029/pic_14.jpg)
![Иллюстрация к книге — Журнал "Наука. Величайшие теории" №2. Самая притягательная сила природы. Ньютон. Закон всемирного тяготения [pic_15.jpg] Иллюстрация к книге — Журнал "Наука. Величайшие теории" №2. Самая притягательная сила природы. Ньютон. Закон всемирного тяготения [pic_15.jpg]](img/book_covers/073/73029/pic_15.jpg)
![Иллюстрация к книге — Журнал "Наука. Величайшие теории" №2. Самая притягательная сила природы. Ньютон. Закон всемирного тяготения [pic_16.jpg] Иллюстрация к книге — Журнал "Наука. Величайшие теории" №2. Самая притягательная сила природы. Ньютон. Закон всемирного тяготения [pic_16.jpg]](img/book_covers/073/73029/pic_16.jpg)
![Иллюстрация к книге — Журнал "Наука. Величайшие теории" №2. Самая притягательная сила природы. Ньютон. Закон всемирного тяготения [pic_17.jpg] Иллюстрация к книге — Журнал "Наука. Величайшие теории" №2. Самая притягательная сила природы. Ньютон. Закон всемирного тяготения [pic_17.jpg]](img/book_covers/073/73029/pic_17.jpg)
![Иллюстрация к книге — Журнал "Наука. Величайшие теории" №2. Самая притягательная сила природы. Ньютон. Закон всемирного тяготения [pic_18.jpg] Иллюстрация к книге — Журнал "Наука. Величайшие теории" №2. Самая притягательная сила природы. Ньютон. Закон всемирного тяготения [pic_18.jpg]](img/book_covers/073/73029/pic_18.jpg)
![Иллюстрация к книге — Журнал "Наука. Величайшие теории" №2. Самая притягательная сила природы. Ньютон. Закон всемирного тяготения [pic_19.jpg] Иллюстрация к книге — Журнал "Наука. Величайшие теории" №2. Самая притягательная сила природы. Ньютон. Закон всемирного тяготения [pic_19.jpg]](img/book_covers/073/73029/pic_19.jpg)
![Иллюстрация к книге — Журнал "Наука. Величайшие теории" №2. Самая притягательная сила природы. Ньютон. Закон всемирного тяготения [pic_20.jpg] Иллюстрация к книге — Журнал "Наука. Величайшие теории" №2. Самая притягательная сила природы. Ньютон. Закон всемирного тяготения [pic_20.jpg]](img/book_covers/073/73029/pic_20.jpg)