Книга Происхождение жизни. От туманности до клетки, страница 71 – Михаил Никитин

Авторы: А Б В Г Д Е Ж З И Й К Л М Н О П Р С Т У Ф Х Ч Ш Ы Э Ю Я
Книги: А Б В Г Д Е Ж З И Й К Л М Н О П Р С Т У Ф Х Ц Ч Ш Щ Ы Э Ю Я
Бесплатная онлайн библиотека LoveRead.in

Онлайн книга «Происхождение жизни. От туманности до клетки»

📃 Cтраница 71
Иллюстрация к книге — Происхождение жизни. От туманности до клетки [i_124.jpg]

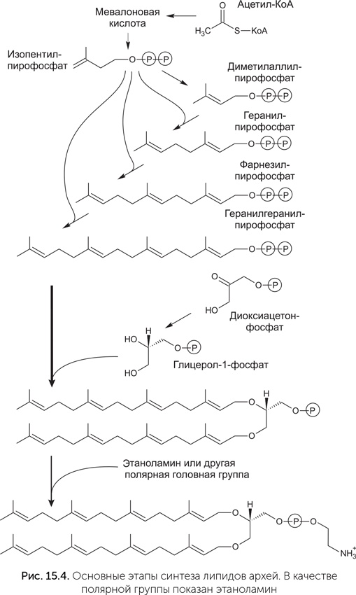
Глицерол-фосфат получается из диоксиацетон-фосфата, и затем к нему присоединяются гидрофобные хвосты. Затем к фосфатной группе прикрепляется нуклеотид цитидин-дифосфат, а на последней стадии он заменяется на полярную головную группу – холин, этаноламин, серин или инозитол.

Новая информация о мембранах LUCA появилась в 2012 году, когда несколькими группами ученых был проведен подробный анализ истории генов всех ферментов биосинтеза всех компонентов липидов бактерий, архей и эукариот (Dibrova et al., 2012; Lombard, Lopez-Garcia, Moreira, 2012).

Краткие результаты исследования приведены в таблице 15.1.

Иллюстрация к книге — Происхождение жизни. От туманности до клетки [i_125.jpg]
Иллюстрация к книге — Происхождение жизни. От туманности до клетки [i_126.jpg]

Из таблицы видно, что LUCA мог, во-первых, синтезировать терпеноспирты и, во-вторых, пришивать полярные головы к спиртам. Как синтез глицеролфосфата, так и синтез жирных кислот возникли лишь после разделения линий бактерий и архей. Следовательно, проще всего предположить, что липиды LUCA состояли из одного остатка терпенового спирта, остатка фосфата и полярной группы (серин, этаноламин или инозитол) (рис. 15.5). Подобные липиды были синтезированы искусственно. Образующиеся из них мембраны по сравнению с современными обладают высокой подвижностью, текучестью, хорошо пропускают ионы металлов и малые органические молекулы. Это позволяло древним протоклеткам поглощать готовую органику из внешней среды даже без специальных транспортных белков.

Иллюстрация к книге — Происхождение жизни. От туманности до клетки [i_127.jpg]

Дополнительным аргументом в пользу большей древности терпенов по сравнению с жирными кислотами в мембранах являются особенности путей синтеза тех и других. Длинные цепи жирных кислот синтезируются одним ферментным комплексом путем последовательного добавления двухуглеродных «кирпичиков» ацетил-КоА по одному. Для получения жирных кислот одинаковой длины (а следовательно, и прочной мембраны) нужны достаточно точные и совершенные ферменты. Терпены же синтезируются из более крупных пятиуглеродных строительных блоков изопентилпирофосфата, которые сначала собираются в десятиуглеродные молекулы геранилпирофосфата, а затем при помощи других ферментов – в более длинные спирты (фарнезол, геранилгераниол, кальдархеол, фитол и др.). Требования к точности и специфичности ферментов при такой крупноблочной сборке гораздо ниже.

