Книга Антропология пола, страница 36 – Марина Бутовская

Авторы: А Б В Г Д Е Ж З И Й К Л М Н О П Р С Т У Ф Х Ч Ш Ы Э Ю Я
Книги: А Б В Г Д Е Ж З И Й К Л М Н О П Р С Т У Ф Х Ц Ч Ш Щ Ы Э Ю Я
Бесплатная онлайн библиотека LoveRead.in

Онлайн книга «Антропология пола»

📃 Cтраница 36

Исследования показали, что женщины стараются быть привлекательными для обоих типов мужчин. Если бы они были заинтересован только в «Папочках», их стратегия поведения была бы однородной и направленной на длительные отношения, т. е. на тех мужчин, которые готовы обеспечивать высокий отцовский вклад. Женщина в зависимости от обстоятельств может предпочитать мужчин, практикующих разные репродуктивные стратегии. В частности, пренебрегая отцовским вкладом, женщины могут идти на риск и выбирать сексуально привлекательных мужчин, от которых у них будет здоровое и репродуктивно успешное потомство.

Глава 9
Мы выбираем, нас выбирают
9.1. Различия в мужской и женской избирательности

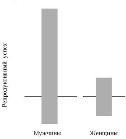
Вопрос, на который надо ответить с самого начала: чем отличается мужская и женская роли в игре под названием секс. Для животных давно сформулирован так называемый принцип Бейтмана: максимальный репродуктивный успех у самцов всегда во много раз выше, чем у самок. Среднее число потомков у мужского и женского полов, разумеется, одинаково (рис. 9.1). Как может быть иначе, если у каждого ребенка есть и отец, и мать? Но потенциально мужчина может оставить гораздо больше потомков, чем женщина, просто потому, что женщине нужно затратить гораздо больше времени и физических ресурсов, чтобы стать матерью, чем мужчине — чтобы стать отцом. Различия в возможных размерах репродуктивного успеха особо заметны в полигинных обществах, где значительная доля мужчин может быть вовсе исключена из размножения, а небольшая часть мужчин, наделенная статусом, властью и ресурсами — иметь доступ к множеству женщин.

Как следует из Википедии, максимальное количество потомков среди мужчин оставил император Марокко XVIII века Измаил Ибн Шериф по прозвищу Кровавый. Если верить летописям, у него было 867 детей (525 сыновей и 342 дочери) от множества жен и наложниц.


Иллюстрация к книге — Антропология пола [i_018.jpg]

Рис. 9.1. Принцип Бейтмана. Максимальный репродуктивный успех у мужчин много выше, чем у женщин. Горизонтальная линия обозначает среднее количество детей на одного взрослого мужчину и женщину в популяции.


Женский рекорд куда скромнее. Русская крестьянка, занесенная в книгу рекордов Гиннеса, родила «всего» 69 детей (эта женщина рожала 27 раз, причем у нее были двойни и тройни). Таким образом, с эволюционной точки зрения быть мужчиной потенциально куда более выгодно, чем женщиной: мужчина может оставить в десятки раз больше потомков и, значит, передать в новое поколение больше своих генов. Однако у медали есть оборотная сторона: там, где один мужчина имеет много жен, другие мужчины не смогут произвести ни одного ребенка, поскольку не будут допущены к репродукции. Последнее обстоятельство, возможно, определило некоторые нормы поведения в полигинном обществе. Так, шариат разрешает правоверному иметь до четырех жен. Однако даже при официальной дозволенности полигинии, в Египте, к примеру, господствует моногамия. Многоженство и дорого, и хлопотно. Один инженер-египтянин, «человек легкомысленный, женился во второй раз. Не предупредив о новом браке первую жену и не сказав второй, что уже женат, он оказался между двух огней. Он вынужден был дать развод второй жене, заалатив кроме калыма очень крупные отступные, а затем от него ушла и первая жена» (Васильев, 2000).

