Книга Квантовая случайность. Нелокальность, телепортация и другие квантовые чудеса, страница 8 – Николя Жизан

Авторы: А Б В Г Д Е Ж З И Й К Л М Н О П Р С Т У Ф Х Ч Ш Ы Э Ю Я
Книги: А Б В Г Д Е Ж З И Й К Л М Н О П Р С Т У Ф Х Ц Ч Ш Щ Ы Э Ю Я
Бесплатная онлайн библиотека LoveRead.in

Онлайн книга «Квантовая случайность. Нелокальность, телепортация и другие квантовые чудеса»

📃 Cтраница 8

Если пойти чуть дальше, можно рассмотреть другой пример, в котором оба ящика всегда выдают одинаковые значения показаний, равные 0, невзирая на положение джойстика. В этом случае выбор Алисы и Боба никак не влияет на результат. Несложно подсчитать, что для каждой из трех комбинаций: «лево-лево», «лево-право» и «право-лево» – коэффициент удачных попыток будет составлять 1, а для комбинации «право-право» – 0. В этом случае общий счет будет равен 3.

Перед тем как рассмотреть принцип работы приборов, добавим чуть-чуть абстракции. Это подведет нас к самой сути понятия нелокальности.

Нелокальные вычисления: a + b = x × y

Ученые любят описывать изучаемые объекты при помощи чисел, так же как сделали мы с показаниями ящиков Белла. Это помогает сосредоточить внимание на главном и не путаться в длинных предложениях вроде «Алиса наклонила джойстик влево и получила результат 0». Математический аппарат также помогает выполнять сложение и умножение, и мы увидим, что можно уместить понятие нелокальности в очень простом уравнении.

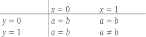
Сначала займемся Алисой. Пусть переменная х обозначает ее выбор, а переменная a – результат. К примеру, х = 0 будет означать, что Алиса выбрала наклонить джойстик влево, а х = 1 будет означать, что она наклонила его направо. Точно так же обозначим переменные для Боба: y будет обозначать его выбор, а b – результат. При таких обозначениях следующая небольшая таблица описывает случаи, в которых, согласно правилам, Алиса и Боб получают очко.

Иллюстрация к книге — Квантовая случайность. Нелокальность, телепортация и другие квантовые чудеса [i_002.jpg]

Оказывается, простые арифметические действия помогут нам свести всю игру Белла, в которой у Алисы и Боба имеется по ящику, которые далеко разнесены друг от друга, чтобы избежать какой-либо возможности копирования, где каждый из них делает свободный выбор и записывает результат, в одно элегантное уравнение:

a + b = x × y,

то есть сумма а и b равна произведению х и у.

В самом деле, произведение х × у всегда равно 0, кроме случая, когда х = у = 1. Следовательно, говорит нам уравнение, сумма a + b всегда равна 0, кроме случая, когда х = у = 1.

Сначала рассмотрим случай, при котором x = y = 1. Сумма a + b при этом равна 1, а так как мы договорились, что переменные a и b могут принимать только значения 0 и 1, то уравнение a + b = 1 имеет два решения: или a = 0 и b = 1, или a = 1 и b = 0. Следовательно, если a + b=1, то ab. В этом случае в соответствии с правилами игры участники получают очко.

Теперь рассмотрим три оставшихся случая: (x, y) = (0, 0), (0,1) или (1,0). Во всех трех случаях произведение x × y равно 0, поэтому мы можем упростить уравнение до a + b = 0. Первое возможное решение – a = b = 0. Второе решение: это a = b = 1. Второе решение на первый взгляд кажется странным, потому что сумма 1 + 1 обычно равна 2. Но, так как мы считаем битами, нулями и единицами, результат также может быть представлен только как 0 или 1. В нашем случае 2 = 0 (математики сказали бы о сравнении по модулю 2). Следовательно, уравнение a + b = 0 эквивалентно a = b.

Таким образом, одно красивое уравнение a + b = x × y весьма лаконично описывает игру Белла. Каждый раз, когда уравнение удовлетворяется, Алиса и Боб получают очко. Теперь вы убедились, что революционные идеи квантового мира могут выражаться довольно простой математикой [11].

Это уравнение выражает явление нелокальности. Ведь для того, чтобы систематически побеждать в игре Белла, ящики должны сами вычислять произведение x × y. Но если выбор x доступен только на приборе Алисы, а выбор y – только на приборе Боба, то такой расчет невозможно выполнить локально. В лучшем случае они могут поставить на x × y = 0, и они будут правы в трех случаях из четырех, так что счет составит 3. Любой счет больше 3 требует «нелокального» вычисления x × y, потому что оба множителя существуют на огромном расстоянии друг от друга.

Локальные стратегии в игре Белла

Итак, Алиса и Боб сидят каждый перед своим ящиком и раз в минуту принимают независимое и свободное решение, аккуратно записывают свой выбор и результаты, отображаемые на дисплеях. Что могли бы сделать их приборы, чтобы помочь игрокам получить лучший счет?

Давайте представим себе, что расстояние между участниками исключает любую возможность влияния друг на друга. Для этого мы мысленно разнесем Алису и Боба так далеко друг от друга, чтобы любой обмен информацией стал бы невозможным. К примеру, разделим их расстоянием, которое свет преодолевает более чем за минуту, то есть более чем 18 млн км. В этом крайнем случае ни Алиса, ни ее ящик не в состоянии сообщить о сделанном выборе Бобу или его прибору. Таким образом, исключается какое бы то ни было воздействие, и нам придется искать другое объяснение.

Я начну с анализа случая, в котором в результате совпадения оба джойстика оказываются в левом положении. В этом случае Алиса и Боб получат очко лишь тогда, когда показания их приборов одинаковы. Мы уже рассматривали такую ситуацию, где покупатели в магазинах всегда получают одно и то же блюдо на ужин в случае, если выбирают магазин слева. И видели, что при исключении всех прямых воздействий единственно возможным объяснением будет то, что у магазинов нет никакого выбора: они просто предлагают то, что предписано. Применительно к ящикам в игре Белла это означает, что если джойстики передвинуты влево, то они должны выдать один и тот же результат. Эти показания предопределены для каждой отдельной минуты, но могут изменяться от минуты к минуте, точно так же как единственное меню может быть иным на каждый вечер. Так мы получаем объяснение максимальной корреляции в случае, когда оба джойстика отклонены влево. Как мы уже знаем, это объяснение второго рода – через общую локальную причину: предопределенные для каждой минуты результаты должны быть записаны в каждом приборе, то есть локально.

Но продолжим анализ. Те результаты, которые изначально записаны в ящиках, могли быть получены многократным подбрасыванием монеты. Для Алисы они выглядят совершенно произвольными, как и для Боба. Однако когда друзья встретятся и обнаружат, что всегда получали одинаковые результаты, они уже не смогут поверить, что это произошло случайно – разве что если это была нелокальная случайность. Мы вернемся к этому позже.

Вход
Поиск по сайту
Ищем:
Календарь