Онлайн книга «Красота физики. Постигая устройство природы»
|
Из этого испытания ордалией [73] теория выходит триумфатором. Среди вычисленных масс есть масса частицы под названием N. Это не просто еще одна масса, потому что N обозначает нуклон, т. е протон или нейтрон. (Различие между массами протона и нейтрона слишком мало, чтобы его можно было заметить в таком масштабе.) Оказывается, эта масса очень мало зависит от масс кварков, которые в соответствующем случае достаточно малы. Следовательно: почти вся масса нуклона, а значит, и почти вся масса обычного вещества во Вселенной возникают из чистой энергии, согласно формуле: m = E/c². Масса нуклона проистекает из кинетической энергии кварков в состоянии конфайнмента и из энергии поля глюонов, которые обеспечивают конфайнмент. Мы получаем Массу без Массы, получаем ее непосредственно из чисто концептуальных, основанных на симметрии уравнений КХД. Воплощает ли мир красивые идеи? Можете поспорить, что да. И вы тоже их воплощаете. Часть 3: Слабое взаимодействие
Квантовая хромодинамика (КХД) определяет основные динамические законы, согласно которым протоны, нейтроны и другие адроны образуются из кварков и глюонов, а также описывает силы, связывающие ядра, – так называемое сильное взаимодействие. Квантовая электродинамика (КЭД) управляет мирами света, атомов и химии, как мы уже обсудили. Однако ни одна из этих двух больших теорий не включает процессы, в ходе которых протоны превращаются в нейтроны, и наоборот. И все же такие превращения происходят. Как же мы можем их учесть? Чтобы объяснить эти события, физикам пришлось ввести еще одно взаимодействие в дополнение к гравитации, электромагнитному и сильному взаимодействию. Это новое дополнение, эту четвертую фундаментальную силу называют слабым взаимодействием. Слабое взаимодействие завершает наше современное понимание физики – Главную теорию. Жизнь на Земле поддерживается за счет совсем небольшой доли энергии, излучаемой Солнцем, которая приходит к нам в виде солнечного света. Солнце получает свою энергию, превращая протоны в нейтроны и выделяя при этом энергию. Слабое взаимодействие в этом очень особом смысле делает возможной существование жизни. Основы слабого взаимодействия
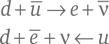
Полное описание слабого взаимодействия потребовало бы знакомства с двумя большими группами персонажей – со сбивающей с толку толпой частиц и с длинным почетным списком исследователей, а также привело бы к обсуждению подробностей, не имеющих прямого отношения к нашим главным темам. Здесь я ограничусь кратким, упрощенным описанием двух самых ярких фактов, выбранных благодаря их фундаментальному значению и с прицелом для дальнейшего использования. Наши знания подытожены на цветных вклейках RR, SS, TT и UU, которые обеспечивают основу для постижения окончательного объединения. Возможно, вам захочется обращаться к этим изображениям по мере того, как мы будем продвигаться вперед, чтобы не запутаться. Превращения кварков. Поскольку протоны и нейтроны, как мы уже обсудили, являются сложными соединениями более фундаментальных кварков и глюонов, мы должны найти и более фундаментальную причину превращений протон ↔ нейтрон. Глубинной структурой, лежащей в основе этих превращений, является следующий кварковый процесс: ![]() Так как основой нейтронов являются тройки кварков udd, в то время как основой протонов – тройки uud, то превращение кварка d → u позволяет превратить нейтрон в протон. Такое превращение сопровождается испусканием электрона e и антинейтрино ν̅. Таким образом, взаимодействие между кварками, лежащее в основе процесса, на уровне адронов реализуется как ![]() Этот медленный распад является судьбой изолированных нейтронов. (Их среднее время жизни – 15 минут, а стабильны нейтроны только тогда, когда связаны в ядрах.) Основные правила квантовой механики говорят нам, что мы также получим допустимые процессы, если заменим какую-нибудь частицу ее античастицей и перенесем ее в противоположную сторону реакции либо если мы обратим направление стрелки в реакции. Применяя эти правила к нашему процессу d + u → e + ν̅, мы находим такие возможные процессы, как ![]() и множество других. Они дают начало целому ряду форм ядерного распада (радиоактивности), дестабилизируют другие адроны и обуславливают многие превращения в космологии и астрофизике, включая синтез всех химических элементов из первоначальной смеси протонов и нейтронов. В качестве примера возможных реакций: первый из этих процессов, d + u̅ → e + ν̅, приводит непосредственно к распаду π̅-мезона (в основе которого как раз лежит кварк-антикварковая пара du̅) на электрон и антинейтрино. Спиральность и нарушение четности. Очень глубокий аспект слабого взаимодействия, названный нарушением четности, был теоретически обнаружен Ли и Янгом в 1956 г. Чтобы описать его, мы должны ввести понятие спиральности [74] частицы. Оно применяется к частицам, которые одновременно движутся и вращаются. Если объект вращается вокруг некоторой оси, мы можем присвоить этой оси направление следующим образом: представьте себе наш вращающийся объект как фигуристку на коньках. Если при вращении ее правая рука движется вперед, в сторону живота, мы выбираем направление от ее ног к голове; если же вращение приближает ее правую руку к спине, мы выбираем направление от головы к ногам. У частиц, которые нам интересны, есть небольшое собственное вращение, известное как спин. Они всегда вращаются, как неустанные фигуристки на льду. Мы можем применить к ним ту же логику и получить направление, связанное с вращением. Если наша частица движется в том же направлении, мы говорим, что частица правая. Если она движется в противоположном направлении, мы говорим, что она левая. Другими словами, спиральность частицы задает направление ее вращения относительно ее скорости. Ли и Янг предположили, что левые кварки, электроны и нейтрино (а также мюоны и τ-лептоны) участвуют в слабом взаимодействии, так же как и правые антикварки, антиэлектроны (позитроны) и антинейтрино (а также антимюоны и анти-τ-лептоны), а вот частицы с противоположной спиральностью этого не делают. Эксперименты подтвердили их предположение. |
![Иллюстрация к книге — Красота физики. Постигая устройство природы [i_042.jpg] Иллюстрация к книге — Красота физики. Постигая устройство природы [i_042.jpg]](img/book_covers/072/72954/i_042.jpg)
![Иллюстрация к книге — Красота физики. Постигая устройство природы [i_043.jpg] Иллюстрация к книге — Красота физики. Постигая устройство природы [i_043.jpg]](img/book_covers/072/72954/i_043.jpg)
![Иллюстрация к книге — Красота физики. Постигая устройство природы [i_044.jpg] Иллюстрация к книге — Красота физики. Постигая устройство природы [i_044.jpg]](img/book_covers/072/72954/i_044.jpg)