Книга Магия математики. Как найти x и зачем это нужно, страница 30 – Артур Бенджамин

Авторы: А Б В Г Д Е Ж З И Й К Л М Н О П Р С Т У Ф Х Ч Ш Ы Э Ю Я
Книги: А Б В Г Д Е Ж З И Й К Л М Н О П Р С Т У Ф Х Ц Ч Ш Щ Ы Э Ю Я
Бесплатная онлайн библиотека LoveRead.in

Онлайн книга «Магия математики. Как найти x и зачем это нужно»

📃 Cтраница 30

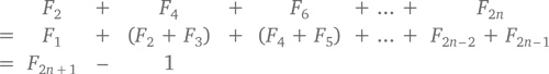
Погодите-ка. Вроде бы что-то знакомое. Мы же уже видели эти числа, когда считали прошлую сумму. Они на единицу меньше чисел Фибоначчи. По сути, каждое из них может быть трансформировано подобным образом на том основании, что каждое из чисел Фибоначчи – сумма двух предыдущих. Именно этой суммой мы можем заменить каждое число, занимающее четную позицию в последовательности, вот так:

Иллюстрация к книге — Магия математики. Как найти x и зачем это нужно [i_188.jpg]

Последняя строчка получается благодаря тому, что сумма первых 7 чисел последовательности лишь на единицу меньше девятого.

В целом, если мы будем исходить из того, что F2 = F1 = 1, и заменять каждое последующее число суммой двух предыдущих, мы увидим, что нужную нам сумму можно легко свести к сумме первых 2n – 1 чисел последовательности.

Иллюстрация к книге — Магия математики. Как найти x и зачем это нужно [i_189.jpg]

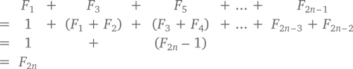
А теперь давайте посчитаем сумму первых n чисел, занимающих нечетные позиции.

Иллюстрация к книге — Магия математики. Как найти x и зачем это нужно [i_190.jpg]

Здесь все еще проще, как ни странно. Сумма n чисел, занимающих нечетные позиции в последовательности, – это просто следующее число Фибоначчи. Представить это можно следующим образом:

Иллюстрация к книге — Магия математики. Как найти x и зачем это нужно [i_191.jpg]

Отступление

К ответу можно прийти и другим способом – с помощью того, о чем мы только что говорили. Если мы вычтем первые n чисел, стоящих в последовательности на четных позициях, из первых 2n чисел, получатся первые n чисел, находящиеся на нечетных позициях:

F1 + F3 + F5 +… + F2n1

= (F1 + F2 + + F2n1) – (F2 + F4 +… + F2n2)

= (F2n + 1 – 1) – (F2n1 – 1)

= F2n

Подсчет с помощью чисел Фибоначчи

Мы заглянули лишь в замочную скважину той двери, за которой раскинулся сад самых настоящих чудес. Только растут в нем не деревья, а числовые закономерности, уходящие корнями в последовательность Фибоначчи. И вам, наверняка, не терпится узнать, для чего еще, кроме подсчета поголовья кроликов, нужны эти числа. На самом деле – много для чего. В 1150 году (задолго до того, как Леонардо Пизанский представил миру задачку про кроликов) индийский поэт Хемачандра задался очень интересным вопросом: сколькими способами можно сложить стихотворную стопу из n безударных или ударных слогов. Давайте сперва переведем эту проблему из плоскости поэзии в плоскость математики.

Вопрос: Сколькими способами можно записать число n как сумму единиц и двоек?

Ответ: Обозначим результат как fn. Вот что будем иметь при стартовых значениях n:

Иллюстрация к книге — Магия математики. Как найти x и зачем это нужно [i_192.jpg]

У нас есть один вариант, дающий в сумме 1, два варианта, дающих 2 (1 + 1 и 2), и три варианта, дающих 3 (1 + 1 + 1, 1 + 2 и 2 + 1). Повторимся: для получения нужной нам суммы доступны только единицы и двойки. При этом порядок этих цифр имеет значение: 1 + 2 и 2 + 1 суть две разные комбинации. Получить 4 можно уже пятью разными вариантами: 1 + 1 + 1 + 1, 1 + 1 + 2, 1 + 2 + 1, 2 + 1 + 1, 2 + 2. По всему выходит, что числа в правой части нашей таблицы – это числа из последовательности Фибоначчи, и так оно есть на деле.

Давайте попробуем понять, почему вдруг 5 можно получить f5 = 8 различными способами. Начинаться сложение может с 1 или 2. Сколько вариантов будет начинаться именно с 1? За первой цифрой должна следовать некая комбинация 1 и 2, которая в сумме даст 4, а по предыдущей строке мы знаем, что таких комбинаций у нас f4 = 5. Теперь так же посчитаем, сколько вариантов будет начинаться с 2. В этом случае комбинация после первой цифры должна давать нам 3. Смотрим чуть выше по таблице и видим, что f3 = 3. Значит, общее количество комбинаций 1 и 2, дающих в сумме 5, должно быть 5 + 3 = 8. Тот же алгоритм приведет нас к тому, что для 6 таких комбинаций будет 13: f5 = 8, начинающихся с 1, плюс f4 = 5, начинающихся с 2. В целом же, для суммы n их число равно fn, из которых fn–1 имеют в начале 1, а fn–2 – 2. Следовательно,

fn = fn – 1 + fn – 2

Причем все значения fn дублируют числа последовательности Фибоначчи и будут и дальше их дублировать с увеличением значения n. Причина в том, что это и есть последовательность Фибоначчи, только в несколько измененном виде – с небольшим смещением. Обратите внимание, что f1 = 1 = F2, f2 = 2 = F3, f3 = 3 = F4 и т. д. (для удобства договоримся, что f0 = F1 = 1, а f–1 = F0 = 0). Обобщая, мы можем утверждать, что при n ≥ 1

fn = Fn+1

А так как мы с вами уже знаем, что означают числа последовательности, мы с их помощью можем доказать состоятельность многих и многих других удивительных закономерностей. Возьмем, к примеру, ту из них, о которой мы говорили в конце главы 4, когда просчитывали диагонали Паскалева треугольника:

Иллюстрация к книге — Магия математики. Как найти x и зачем это нужно [i_193.jpg]

Так, восьмая диагональ дает нам

1 + 7 + 15 + 10 + 1 = 34 = F9

С точки зрения «подсчета комбинаций» это значит, что

Иллюстрация к книге — Магия математики. Как найти x и зачем это нужно [i_194.jpg]

Чтобы понять суть этой закономерности, попробуем ответить на один вопрос двумя различными способами.

Вход
Поиск по сайту
Ищем:
Календарь