Книга Наука Ренессанса. Триумфальные открытия и достижения естествознания времен Парацельса и Галилея. 1450–1630, страница 49 – Мари Боас Холл

Авторы: А Б В Г Д Е Ж З И Й К Л М Н О П Р С Т У Ф Х Ч Ш Ы Э Ю Я
Книги: А Б В Г Д Е Ж З И Й К Л М Н О П Р С Т У Ф Х Ц Ч Ш Щ Ы Э Ю Я
Бесплатная онлайн библиотека LoveRead.in

Онлайн книга «Наука Ренессанса. Триумфальные открытия и достижения естествознания времен Парацельса и Галилея. 1450–1630»

📃 Cтраница 49

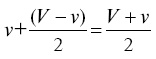
Когда этот анализ был применен к движущимся телам, появилась необходимость рассматривать скорость как униформно изменяющееся качество – Орезм и другие ученые были к этому готовы. Из сказанного выше следует, что «количество» скорости, униформно изменяющееся от v до V, такое же, как «количество» постоянной скорости, что можно выразить равенством

Иллюстрация к книге — Наука Ренессанса. Триумфальные открытия и достижения естествознания времен Парацельса и Галилея. 1450–1630 [i_017.jpg]
. Единственная проблема – значение «количества» в этом случае: для Орезма оно значило, как предполагала его геометрия, расстояние.

Однако были и другие проблемы, которые не были решены, пока за них не взялся Галилей. Формула не применялась к падающим телам, поскольку не было достаточно смелых людей, чтобы предположить: падающие тела униформно ускоряются. Математики, которые обсуждали интенсивность и ослабление таких качеств, как скорость, не относили его напрямую к импетусу, который оставался полезным объяснением почему тело движется, не касаясь чисто математических аспектов.

Теория импетуса в XVI веке была весьма туманной и не имела последовательного развития. Ее использовали и для нападок на аристотелевскую теорию, и в стремлении понять действительные проблемы движущихся тел. А молчаливая вера в то, что теория импетуса может рассматриваться в Архимедовом духе (что невозможно), неизбежно вела к путанице. Кроме того, каждый математик интересовался каким-то одним аспектом проблемы и почти никто не изучал кинематику в целом. Так, Тарталья занимался движением тел, почти исключительно с точки зрения баллистики, и его задача отнюдь не облегчалась попыткой примирить аристотелевскую физику с наблюдениями канониров. (Несмотря на то что кажется очевидным, на самом деле речь шла вовсе не о примирении традиционной и устаревшей теории с открытиями проницательной эмпирики; канониры делали не меньше ошибок, чем Аристотель: они точно знали, что пушечное ядро, вылетев из дула, некоторое время увеличивает скорость, так что дульная скорость не является максимальной.) Тарталья считал придание импетуса ответственным за вынужденное движение, но долгое время верил, как и Аристотель, что естественное и вынужденное движение не могут смешиваться. Поэтому траектория снаряда должна состоять из двух прямых линий. Впоследствии, возможно на основании наблюдений, он решил, что сила тяжести действует постоянно и всегда отклоняет снаряд в сторону от прямой, искривляя траекторию. Он сомневался, надо ли описывать ускорение падающего тела, исходя из его расстояния от начального пункта или до его конечного пункта, но так и не принял окончательного решения. Бенедетти, еще более ярый противник Аристотеля, чем Тарталья, наконец освободился от концепции «цели» и начал рассматривать только «прошлое» падающего тела, не пытаясь предсказать его «будущее» и желая только установить его скорость в любой данной точке.

Труд Галилея «О движении» (De Motu) выполнен в общих традициях Тартальи и Бенедетти. Хотя он намного превосходит их работы, но все же показывает, что даже такой проницательный ум, как Галилей, не мог передать проблему падающих тел и летящих снарядов ясно и просто, во всяком случае, пока она рассматривалась в рамках теории импетуса. Галилей написал элементарный, но исчерпывающий труд. В первых главах изложена природа тяжелого и легкого. Уже здесь он порывает с Аристотелем, отрицая существование легких тел. Легкость относительна. На самом деле все тела более или менее тяжелые. Представляется, что эту идею он вывел, размышляя о плавающих телах. И действительно, многое из этой части механики Галилея взято из гидростатики Архимеда. Вся его теория на этот счет может быть сведена к следующему утверждению: тела падают со скоростью, пропорциональной их плотности (а не их весу, как считал Аристотель), минуя плотность среды. Так что в воздухе, к примеру, тела, сделанные из одинакового материала, имеющего одинаковую плотность, будут падать с одинаковой скоростью, независимо от веса. Если есть два предмета с одинаковым весом, тот, что имеет большую плотность, будет падать быстрее. Если плотность – или плавучесть – среды будет постепенно уменьшаться, падение предметов успокоится постепенно, и в пределе (в вакууме) их скорость станет пропорциональна их плотностям. Так что, несмотря на заверения Аристотеля, движение в вакууме возможно, и предметы из разных материалов будут падать в нем с разной скоростью.

