Книга Сердце и сосуды. Большая энциклопедия здоровья, страница 36 – Ольга Копылова

Авторы: А Б В Г Д Е Ж З И Й К Л М Н О П Р С Т У Ф Х Ч Ш Ы Э Ю Я
Книги: А Б В Г Д Е Ж З И Й К Л М Н О П Р С Т У Ф Х Ц Ч Ш Щ Ы Э Ю Я
Бесплатная онлайн библиотека LoveRead.in

Онлайн книга «Сердце и сосуды. Большая энциклопедия здоровья»

📃 Cтраница 36

Оздоровительная ходьба – наиболее доступный и безопасный вид аэробики, позволяющий в любом возрасте практически с нуля наращивать резервы кровеносной и дыхательной системы без риска кардиоперегрузки.

Амосов подчеркивал, что из всех органов и систем при физической тренировке наиболее уязвимо сердце. Именно на сердце нужно ориентироваться при увеличении нагрузок. Если у вас порок сердца, стенокардия, если вы перенесли инфаркт или у вас гипертония с высоким давлением (выше 180/100 мм рт. ст.), без консультации с врачом начинать тренировки недопустимо! Все остальные люди, по мнению Амосова, могут контролировать свое состояние самостоятельно.

Протестируйте ваше сердце

Как же определить выносливость, степень своей тренированности? Ориентироваться в этом случае принято на уровень работоспособности сердечно-сосудистой и дыхательной системы.

Тест «Пульс в покое»

Посчитайте свой пульс в покое. По пульсу в положении сидя можно приблизительно оценить состояние сердца.

Если вы мужчина и ваш пульс в покое реже 50 ударов в минуту, это очень хорошо! Если пульс в покое у вас реже 65 ударов – неплохо, если 65–75 ударов – терпимо, если же пульс в покое при любом измерении выше 75 ударов – это тревожный сигнал.

У женщин к этим цифрам надо прибавить пять.

Иллюстрация к книге — Сердце и сосуды. Большая энциклопедия здоровья [_156.jpg]

Теперь давайте пройдем несколько тестов, которые покажут, как справляется с нагрузкой ваша сердечно-сосудистая система.

Важно подчеркнуть, что тесты можно проводить только при хорошем самочувствии. Если у вас в момент испытаний высокое давление, такие тесты могут сослужить плохую службу.

Возьмите за правило контролировать свое давление перед любой нагрузкой!

Тест «60 ступеней»

Дадим сердцу небольшую нагрузку и посмотрим, как оно с ней справится. Не торопясь поднимитесь на четвертый этаж, а затем посчитайте ваш пульс.

Иллюстрация к книге — Сердце и сосуды. Большая энциклопедия здоровья [_157.jpg]

Если сразу после остановки он ниже 100 ударов в минуту – отлично, если не выше 120 ударов – хорошо, если пульс достигает 140 ударов – обратите на это внимание, если пульс выше 140 – это плохо. В случае если пульс такой высокий, дальнейших испытаний проводить нельзя.

Тест «20 приседаний»

Еще один известный способ проверки выносливости сердца. Перед началом теста измерьте ваш пульс, а затем сделайте 20 приседаний в течение 30 секунд. Засеките время завершения приседаний. А теперь отдыхайте в течение 3 минут, после чего снова измерьте пульс.

Иллюстрация к книге — Сердце и сосуды. Большая энциклопедия здоровья [_158.jpg]

Если пульс после 20 приседаний не вернулся к исходному значению за 3 минуты, вы не в лучшей физической форме. Если пульс восстановился за 1 минуту, ваше физическое состояние не требует корректировки. Но так бывает только у хорошо тренированных людей и у спортсменов. Если у вас имеются какие-либо заболевания сердечнососудистой системы, за 1 минуту пульс не восстановится. Потребуется продолжительное время, чтобы скорректировать работу сердца и сосудов. Безопасный уровень здоровья имеют лишь люди с высоким уровнем физического состояния.

Гарвардский степ-тест

Предлагаю вам также провести широко известный гарвардский степ-тест. Этот тест долгое время использовали для тестирования спортсменов, но в дальнейшем его заменили испытанием на велоэргометре.

Для проведения теста вам понадобится одна-единственная ступенька высотой 30 см для мужчин и 20 см для женщин. Изготовить такую ступень можно, например, отпилив на нужном расстоянии ножки у табурета. В течение 5 минут поднимайтесь на ступеньку поочередно обеими ногами, а потом спускайтесь с нее, опуская ноги также по очереди. У вас должно получиться примерно 30 подъемов-спусков за минуту.

Иллюстрация к книге — Сердце и сосуды. Большая энциклопедия здоровья [_159.jpg]

Окончив тест, сядьте, отдохните в течение минуты, а затем посчитайте ваш пульс в течение 30 секунд.

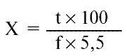
Далее по предложенной ниже формуле вам придется определить специальный индекс, указывающий уровень вашего физического состояния. Вот эта формула:

Иллюстрация к книге — Сердце и сосуды. Большая энциклопедия здоровья [_160.jpg]

где t – время всех подъемов в секундах (300),

f – пульс за 30 секунд (число ударов за 30 секунд).


По нижеприведенной таблице 1 определите уровень вашего физического состояния.


Таблица 1

Уровень физического состояния

Иллюстрация к книге — Сердце и сосуды. Большая энциклопедия здоровья [_160_2.jpg]
Полуторамильный тест Купера

Отметим, что это испытание противопоказано неподготовленным, ослабленным и пожилым людям, но если вы регулярно занимаетесь спортом и состояние вашего здоровья стабильно хорошее, попробуйте пройти 2400 метров в бодром темпе. Засеките время, за которое вы сможете пройти это расстояние.

По Куперу, мужчина в возрасте 60 лет должен уложиться при прохождении этой дистанции в 20 минут, а женщина того же возраста – в 21 минуту. И это далеко не самый лучший показатель физического состояния.

Спортсмены и физически тренированные люди преодолевают это расстояние почти в два раза быстрее!

Всем же остальным придется потрудиться, прежде чем они смогут проходить два с половиной километра хотя бы за 20–25 минут.

Регулярно занимайтесь оздоровительной ходьбой и поставьте себе сначала цель проходить три километра без особого напряжения и одышки. За какое время – для начала это не важно.

Записывайте один раз в неделю, за какое время вам удалось преодолеть указанное расстояние без одышки и с пульсом, не превышающим 120 ударов в минуту.

Через три месяца регулярных тренировок (не чаще 4–5 раз в неделю) вы увидите, насколько улучшилось ваше физическое состояние, – время прохождения дистанции значительно сократится!

Вход
Поиск по сайту
Ищем:
Календарь