Книга Логика случая. О природе и происхождении биологической эволюции, страница 74 – Евгений Кунин

Авторы: А Б В Г Д Е Ж З И Й К Л М Н О П Р С Т У Ф Х Ч Ш Ы Э Ю Я
Книги: А Б В Г Д Е Ж З И Й К Л М Н О П Р С Т У Ф Х Ц Ч Ш Щ Ы Э Ю Я
Бесплатная онлайн библиотека LoveRead.in

Онлайн книга «Логика случая. О природе и происхождении биологической эволюции»

📃 Cтраница 74

Режим оптимизации генома легко демонстрируется in vitro в экспериментах по дарвиновской эволюции. Сол Спигелман и коллеги провели, пожалуй, самую известную серию таких экспериментов в 1960-х годах (Mills et al., 1973;. Spiegelman, 1971). Они поместили небольшое количество РНК бактериофага в пробирку с репликазой (фермент фага, ответственный за репликацию генома), нуклеотидами и необходимыми ионами и позволили ему реплицироваться в течение непродолжительного времени. Часть содержимого затем перенесли в другую пробирку, содержащую ту же смесь, и повторили процедуру. В этих условиях давление отбора на РНК фага требует лишь ускорения репликации, и результаты эволюции в этом режиме были весьма радикальны: после примерно 70 повторений размер РНК снизился с ≈3500 до ≈400 нуклеотидов, то есть до наименьшего размера, при котором молекула способна размножаться при помощи полимеразы.

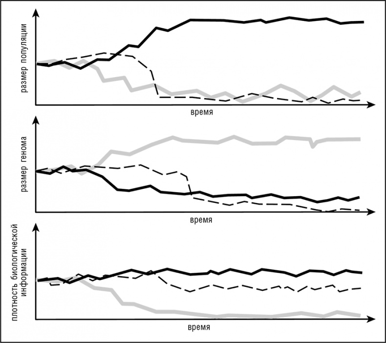
Иллюстрация к книге — Логика случая. О природе и происхождении биологической эволюции [i_077.jpg]

Рис. 8-5. Общая модель динамики эффективного размера популяции, размера генома и плотности биологической информации в соответствии с неадаптивной теорией. Каждый из графиков показывает три пути эволюции генома: сплошная линия — оптимизация генома (свободно живущие автотрофные бактерии и археи, некоторые одноклеточные эукариоты); серая линия — задействование мусорной ДНК и усложнение генома (эукариоты, особенно их многоклеточные формы); пунктирная линия — храповик деградации генома (паразиты и симбионты, особенно внутриклеточные формы).

За пределами нулевой гипотезы: ограничения популяционно-генетического взгляда на эволюцию генома

После прочтения предыдущих разделов этой главы нельзя не усомниться в обоснованности всеобъемлющего объяснения хода эволюции каким-либо одним общим фактором. Эти опасения полностью оправданы. Нужно еще раз подчеркнуть, что наиболее сильным утверждением популяционно-генетической теории эволюции генома является то, что неадаптивная эволюция, управляемая Ne, может быть подходящей нулевой гипотезой. Несмотря на свою важность, величина Neu определяет ход эволюции только в грубом приближении и на протяженных временных интервалах. Фактические эволюционные траектории определяются — и ограничиваются — конкретным биологическим контекстом. К примеру, в проведенном моими коллегами и мной широком анализе селективных ограничений в эволюции прокариот нам не удалось обнаружить отрицательной корреляции между силой очищающего отбора и размером генома, предсказываемой с прямолинейной популяционно-генетической точки зрения (Novichkov et al., 2009). Напротив, большие геномы, как правило, развиваются под более сильными ограничениями, чем малые, даже если рассматривать только свободноживущие микробы. Подразумевается, что образ жизни организма может быть критическим фактором эволюции генома, способствующим, в частности, приобретению генов через ГПГ в переменных условиях среды, более или менее независимо от Ne.

