Книга Вопрос жизни. Энергия, эволюция и происхождение сложности, страница 64 – Лейн Николас

Авторы: А Б В Г Д Е Ж З И Й К Л М Н О П Р С Т У Ф Х Ч Ш Ы Э Ю Я
Книги: А Б В Г Д Е Ж З И Й К Л М Н О П Р С Т У Ф Х Ц Ч Ш Щ Ы Э Ю Я
Бесплатная онлайн библиотека LoveRead.in

Онлайн книга «Вопрос жизни. Энергия, эволюция и происхождение сложности»

📃 Cтраница 64

Этот пример иллюстрирует суть однородительского наследования. За счет выбора небольшого числа митохондрий лишь от одного из двух родителей однородительское наследование увеличивает разнообразие митохондриального состава среди оплодотворенных яйцеклеток. Это разнообразие становится заметным для естественного отбора, отсеивающего плохо приспособленные клетки. Таким образом, приспособленность целой популяции со временем возрастает. Любопытно, что это дает почти те же преимущества, что и половое размножение, однако последнее увеличивает разнообразие ядерных генов, а наличие двух полов увеличивает разнообразие митохондрий между разными клетками. Все очень просто. Ну, нам так казалось.

Мы оценивали приспособленность в условиях наличия и отсутствия однородительского наследования митохондрий, но не рассматривали, что может произойти, если ген однородительского наследования возникнет в популяции клеток, в которой обе гаметы передают потомкам свои митохондрии. Будет ли этот ген распространяться и закрепляться в популяции? Если да, то мы будем наблюдать возникновение двух полов, один из которых передает митохондрии, а второй – нет. Чтобы проверить, возможно ли это, мы разработали модель, в рамках которой сравнили гипотезы коадаптации, эгоистического конфликта и простого накопления мутаций [89]. Результаты получились неожиданными и, на первый взгляд, разочаровывающими. Модель показала: ген однородительского наследования не стал бы распространяться в популяции и, уж конечно, не закрепился бы в ней.

Проблема в том, что выгода однородительского наследования зависит от числа мутантных митохондрий в популяции: чем меньше мутантов, тем меньше пользы оно приносит. Иными словами, затраты и преимущества такого наследования не фиксированы, а зависят от числа мутантных митохондрий в популяции, которое может быть снижено за несколько поколений с однородительским наследованием (рис. 29). Мы показали, что наследование этого типа действительно улучшает приспособленность популяции во всех трех моделях, но по мере того, как в популяции распространяется ген однородительского наследования, преимущества обладания этим геном падают. В конце концов он даже становится вредным: основной его недостаток в том, что клетки с этим геном могут скрещиваться с меньшей частью популяции. Популяция приходит к равновесию, когда в ней содержится всего 20 % клеток с однородительским наследованием митохондрий. При высоком уровне мутаций их доля может достигать 50 %, но особи второй половины популяции могут продолжать спариваться между собой, что дает три пола. Суть в том, что наследование митохондрий не приводит к возникновению двух полов. Однородительское наследование увеличивает разнообразие гамет, тем самым увеличивая приспособленность популяции, но этого явно недостаточно для возникновения типов спаривания.

Мне не очень-то понравилось прямое опровержение собственной идеи. В конце концов я был вынужден признать, что нет реальных условий, при которых однородительское наследование митохондрий могло бы привести к возникновению двух типов спаривания. Их появление должно быть обусловлено иными причинами [90]. Но если и так, однородительское наследование все равно существует, и если бы модель не позволяла объяснить его существование, это означало бы, что она просто неверна. Фактически удалось показать, что если по каким-либо причинам два типа спаривания уже появились, то при определенных условиях (если митохондрий много и они часто мутируют) однородительское наследование может зафиксироваться. Наше заключение казалось неопровержимым, и выводы вполне уживались с известными в природе исключениями из однородительского наследования митохондрий. К тому же оно объясняло, почему однородительское наследование митохондрий присуще почти всем многоклеточным организмам, например людям, у которых, как правило, много митохондрий и они часто мутируют.

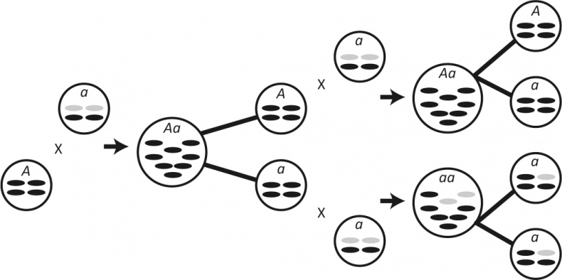
Иллюстрация к книге — Вопрос жизни. Энергия, эволюция и происхождение сложности [i_031.jpg]

Рис. 29. Повышающие приспособленность мутации “просачиваются” в популяцию при однородительском наследовании митохондрий.

А и а – гаметы, несущие в ядре аллели определенного гена. Гаметы а передают митохондрии потомкам, если сливаются с другой гаметой а. Гаметы А – мутанты с однородительским наследованием: если гамета А сливается с гаметой а, передаются лишь митохондрии гаметы А. На первом скрещивании изображено слияние с А и а с образованием зиготы, которая несет в ядре оба аллеля (Аа), но унаследованы лишь митохондрии гаметы А. Если а содержит дефектные митохондрии (показаны серым цветом), они будут вычищены однородительским наследованием. Затем зигота дает гаметы двух типов: А и а. Они сливаются с гаметами, содержащими дефектные митохондрии. Вверху гаметы А и а дают зиготу Аа с унаследованными от гаметы А митохондриями, не содержащую дефектных митохондрий. Внизу изображено слияние двух гамет а, и дефектные митохондрии передаются зиготе аа. Каждая зигота, Аа и аа, образует гаметы. Митохондрии гамет а теперь “очищены” двумя раундами скрещивания с однородительским наследованием. Это улучшает приспособленность гамет с двуродительским наследованием митохондрий, поэтому улучшение приспособленности, которую дает аллель А, как бы “просачивается” в популяцию и в конечном счете прекращает распространение других вариантов этого гена.


Это прекрасный пример, иллюстрирующий важность математических моделей в популяционной генетике: гипотезы должны проверяться любыми доступными методами. В нашем случае формальная модель показала, что однородительское наследование митохондрий не может фиксироваться в популяции, если прежде в ней уже не было двух типов спаривания. Мы доказали это, насколько смогли, строго. Но еще не все потеряно. Разница между типами спаривания и “истинными” полами (когда мужские и женские особи явно различаются) довольно туманна. У многих растений и водорослей есть и пол, и типы спаривания. Быть может, стоило рассматривать понятие “пол” в другом ключе и сосредоточиться на возникновении “истинных” полов, а не типов спаривания, которые внешне могут выглядеть одинаково? Возможно, наши определения того, что такое пол, были неверны и нам следовало рассматривать эволюцию истинных полов, а не двух якобы идентичных типов спаривания. Может ли однородительское наследование быть причиной различий между истинными полами у животных и растений? Если да, то типы спаривания могли возникнуть по каким-либо иным причинам, а развитие настоящих полов могло быть вызвано как раз наследованием митохондрий. Честно признаться, эта идея выглядела малообещающей, но к ней стоило присмотреться. Мы совсем не ожидали, что придем к поразительному ответу, причем именно благодаря тому, что отправились мы не от стандартной гипотезы об универсальности однородительского наследования, а от неутешительных выводов нашей предыдущей работы.

Вход
Поиск по сайту
Ищем:
Календарь