Книга Происхождение жизни. От туманности до клетки, страница 33 – Михаил Никитин

Авторы: А Б В Г Д Е Ж З И Й К Л М Н О П Р С Т У Ф Х Ч Ш Ы Э Ю Я
Книги: А Б В Г Д Е Ж З И Й К Л М Н О П Р С Т У Ф Х Ц Ч Ш Щ Ы Э Ю Я
Бесплатная онлайн библиотека LoveRead.in

Онлайн книга «Происхождение жизни. От туманности до клетки»

📃 Cтраница 33
Иллюстрация к книге — Происхождение жизни. От туманности до клетки [i_056.jpg]

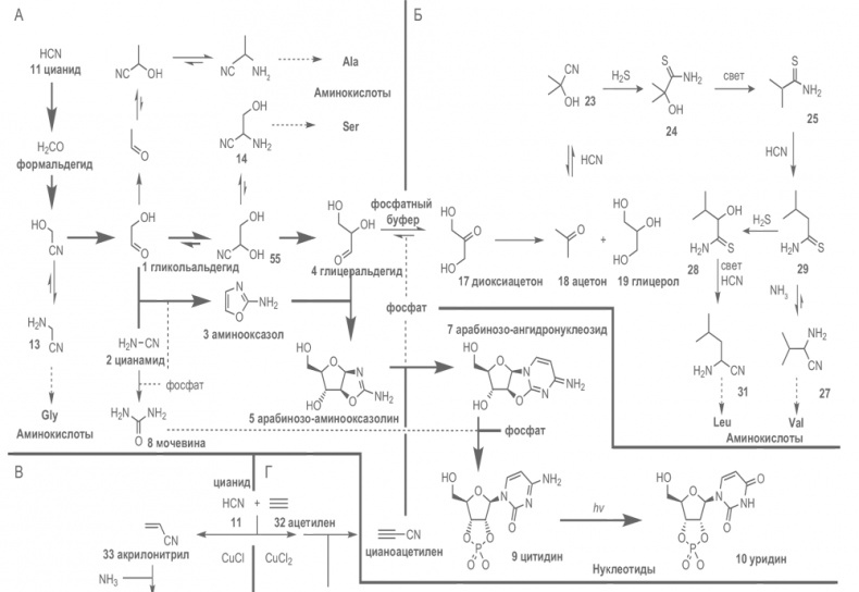
Оказалось, что по условиям эта реакция совместима с синтезом нуклеотидов из простых сахаров, цианамида и цианоацетилена. В присутствии фосфата удается получить нуклеотиды, начиная с цианида и формальдегида, а также возникает дополнительное направление побочных реакций: часть глицеральдегида превращается в диоксиацетон, который восстанавливается до ацетона. Ацетон, присоединяя дополнительные молекулы цианида, дает в итоге еще две аминокислоты, входящие в состав белков, – валин и лейцин (рис. 7.8).

Иллюстрация к книге — Происхождение жизни. От туманности до клетки [i_057.jpg]
Иллюстрация к книге — Происхождение жизни. От туманности до клетки [i_058.jpg]

Для получения концентрированных растворов цианамида и цианоацетилена ученые обратили внимание на свойства цианидных комплексов железа. При добавлении синильной кислоты к воде, содержащей соли железа и других металлов, образуются гексацианоферраты, которые при упаривании раствора выпадают в осадок: K4Fe(CN)6 (желтая кровяная соль), Na4Fe(CN)6, Ca2Fe(CN)6 и Mg2Fe(CN)6. При нагревании до 500–800 °C гексацианоферраты разлагаются, давая различные продукты: карбид железа, азот, цианиды калия и натрия. Гексацианоферрат магния при таком разложении дает нитрид магния (Mg3N2), а гексацианоферрат кальция – карбид и цианамид кальция (CaC2 и CaNCN). Если эти продукты прокаливания залить водой, то KCN и NaCN растворяются, соединения кальция разлагаются, давая цианамид NH2CN и ацетилен C2H2, а нитрид магния разлагается с выделением аммиака. При добавлении солей меди ацетилен соединяется с цианидом, давая цианоацетилен (HC ≡ C–C ≡ N) и акрилонитрил (H2C = CH – C ≡ N). На древней Земле такие процессы могли происходить, например, в окрестностях вулкана: сначала синильная кислота из дождей и вулканических газов попадает в озеро с обогащенной железом геотермальной водой, и там накапливаются гексацианоферраты. Потом повышение активности вулкана выпаривает озеро, и разные соли откладываются на его дне кольцами: менее растворимые выпадают в осадок первыми и откладываются ближе к исходным берегам, а более растворимые остаются на самом глубоком месте озерной котловины. Потом вулканическое тепло прокаливает осадки гексацианоферратов, а когда вулкан успокоится и высохшее озеро вновь зальет геотермальной водой с сероводородом, по запекшейся корке солей потекут ручьи из концентрированных растворов цианида и цианамида, в которых пойдет синтез нуклеотидов.

