Книга Красота в квадрате. Как цифры отражают жизнь и жизнь отражает цифры, страница 91 – Алекс Беллос

Авторы: А Б В Г Д Е Ж З И Й К Л М Н О П Р С Т У Ф Х Ч Ш Ы Э Ю Я
Книги: А Б В Г Д Е Ж З И Й К Л М Н О П Р С Т У Ф Х Ц Ч Ш Щ Ы Э Ю Я
Бесплатная онлайн библиотека LoveRead.in

Онлайн книга «Красота в квадрате. Как цифры отражают жизнь и жизнь отражает цифры»

📃 Cтраница 91

Простое число (prime number): целое число больше 1, которое делится только на себя и на 1 (например, 2, 3, 5, 7, 11, 13, 17…).

Прямой угол (right angle): четверть оборота, или 90 градусов.

Прямоугольная система координат (cartesian coordinates): схема координатной плоскости, в которой каждая точка определяется ее положением по горизонтали и вертикали. Как правило, прямоугольная система координат изображается в виде двух взаимно перпендикулярных осей, пересекающихся в точке (0, 0).

Равносторонний треугольник (equilateral triangle): треугольник с тремя равными сторонами.

Рулетта (roulette): кривая, которую образует точка на катящемся колесе.

Ряд Фурье (Fourier series): сумма (возможно, бесконечного количества) синусоид, сложение которых образует рассматриваемую волну.

Самоподобие (self-similarity): свойство объекта, в точности или приближенно совпадающего с частью самого себя.

Синус (sine): тригонометрическая функция, выражающая отношение противоположной стороны прямоугольного треугольника к гипотенузе.

Синусоида (sinusoid): кривая, имеющая форму синусоидальной волны.

Синусоидальная волна (sine wave): кривая, образованная посредством вертикального смещения точки, вращающейся по кругу.

Степенная зависимость (power law): две переменные находятся в степенной зависимости, если одна из них прямо или обратно пропорциональна степени другой.

Тангенс (tangent): тригонометрическая функция, выражающая отношение противоположной стороны прямоугольного треугольника к прилежащей стороне.

Теорема (theotrem): утверждение, которое не является самоочевидным, но доказано методом дедукции.

Теория множеств (set theory): раздел математики, который изучает свойства множеств и их способность стать основой для арифметики.

Триангуляция (triangulation): измерение расстояний с помощью тригонометрических функций.

Тригонометрия (trigonometry): раздел математики, изучающий тригонометрические функции и их использование.

Факториал (factorial): факториал целого числа — это произведение всех целых чисел от 1 до этого числа включительно. Например, факториал числа 5, который записывается как 5! равен 5 × 4 × 3 × 2 × 1 = 120.

Фокус (focus): основная точка, которая используется при построении конических сечений.

Форма (shape): внешняя геометрическая конфигурация объекта, не зависящая от его размера и положения в пространстве.

Фрактал (fractal): объект, который обладает свойством самоподобия.

Хорда (chord): отрезок, соединяющий две точки окружности.

Числовая ось (number line): геометрическая интерпретация чисел, расположенных по порядку на непрерывной прямой, простирающейся до минус бесконечности слева и до плюс бесконечности справа от ноля, находящегося посредине.

Целое число (whole number): в контексте данной книги — любое положительное число 1, 2, 3…

Циклоида (cycloid): траектория движения точки, находящейся на ободе колеса, которое перемещается по прямой.

Экспонента (exponent): см. показатель степени.

Экспоненциальный рост/спад (exponential growth/decay): возрастание или убывание величины, при котором скорость роста (спада) пропорциональна значению самой величины.

Эксцентриситет (eccentricity): степень отклонения конического сечения от окружности.

Приложение 1

Логарифм можно определить следующим образом.

Если a = 10b, то логарифм числа a равен b и записывается в таком виде [186]:

log а = b

Другими словами, если число а выражено в виде степени 10, то логарифм числа а — это показатель степени. Вот некоторые простые значения логарифмов:

log 10 = 1, поскольку 10 = 101

log 100 = 2, поскольку 100 = 102

log 1000 = 3, поскольку 1000 = 103

А вот таблица логарифмов чисел от 1 до 10:

log 1 = 0

log 2 = 0,301

log 3 = 0,477

log 4 = 0,602

log 5 = 0,699

log 6 = 0,778

log 7 = 0,845

log 8 = 0,903

log 9 = 0,954

log 10 = 1

Если мы отметим логарифмы чисел от 1 до 10 на числовой оси, разместив их в соответствии с их значениями, то получим логарифмическую шкалу от 0 до 1. Чем дальше по оси находятся логарифмы, тем плотнее они расположены.

Иллюстрация к книге — Красота в квадрате. Как цифры отражают жизнь и жизнь отражает цифры [i_363.jpg]

На этой шкале я также отметил расстояние между логарифмами. Вы узнаете в них проценты из закона Бенфорда. Иными словами, если я случайным образом выберу на этой шкале точку от 0 до 1, вероятность того, что она попадет в интервал от log 1 до log 2, составляет 30,1 процента, в интервал от log 2 до log 3 — 17,6 процента и т. д.

Точно так же длина первого интервала равна log 2 — log 1, второго log 3 — log 2, а интервала d — log (d + 1) — log d. Это означает, что эти вероятности можно более точно выразить как log (d + 1) — log d для каждого значения d.

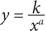
Приложение 2

Здесь я покажу вам, что в двойном логарифмическом масштабе любое уравнение вида

Иллюстрация к книге — Красота в квадрате. Как цифры отражают жизнь и жизнь отражает цифры [i_364.jpg]
всегда представлено прямой линией с наклоном влево, и наоборот: в двойном логарифмическом масштабе прямую с наклоном влево всегда можно описать представленным выше уравнением. Если на координатных осях откладываются логарифмы ранга и частотности, то прямая с наклоном влево отображает закон Ципфа:

Иллюстрация к книге — Красота в квадрате. Как цифры отражают жизнь и жизнь отражает цифры [i_365.jpg]
Вход
Поиск по сайту
Ищем:
Календарь