Книга Хитмейкеры. Наука популярности в эпоху развлечений, страница 17 – Дерек Томпсон

Авторы: А Б В Г Д Е Ж З И Й К Л М Н О П Р С Т У Ф Х Ч Ш Ы Э Ю Я
Книги: А Б В Г Д Е Ж З И Й К Л М Н О П Р С Т У Ф Х Ц Ч Ш Щ Ы Э Ю Я
Бесплатная онлайн библиотека LoveRead.in

Онлайн книга «Хитмейкеры. Наука популярности в эпоху развлечений»

📃 Cтраница 17

Некоторые музыкальные критики используют видео наподобие «Четырех аккордов», доказывая, что поп-музыка вторична по своей природе. Но, по-видимому, этот взгляд устарел. Во-первых, если назначение музыки состоит в том, чтобы волновать людей, а людей волнует то, что им знакомо, то творческие люди должны вдохновляться смесью оригинального и производного. Во-вторых, неверно утверждать, что все мелодии в гармонической прогрессии I–V–vi – IV звучат одинаково. Ведь Don’t Stop Believin’, No Woman, No Cry и Paparazzi, безусловно, звучат по-разному. Авторы этих песен не шли по стопам друг друга. Они больше похожи на умных картографов, каждый из которых наносит на одну и ту же большую карту новые маршруты к своему дому.

Эффект озарения наблюдается не только в искусстве и культуре. Он представляет собой также мощную силу и в научном мире.

Ученые и философы крайне склонны предпочитать идеи, которые уже пользуются широкой известностью. История науки – это долгая история о том, как хорошие идеи отвергались раз за разом до тех пор, пока с ними не знакомилось достаточное число ученых, после чего эти концепции становились научными законами. Физик-теоретик Макс Планк, один из создателей квантовой теории, сказал: «Новая научная истина торжествует не потому, что ее противники признают свою неправоту, просто ее оппоненты со временем вымирают, а подрастающее поколение знакомо с ней с самого начала».

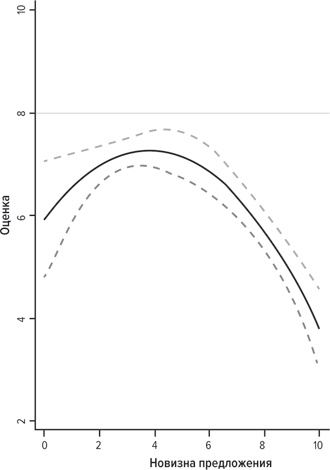
В 2014 г. команда исследователей из Гарвардского и Северо-Восточного университетов решила выяснить, какие заявки – предельно типичные или необычайно новаторские – имеют больше шансов получить финансирование от престижных организаций, таких как Национальные институты здоровья? [70] Они подготовили около 150 заявок на исследования и оценили новизну каждого. Затем пригласили 142 ученых мирового уровня для оценки каждого проекта.

Самые новаторские проекты получили худшие оценки [71]. «Никто не любит новое, – объяснял мне один из авторов исследования Карим Лакхами. – Эксперты чересчур критически относятся к проектам в своих областях знаний», – добавил он. Слишком типичные предложения воспринимались чуть лучше, но также получали низкие оценки. Выше всего оценивались проекты, которые считались умеренно новыми. Существует понятие «оптимальная новизна» идей, пояснял Лакхами. Они должны быть необычными, но приемлемыми. График оптимальной новизны выглядит следующим образом:

Иллюстрация к книге — Хитмейкеры. Наука популярности в эпоху развлечений [i_004.jpg]

Потребность в «оптимальной новизне» есть у всех, кто занимается созданием хитов. Кинопродюсеры, подобно ученым из Национальных институтов здоровья, должны оценивать сотни проектов в год, но могут принять лишь очень немногие из них. Чтобы привлечь внимание продюсеров, сценаристы часто представляют исходные идеи как оригинальное сочетание двух известных успешных проектов, используя так называемую «хай-концепт-рекламу». Например, «Это “Ромео и Джульетта” на тонущем корабле!» («Титаник») или «Это “История игрушек” с говорящими животными!» («Тайная жизнь домашних животных»). В Кремниевой долине, где роль продюсеров играют венчурные капиталисты, хай-концепт-реклама стала такой распространенной, что все чаще звучит как шутка. Компанию Airbnb, которая специализируется на аренде жилья, называли «eBay для жилых помещений». Службы такси Uber и Lyft называли «Airbnb для автомобилей». Когда Uber получила широкую известность, основатели новых стартапов стали презентовать их как «Uber для…» (вместо многоточия можно подставить что угодно).