Геномика дает множество других указаний на ограниченную применимость популяционно-генетической теории эволюции генома и, в частности, концепции оптимизации генома. Ожидается, что оптимизированные геномы будут найдены в организмах, достигающих высокой численности (то есть высоких значений Ne) в более или менее постоянной среде и, соответственно, подвергающихся, согласно теории, сильному очищающему отбору. Эти геномы, по всей видимости, характеризуются не столько небольшим размером, учитывая непреодолимые ограничения, связанные с образом жизни (например, для автотрофных прокариот нижний порог для количества генов составляет примерно 1300), сколько крайней компактностью и практически полным отсутствием псевдогенов и встроенных в геном эгоистичных элементов. Все подобные элементы, по-видимому, быстро уничтожаются интенсивным очищающим отбором, настолько мощным, что даже короткие межгенные регионы сжимаются до наименьшей длины, необходимой для регуляторных функций. Наиболее распространенная среди известных организмов, морская фотосинтезирующая бактерия Pelagibacter ubique, похоже, идеально подходит под этот прогноз — у нее не обнаруживается псевдогенов или мобильных элементов, очень мало паралогов и чрезвычайно короткие межгенные участки. Однако сравнительная геномика многочисленных штаммов Prochlorococcus, группы чрезвычайно распространенных морских фотоавтотрофных цианобактерий, показывает особенности, которые представляются несовместимыми с оптимизацией — а именно геномные острова, содержащие разнообразные гены, характерные для бактериофагов (Novichkov et al., 2009).

В целом взаимодействие между клеточными формами жизни и эгоистичными мобильными элементами существенно меняет структуру генома по сравнению с предсказаниями популяционно-генетической теории. Отношения между хозяевами и эгоистичными элементами (паразитами) часто описываются как «гонка вооружений» (подробнее об этом в гл. 10). Эти взаимодействия могут быть адекватно описаны только с учетом популяционной динамики как для хозяев, так и для паразитов. Конфликт «паразит — хозяин» приводит к равновесию, которое не может быть выведено из популяционной динамики одного лишь хозяина, так что, по-видимому, даже наиболее оптимизированные геномы содержат существенное число эгоистичных элементов.

Оптимизация генома и уменьшение его размеров — не одно и то же. Бактериальные паразиты и внутриклеточные симбионты, а также единственно известный архейный паразит Nanoarchaeum equitans имеют наименьшие геномы среди прокариот, но эти геномы не оптимизированы. Вместо того эти организмы, по-видимому, претерпевают нейтральную деградацию генома. В самом деле, хотя некоторые из этих геномов чрезвычайно малы, так как паразиты и симбионты не нуждаются во многих генах, они часто содержат значительное число псевдогенов. Иногда в них также распространяются эгоистичные элементы. Хорошо изученные примеры этого типа включают Rickettsia, Wolbachia, патогенные микобактерии и некоторые лактобациллы (Frank et al., 2002; Lawrence et al., 2001). Паразиты и симбионты, как правило, не достигают больших значений Ne. Тем не менее они постепенно теряют гены, ставшие необязательными, в результате действия механизма типа храповика (крайне маловероятно, что некогда утерянный ген будет восстановлен, особенно учитывая образ жизни этих организмов), что подкрепляется предпочтением делеций в процессе мутации (Mira et al., 2001), а также снижением уровня ГПГ (см. гл. 5). Другое ключевое предсказание популяционно-генетической теории для эти организмов выполняется: как правило, они имеют высокие значения Kn/Ks, что свидетельствует о слабом давлении очищающего отбора. Это и ожидается, с учетом их небольших значений Ne. Поэтому представляется, что для некоторых образов жизни разные предсказания теории могут выполняться или не выполняться независимо друг от друга.

Дарвиновский глаз, нередуцируемая сложность, экзаптация и конструктивная нейтральная эволюция

В предыдущих разделах мы обсудили различные аспекты сложности геномов и факторы, ведущие к ее возникновению. Фенотипическая сложность, с другой стороны, была рассмотрена лишь как следствие геномных процессов. Традиционно же биологов — как в наши дни, так и во времена Дарвина и раньше — занимала именно фенотипическая сложность, то есть сложность структур и функций на уровне организмов. Подробное обсуждение этой проблемы выходит за рамки данной книги, но мы сделаем некоторые замечания по поводу основных концепций, разработанных для объяснения фенотипической сложности.

Вход
Поиск по сайту
Ищем:
Календарь