Используя вес как определяющий фактор, Галилей вывел несколько новых необычных идей относительно ускорения свободного падения. Согласно его объяснению, падающее тело должно сначала преодолеть силу, которая поместила его на место, значит, его начальное движение ускоренное. Когда достигнута характерная скорость падения, больше нет ускорения. Его и быть не может, утверждает Галилей, потому что постоянная сила порождает постоянную скорость. Поскольку тяжелым телам приходится преодолевать большую силу, они достигают характерной скорости медленнее, чем легкие. Тем самым Галилей отверг утверждение Аристотеля, что не встречающее сопротивления естественное движение будет бесконечно быстрым, как в вакууме, и открыл путь для дальнейшего рассмотрения скорости падающих тел без сопротивления среды. Одновременно Галилей был вынужден сделать вывод – истинная инерция невозможна, хотя он имел слабое представление о ее практическом существовании. После размышлений о наклонных плоскостях (на основании которых он позже пришел к заключению, что все-таки есть инерционное движение) он отметил, что, если взять идеально гладкое тело и поверхность с отсутствующей силой трения, можно сделать вывод, что тело на плоскости, параллельной линии горизонта, будет двигаться под воздействием очень малой силы, намного меньшей, чем любая данная сила [135]. Это очень близко к концепции инерции. Бенедетти сформулировал концепцию инерции более четко, но только применительно к абстрактным телам, двигающимся через геометрическое пространство.

Как Галилей сумел пройти долгий путь от физики Архимеда, Аристотеля и теории импетуса к совершенно новой динамике, неясно. Между De Motu и «Диалогом о двух главнейших системах» (1632) он очень мало писал о механике. После 1604 года в основном занимался астрономией и много времени уделял полемике. Но все же сохранились некоторые намеки на то, как он шел от одной системе к другой. Он хотел описать закон возникновения ускоренного движения при свободном падении. В письме Паоло Сарпи, датированном октябрем 1604 года, он писал:

«Я искал принцип, совершенно несомненный, который можно было принять за аксиому, чтобы описать следующее: расстояния, пройденные в естественном движении, относятся как квадраты времени, и, следовательно, расстояния, пройденные за равное время, относятся как серии нечетных чисел. А принцип следующий: тело, испытывающее естественное движение, увеличивает свою скорость в той же пропорции, что и расстояние до исходной точки».

И это самое любопытное! То, что доказал Галилей, является всем нам знакомым законом свободного падения, а именно s = 1/2 at2. Но естественный и очевидный принцип, на основании которого он вывел этот закон (мгновенная скорость пропорциональна пройденному расстоянию), совершенно неверен. То, что скорость связана с пройденным расстоянием, естественное предположение. Скорость, как полагали, была пропорциональна расстоянию (Леонардо, Бенедетти и впоследствии Декарт, который так и не сумел исправить эту ошибку). Это практически неизбежный результат попыток описать математически движение падающего тела. Ведь пока математикой считалась в основном геометрия, в первую очередь на ум приходило расстояние, а не время. Только намного позже Галилей пришел к пониманию того, что, хотя постоянная причина должна вызывать постоянное следствие, этим постоянным следствием может быть скорость изменения, а не фиксированная величина; иными словами, может быть неизменное ускорение, а не постоянная скорость. Отсюда в конечном итоге выводится закон инерции. Однако потребовалась более высокая в полном смысле этого слова степень математизации, прежде чем математическая точка зрения могла показаться по-настоящему совместимой с эмпирическим тестом, который Галилей, вероятно, уже проводил в это время, – скатыванием шаров по наклонной плоскости, как описано в «Беседах и математических доказательствах, касающихся двух новых отраслей науки» (Discourses on Two New Sciences, 1638). Тем не менее выводы 1604 года вполне подтвердили его веру в математический подход, хотя должны были еще пройти годы, прежде чем было выполнено математическое обоснование. Ранние труды Галилея показывают одновременно и силу и слабость прикладной математики XVI века в мире физических тел.

Вход
Поиск по сайту
Ищем:
Календарь