Творческие люди часто в штыки воспринимают совет адаптировать свои идеи к требованиям рынка или нарядить их в знакомые всем одежды. Приятно думать, что гениальность идеи самоочевидна и не требует маркетинговых ухищрений. Но кем бы вы ни были, ученым, сценаристом или предпринимателем, различие между плохой рекламой для хорошей идеи и превосходной рекламой для посредственной идеи может оказаться различием между банкротством и успехом. Важно научиться оформлять новые идеи как модификации старых, смешивать легкость и трудность восприятия в правильных пропорциях – чтобы заставить вашу аудиторию разглядеть знакомое за удивительным.


В последние десятилетия самым ценным медийным брендом неизменно оказывалась ESPN. На протяжении нескольких лет эта спортивная вещательная сеть обеспечивала половину годовой прибыли Walt Disney Company – больше, чем все ее подразделение, занимающееся производством фильмов [72].

Основную часть барышей ESPN приносят хитроумная экономика спорта и современный телевизионный бизнес. «Традиционная» телеаудитория – с пультом дистанционного управления, блоком кабельного телевидения и программой телепередач – в последнее десятилетие заметно сократилась. В 2010–2015 гг. количество времени, которое молодые люди в возрасте 18–34 лет уделяли просмотру передач кабельного телевидения, снизилось примерно на 30% [73]. Чтобы усадить людей перед телевизором, по которому в прямом эфире показывается шоу (а значит, и реклама), руководители компании существенно увеличили число развлекательных передач, которые нужно смотреть сразу. В их число вошли прямые трансляции мюзиклов, различных шоу, игровых передач, концертов и, что самое важное, спортивных состязаний. Спортивные трансляции являются своего рода замко́вым камнем в арочной конструкции кабельного телевидения. Без них эта конструкция рухнет.

Каждый месяц ваша компания кабельного телевидения отсылает около половины суммы оплаченного вами счета непосредственно телевизионным сетям, передачи которых вы можете видеть в меню. Эти суммы могут составлять от нескольких центов до нескольких долларов [74]. ESPN получает шесть-семь долларов с месячной абонентской платы каждого телезрителя независимо от того, сколько времени члены семьи смотрят передачи ESPN. Этот доход эквивалентен доходу от десятков миллионов домохозяйств, покупающих в год шесть билетов в кинотеатр на тот же фильм – даже если в этих домохозяйствах не смотрят по телевизору ни одного фильма.

Но успех ESPN в последнее десятилетие объяснялся не только разумной финансовой стратегией. Он был обусловлен умелой работой над осведомленностью публики.

В 2014 г. я встретился в нью-йоркской штаб-квартире ESPN на 66-й улице с директором компании по исследовательской работе Арти Балгрином [75]. Мы сидели в отделанном деревянными панелями конференц-зале, и Арти с помощью слайдов рассказывал мне о ежегодных презентациях, подготовкой которых он занимался в компании с 1998 г. Он остановился на том, что сам назвал «денежной диаграммой». Она показывала результаты опроса мужчин по поводу их любимых кабельных сетей.

«Мужчины называли нас своим любимым каналом четырнадцать лет подряд, – сказал он. – Другим сетям нужно создавать хиты. Нам это не требуется. Люди включают ESPN, даже не зная, что мы сейчас показываем».

Нынешний мировой лидер по показу спортивных передач не всегда занимал доминирующее положение в своей отрасли. На рубеже веков сеть переживала кризис. В конце 1990-х гг. ESPN стала сдавать позиции после десятилетия быстрого роста. «Когда мы росли, мы пытались быть всем для каждого, – признался вице-президент ESPN по сбыту и маркетингу Шон Бретчес, сидя рядом с Балгрином в конференц-зале на 66-й улице. – Мы показывали ловлю окуней, чирлидинг, сальсу, драматические истории и комедийные шоу, – рассказывал он. – Мы пытались продвигать все подряд вместо того, чтобы выбрать, на чем сосредоточиться».

Вход
Поиск по сайту
Ищем:
Календарь