На основе акрилонитрила и цианоацетилена в этих условиях получаются не только нуклеотиды, но и дополнительные аминокислоты. Акрилонитрил присоединяет аммиак и превращается в бета-аминопропионитрил, который через несколько стадий дает пролин и аргинин. Цианоацетилен с помощью меди может присоединить еще молекулу цианида и превратиться в малеонитрил (№ 48). Из малеонитрила образуются аспарагиновая кислота и глутаминовая кислота. Таким образом, из четырех простых веществ (синильная кислота, сероводород, цианамид и ацетилен) получаются не только все четыре нуклеотида, но и десять из двадцати белковых аминокислот. Что еще интереснее, в этой сложной сети реакций практически не образуется никаких веществ, которые не встречались бы в современных клетках, – в отличие от аппарата Миллера и реакции Бутлерова! Значит, цианосульфидные реакции могли определить исходный набор нуклеотидов и аминокислот, из которых строились первые живые системы.

Глава 8
Происхождение хиральной чистоты

Живое вещество, в отличие от неживого, обладает хиральной чистотой: все белки состоят из левых аминокислот, а ДНК и РНК построены на правой рибозе. В опыте Миллера и других экспериментах по абиогенному синтезу левые и правые изомеры сахаров и аминокислот образуются в равных пропорциях. Если пытаться строить белки и нуклеиновые кислоты из такой смеси, то обычно получается случайное чередование левых и правых звеньев. Такие ДНК не могут свернуться в двойную спираль, а белки – в определенную устойчивую форму и потому не могут работать ферментами. Чтобы жизнь могла возникнуть, нужны какие-то механизмы, которые отделяют левые изомеры от правых. Поиск таких механизмов уводит нас очень далеко от биохимии.

Хиральная асимметрия в космосе

Изучая метеориты, ученые узнали, что хиральная асимметрия – небольшое преобладание одного изомера – возникла еще до появления планеты Земля. В богатых органикой метеоритах из группы углистых хондритов содержатся различные аминокислоты, причем левых изомеров обычно на 1–5 % больше, чем правых. Скептики объявили этот результат следствием загрязнения метеоритов земными бактериями уже после падения, а сторонники гипотезы панспермии решили, что в метеорите сохранились остатки космических микробов. Однако подробное изучение метеоритных аминокислот показало, что они возникли без участия любых организмов. Избыток левых изомеров наиболее заметен в тех метеоритных аминокислотах, которые вообще не встречаются в живых клетках, например в изовалине. «Белковые» аминокислоты из тех же метеоритов – аланин, валин, пролин – имеют почти равное содержание обоих изомеров. Изотопный состав метеоритных аминокислот точно такой же, как у сажи, карбонатов, карбидов и других углеродсодержащих веществ в том же метеорите, а живые организмы всегда обеднены тяжелым углеродом-13 по сравнению с неживой средой. Так что какие-то космические факторы могут приводить к небольшому преобладанию левых аминокислот.

Что это за факторы? Хиральность молекул проявляет себя при взаимодействии либо с другими хиральными молекулами, либо с поляризованным светом. Луи Пастер смог разделить смесь кристаллов винной кислоты, сортируя их пинцетом. В поляризованном свете кристаллы одного изомера были темными, а другого – светлыми.

Что такое поляризация света и какая она бывает? Видимый свет, наряду с радиоволнами, тепловым, ультрафиолетовым, рентгеновским и гамма-излучением, является электромагнитной волной, т. е. колебаниями электрического и магнитного поля, распространяющимися от источника на неограниченное расстояние. И электрические, и магнитные колебания направлены поперек хода луча, под прямым углом к нему и друг к другу. Обычный свет, например от Солнца, свечи или лампы накаливания, представляет собой смесь электромагнитных колебаний во всех возможных направлениях. Такой свет называется неполяризованным. Если в луче света все колебания происходят в одной плоскости, то это линейная поляризация (рис. 8.1). Свет с линейной поляризацией можно получить, пропуская неполяризованный свет через поляризационный фильтр. Кроме того, линейная поляризация может возникать при отражении света. Отраженный от горизонтальных поверхностей солнечный свет приобретает вертикальную поляризацию, поэтому поляризационные фильтры, пропускающие только свет с горизонтальной поляризацией, используются в солнцезащитных очках и фотообъективах для устранения бликов.

Вход
Поиск по сайту
Ищем:
Календарь