Книга Красота в квадрате. Как цифры отражают жизнь и жизнь отражает цифры, страница 71 – Алекс Беллос

Авторы: А Б В Г Д Е Ж З И Й К Л М Н О П Р С Т У Ф Х Ч Ш Ы Э Ю Я
Книги: А Б В Г Д Е Ж З И Й К Л М Н О П Р С Т У Ф Х Ц Ч Ш Щ Ы Э Ю Я
Бесплатная онлайн библиотека LoveRead.in

Онлайн книга «Красота в квадрате. Как цифры отражают жизнь и жизнь отражает цифры»

📃 Cтраница 71

Первое уравнение такого типа описывало поведение скрипичной струны в момент ее поперечного колебания — задача, которая десятилетиями не давала ученым покоя. Это уравнение открыл в 1746 году Жан Лерон Д’Аламбер, известный математик своего времени. Д’Аламбера, появившегося на свет в результате непродолжительной связи артиллерийского генерала с бывшей монахиней, сразу же после рождения подбросили на ступеньки расположенной рядом с собором Парижской Богоматери Круглой церкви святого Иоанна в Париже (Saint Jean Le Rond), в честь которой ему и дали имя Жан Лерон. Воспитанный в семье стекольщика, Д’Аламбер смог наперекор всему стать постоянным секретарем Французской академии. Он был не только серьезным математиком, но и ярым защитником ценностей эпохи Просвещения, кроме того, общественным деятелем, желанным гостем аристократических салонов и одним из редакторов «Энциклопедии», для которой написал вступление и более тысячи статей.

Д’Аламбер был прообразом французского ученого-интеллектуала, роль которого в наше время с удовольствием играет Седрик Виллани.

Во второй раз я встретился с Виллани в Париже. С 2009 года он возглавляет Институт Анри Пуанкаре — элитный французский математический институт, расположенный среди университетских зданий в Латинском квартале Парижа. В кабинете ученого царит уютный беспорядок из книг, бумаг, кофейных чашек, наград, головоломок и геометрических фигур. Внешность Виллани совсем не изменилась со времени нашей первой встречи на Международном конгрессе математиков два года тому назад: бордовый галстук, синий костюм-тройка и металлический паук, сверкающий на отвороте пиджака. Седрик сказал, что этот образ сформировался еще тогда, когда ему было двадцать с лишним лет. Сначала он носил рубашки с широкими рукавами, затем с кружевами, после чего пришел черед цилиндра… «Это был своего рода научный эксперимент, в ходе которого постепенно возникло ощущение “это и есть я”». А что насчет паука? Виллани нравится его неоднозначность. «Одни считают, что паук — это материнский символ. По мнению других, паутина — это символ Вселенной, или паук — великий архитектор мироздания, своего рода способ персонифицировать Бога. Пауки не оставляют людей безразличными. Реакция наступает мгновенно». «Паук — это архетип, имеющий множество разных интерпретаций, — подумал я, — подобно тому как математика — абстрактный язык, имеющий множество областей применения».

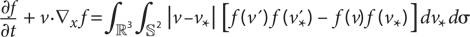
Дифференциальные уравнения с частными производными — и есть область научных интересов Виллани. Он утверждает, что, хотя этим уравнениям уже почти триста лет, их «по-прежнему понимают достаточно плохо. Создается впечатление, что за каждым уравнением с частными производными стоит своя теория. Существует множество подразделов таких уравнений при совсем небольшой общей базе и полном отсутствии общей классификации. Многие пытались их классифицировать, но даже лучшие специалисты потерпели неудачу». Дифференциальное уравнение с частными производными, которому Виллани посвящает большую часть своего времени, — это уравнение Больцмана, ставшее темой его докторской диссертации, а впоследствии — частью той работы, за которую он получил Филдсовскую премию. Виллани и сейчас относится к этому уравнению с любовью и нежностью. «Это как первая любовь, — признаётся он. — Это первое уравнение, на которое смотришь и думаешь, что оно самое прекрасное в мире». Полюбуйтесь им еще раз:

Иллюстрация к книге — Красота в квадрате. Как цифры отражают жизнь и жизнь отражает цифры [i_315.jpg]

Уравнение Больцмана относится к области статистической механики — раздела математической физики, изучающего зависимость между микроскопическим поведением отдельных молекул и макроскопическими свойствами, такими как температура и давление. Это уравнение описывает, как рассеивается облако газа, посредством анализа вероятности нахождения его молекул в определенной точке, при определенной скорости и в определенное время [149]. Данная модель исходит из предположения о том, что частицы газа движутся по законам Ньютона, но в случайных направлениях, и описывает последствия их столкновений посредством теории вероятностей. Виллани показал на левую часть уравнения: «Это частицы, двигающиеся по прямой». Затем на правую часть: «А здесь описаны их столкновения. Бац! Бац!» Он несколько раз стукнул кулаками друг о друга. «В уравнениях такого типа часто бывают напряженные отношения между их разными членами. Уравнение Больцмана — идеальный случай для изучения, поскольку разные его члены описывают разные феномены и обитают в совершенно разных математических мирах».

Если бы вы сняли на видео, как одна частица газа отталкивается от другой, и показали его кому-то из своих друзей, он не смог бы определить, в прямом или обратном порядке вы прокручиваете отснятый материал, так как законы Ньютона обратимы во времени. Но если вы снимете газ, распространяющийся из лабораторного стакана в окружающую среду, зритель сразу же сможет сказать, в каком направлении проигрывается видео, поскольку газ не способен снова втянуться в стакан. Больцман нашел математическое обоснование кажущегося противоречия между макро- и микроскопическим поведением частиц газа посредством введения новой концепции — концепции энтропии. Энтропия — это мера хаоса, в более формальном смысле — количество вероятных позиций и скоростей частиц в любой момент времени. Больцман доказал, что энтропия всегда увеличивается. Виллани открыл, с какой скоростью она увеличивается, прежде чем достичь совершенно неупорядоченного состояния.

Уравнение Больцмана имеет ряд достаточно простых областей применения, таких как самолетостроение, где оно помогает определить, что происходит с самолетами, когда они пролетают сквозь скопления газов. Именно практическая полезность уравнения Больцмана заинтересовала Виллани, когда он приступил к написанию докторской диссертации. Но по мере углубления в изучение уравнения Больцмана его красота все больше пленяла Виллани. Он сравнивает уравнение со скульптурой Микеланджело: «Небезупречное, утонченное и элегантное, но очень человечное, многое испытавшее, пронизанное силой энергии мироздания. В этом уравнении можно услышать рев частиц, наполненных яростью». Виллани добавил, что предпочитает потратить годы на анализ хорошо известных уравнений, пытаясь найти в них нечто новое, чем изобретать новые концепции. «Именно это мне нравится, и именно это — одна из составляющих общей позиции, которая гласит: “Послушайте! Физика высоких энергий, бозон Хиггса, теория струн или что-то в этом роде — все это очень увлекательно, но не забывайте, что мы до сих пор не до конца понимаем ньютоновскую механику”. Остается еще много, очень много нерешенных задач». Он показал мне дифференциальное уравнение с частными производными в какой-то книге. «У этого уравнения есть гладкие решения? Никто, черт возьми, не знает этого!» Он пожал плечами и нахмурил лоб.

Вход
Поиск по сайту
Ищем:
Календарь