Происхождение первых мембранных белков

Не все белки попадают в мембраны при помощи комплекса SRP. Бывают белки, которые синтезируются в одной клетке, а встроиться в мембрану должны в другой, как некоторые бактериальные токсины. Такие белки, чтобы встроиться в мембрану, используют механизм «выворачивания». Для этого белок не должен иметь участков, состоящих только из гидрофобных аминокислот. Неполярные аминокислоты, которые окажутся внутри мембраны, должны чередоваться с полярными примерно 2 аминокислоты через 2. Такой белок может выходить из рибосомы без помощи SRP и достаточно растворим в воде. Чередование «2 через 2» создает альфа-спиральные участки, у которых один бок полярный, а другой неполярный (обсуждалось в главе 13). В водорастворимой форме такой белок сворачивается неполярными участками внутрь, а попадая на мембрану, разворачивается по ней плоско. Затем его альфа-спирали могут опять собраться компактно, но уже гидрофобными участками наружу. Гидрофильные стороны спиралей образуют при этом пору в мембране, через которую могут проходить вода, ионы, полярные молекулы и даже белки и ДНК.

Мембранная электрохимия

Важнейшей функцией мембран является поддержание мембранного электрического потенциала, который используется клеткой для запасания и передачи энергии. Клеточная мембрана работает как конденсатор: ее наружная сторона несет положительный заряд, а внутренняя – отрицательный. Разность потенциалов между сторонами мембраны в активном состоянии клетки может достигать 150–200 милливольт. Напряжение, казалось бы, небольшое, но оно приложено к слою изолятора толщиной всего 10 нанометров, т. е. клеточная мембрана – хороший изолятор. Заряда этого конденсатора хватает на несколько секунд активной жизнедеятельности клетки.

Мембранные электрохимические процессы используются для синтеза основной части клеточного АТФ у большинства современных организмов. В большинстве случаев, в том числе в клетках человека, энергия для получения АТФ в конечном итоге получается в реакциях окисления сахаров и жиров кислородом, т. е. в клеточном дыхании. На первых этапах дыхания (в случае сахаров это гликолиз и цикл Кребса, мы обсуждали их в 11–1 главе) сахара расщепляются, все атомы углерода из их молекул переходят в углекислый газ, а все атомы водорода – на носители, главным образом НАД:

С6Н12О6 (глюкоза) + 6 Н2О + 10 НАД+ + 2 ФАД → 6 СО2 + 10 НАДН + 10 Н+ + 2 ФАДН2.

Эта часть дыхания происходит без участия мембран и кислорода. Мембраны вступают в игру на последующих этапах, а кислород – только в самом конце. Основная часть АТФ образуется благодаря работе белков так называемой «дыхательной цепи», которые находятся в мембране (рис. 15.6). Дыхательная цепь состоит из больших белковых комплексов (они называются неоригинально: комплекс I, комплекс II, III и IV) и маленьких подвижных переносчиков электронов (кофермент Q и цитохром с). Эти молекулы по цепочке передают электроны от НАДН и ФАДН2 на кислород. Основной поток электронов идет следующим путем: НАДН → комплекс I → кофермент Q → комплекс III → цитохром с → комплекс IV → кислород. Комплекс II играет вспомогательную роль, через него электроны с ФАДН2 входят в дыхательную цепь на кофермент Q.

При прохождении электронов через комплексы дыхательной цепи выделяется энергия, которая используется на откачку из клетки наружу ионов водорода – протонов (Н+). Далее протоны входят обратно в клетку через другой белок – мембранную АТФазу, которая за счет энергии протонов делает АТФ из АДФ и фосфорной кислоты.

Дыхательная цепь называется еще «электрон-транспортной цепью», потому что в ней происходит передача электронов от одних молекул к другим по цепочке.

Напряжение на мембране используется не только для синтеза АТФ, но и для транспорта нужных веществ в клетку. Поскольку на наружной стороне мембраны образуется положительный заряд, то для транспорта незаряженных молекул, таких как сахара, нужно организовать их движение в клетку совместно с протонами. Транспортный белок должен связать на наружной стороне мембраны молекулу сахара и протон, затем изогнуться или вывернуться так, чтобы сахар и протон оказались на внутренней стороне мембраны, и выпустить их внутрь клетки. Для транспорта молекул с отрицательным зарядом, таких как фосфат и нуклеотиды, вместе с каждой нужной молекулой нужно впускать в клетку несколько протонов, чтобы скомпенсировать отрицательный заряд «полезного груза».

Вход
Поиск по сайту
Ищем:
Календарь