Получатся, что в плане оставления потомства быть мужчиной не только более выгодно, но и более рискованно. Так же обстоит дело и у многих полигинных животных, например, у морских львов — одни самцы имеют большие гаремы, другие не имеют доступа к самкам и вовсе исключены из размножения.

Многие сексуальные стратегии человека было бы невозможно понять, если не учитывать такой феномен, как родительский вклад. Термин ввел один из основоположников современных социобиологических теорий У. Д. Гамильтон (этот выдающийся ученый погиб, заразившись малярией в одной из экспедиций в экваториальную Африку). Гамильтон впервые оценил абстрактную «заботу о потомстве» математическими расчетами: сколько времени, сил, пищевых и иных ресурсов затрачивает каждый родитель на выращивание каждого потомка. В частности, относительный размер вклада мужского и женского пола в потомство позволяет предсказать, какой пол будет конкурировать за доступ к партнеру, а какой — выбирать партнера.

Это явление само по себе долго удивляло биологов. Если самцов и самок рождается поровну, почему в подавляющем большинстве случаев самцы сражаются за самок, но не наоборот? На это неравенство полов обращал внимание еще Дарвин, хотя и не предлагал объяснения. Какой бы вид мы ни взяли, легче представить себе кавалера, который бегает за дамой, и даму, которая решает, уступить или нет, чем обратную картину. Все видели, как коты дерутся из-за кошки, но видел ли кто-нибудь, чтобы две кошки подрались из-за кота?

Все получит объяснение, если мы вспомним, что значительно больший вклад в потомство у млекопитающих, как правило, вносят самки, самцы же заботятся о потомстве мало или не заботятся вовсе. А коль скоро дама берет на себя расходы по вынашиванию, рождению и выращиванию детенышей, то за ней и право выбора. Она меньше заинтересована в половой связи с партнером как таковой, а больше уделяет внимание качествам мужчины как потенциального снабженца ее и ее детей.

Задачи, стоящие перед самцом и самкой — разные. Самцу нужно, во-первых, правильно выбрать подругу, которая родит их общих детенышей наиболее сильными и сможет наилучшим образом их выкормить, во-вторых, успешно конкурировать с другими самцами за право обладания этой самкой, в-третьих, сделать так, чтобы она остановила свой взгляд именно на нем.

Самке, прежде чем выбирать самца, нужно «решить», какой партнер для нее является наиболее предпочтительным: обладатель «хороших генов» или «хороший отец». Легко догадаться, что в первом случае сильной конкуренции между самками не будет: один перспективный самец способен одарить своими генами многих желающих. Стратегия поиска «хороших генов» (shopping for genes) превалирует у самок тех видов, которые практикуют полигинию (половые связи устанавливаются между одним самцов и несколькими самками) без установления последующих связей между половыми партнерами. Например, у райских птиц, павлинов, фазанов. В случае превалирования стратегии поиска «хорошего отца» для своих детей, самки могут конкурировать друг с другом. Это касается, прежде всего, видов практикующих моногамию (многие виды обезьян: тити, каллимико, гиббоны), но может наблюдаться и у видов с полигамными отношениями, ведущими гаремный образ жизни (павианы гамадрилы, гелады, гориллы).

Насколько все это актуально для современного человека? Ведь наша эволюция породила самые разнообразные формы отношений между полами. Отцовский вклад в детей во многих человеческих обществах исключительно высок и вполне сопоставим с материнским (если учитывать, например, финансовое обеспечение всего периода детства и юности, более длинного у нашего вида, чем у других). Вместе с тем, ситуация при которой отцовский вклад минимален — достаточно распространена в современном обществе, и женщина без мужа может вполне успешно заботиться о ребенке сама. Получается, что оба пола должны быть избирательными в отношении партнеров, и оба же могут конкурировать с представителями своего пола за более привлекательного партнера.

Вход
Поиск по сайту
Ищем:
Календарь