Онлайн книга «Красота в квадрате. Как цифры отражают жизнь и жизнь отражает цифры»
|
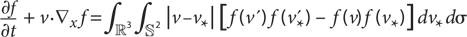
Однако краткое описание работы Виллани оказалось более доступным для понимания, чем остальные. Он был удостоен Филдсовской премии «за доказательство нелинейности затухания Ландау и сходимости к равновесию в уравнении Больцмана». Здесь, по крайней мере, было нечто понятное даже для неспециалиста в данной области. Уравнение Больцмана, которое австрийский физик Людвиг Больцман вывел в 1872 году, описывает поведение частиц газа и является одним из самых известных в классической физике. Как оказалось, Виллани — не только ценитель галстуков XIX столетия, но и поклонник ученого мирового уровня тех времен. Уравнение Больцмана, известное под названием «дифференциальное уравнение с частными производными», выглядит так: ![]() Если вы изучали исчисление в школе, вы увидите в этой формуле ряд знакомых символов, особенно таких, как вытянутый символ ∫ или изогнутый символ ∂. Если вы не изучали этот предмет, не волнуйтесь — немного позже я вам объясню, что значат все эти символы. Исчисление — это важнейшее интеллектуальное достижение эпохи Просвещения, и присуждение Филдсовской премии Седрику Виллани свидетельствует о том, что в данной области до сих пор осуществляются передовые математические исследования. Мы с вами еще вернемся к этому вычурно одетому французскому математику и его уравнению, но для того, чтобы вооружиться необходимыми концептуальными и терминологическими инструментами, нам понадобится сначала перенестись с юга Индии на Сицилию, примерно в III столетие до нашей эры. На лицевой стороне медали Филдса находится портрет бородатого Архимеда, заслужившего репутацию самого выдающегося математика Античности. Однако Архимеда чаще всего вспоминают в связи с его вкладом в физику. Например, когда он выскочил из ванной с возгласом «Эврика!», это было не математическое открытие, а прорыв в области гидростатики, получивший название «закон выталкивающей силы», или «закон Архимеда». К числу наиболее известных изобретений Архимеда относится гигантский крюк, с помощью которого древние греки топили корабли римлян, пытавшихся захватить его родной город Сиракузы, а также винт, вращая который вручную можно было поднимать воду. Историк Плутарх писал, что сам Архимед считал сооружение машин «низменным и грубым» и был «околдован геометрией». Когда Архимед принимал ванну и его не одолевали мысли о физике, «он продолжал чертить геометрические фигуры на золе очага и даже на собственном теле, натертом маслом и благовониями, проводил пальцем какие-то линии, отдавшись во власть великого наслаждения, которое испытывал от изучения геометрии» [141]. Изначальная задача геометрии состояла в расчете площади. (Термин «геометрия», или «измерение земли», впервые использовал историк Геродот, описывая метод, который изобрели египетские сборщики налогов для расчета площади земель, затопленных ежегодными разливами Нила.) Как мы знаем, площадь прямоугольника равна произведению его ширины на высоту; исходя из этого, можно сделать вывод, что площадь треугольника равна половине произведения его основания на высоту. Древние греки нашли различные методы вычисления площади более сложных фигур. Среди них самым значительным достижением была «квадратура параболы» Архимеда, или метод вычисления площади фигуры, ограниченной параболой и прямой. Как показано на рисунке ниже, Архимед сначала нарисовал большой треугольник, вписанный в параболу, а затем на его сторонах построил новые треугольники [142]. На каждой из двух сторон треугольников меньшего размера он построил еще меньшие треугольники, и так далее, придерживаясь условия, что три вершины каждого треугольника должны находиться на параболе. Чем больше треугольников рисовал Архимед, тем сильнее их совокупная площадь приближалась к площади параболического сегмента. Если бы этот процесс продолжался и дальше, бесконечное количество треугольников полностью покрыло бы требуемую площадь. ![]() Квадратура параболы Далее Архимед доказал, что если площадь большого треугольника равна Т, то площадь каждого из двух треугольников меньшего размера составляет
![]() или ![]() или ![]() В заключение Архимед доказал, что сумма этого ряда равна
|
![Иллюстрация к книге — Красота в квадрате. Как цифры отражают жизнь и жизнь отражает цифры [i_285.jpg] Иллюстрация к книге — Красота в квадрате. Как цифры отражают жизнь и жизнь отражает цифры [i_285.jpg]](img/book_covers/071/71253/i_285.jpg)
![Иллюстрация к книге — Красота в квадрате. Как цифры отражают жизнь и жизнь отражает цифры [i_286.jpg] Иллюстрация к книге — Красота в квадрате. Как цифры отражают жизнь и жизнь отражает цифры [i_286.jpg]](img/book_covers/071/71253/i_286.jpg)
![Иллюстрация к книге — Красота в квадрате. Как цифры отражают жизнь и жизнь отражает цифры [i_287.jpg] Иллюстрация к книге — Красота в квадрате. Как цифры отражают жизнь и жизнь отражает цифры [i_287.jpg]](img/book_covers/071/71253/i_287.jpg)
![Иллюстрация к книге — Красота в квадрате. Как цифры отражают жизнь и жизнь отражает цифры [i_288.jpg] Иллюстрация к книге — Красота в квадрате. Как цифры отражают жизнь и жизнь отражает цифры [i_288.jpg]](img/book_covers/071/71253/i_288.jpg)
![Иллюстрация к книге — Красота в квадрате. Как цифры отражают жизнь и жизнь отражает цифры [i_289.jpg] Иллюстрация к книге — Красота в квадрате. Как цифры отражают жизнь и жизнь отражает цифры [i_289.jpg]](img/book_covers/071/71253/i_289.jpg)
![Иллюстрация к книге — Красота в квадрате. Как цифры отражают жизнь и жизнь отражает цифры [i_290.jpg] Иллюстрация к книге — Красота в квадрате. Как цифры отражают жизнь и жизнь отражает цифры [i_290.jpg]](img/book_covers/071/71253/i_290.jpg)
![Иллюстрация к книге — Красота в квадрате. Как цифры отражают жизнь и жизнь отражает цифры [i_291.jpg] Иллюстрация к книге — Красота в квадрате. Как цифры отражают жизнь и жизнь отражает цифры [i_291.jpg]](img/book_covers/071/71253/i_291.jpg)
![Иллюстрация к книге — Красота в квадрате. Как цифры отражают жизнь и жизнь отражает цифры [i_292.jpg] Иллюстрация к книге — Красота в квадрате. Как цифры отражают жизнь и жизнь отражает цифры [i_292.jpg]](img/book_covers/071/71253/i_292.jpg)
![Иллюстрация к книге — Красота в квадрате. Как цифры отражают жизнь и жизнь отражает цифры [i_293.jpg] Иллюстрация к книге — Красота в квадрате. Как цифры отражают жизнь и жизнь отражает цифры [i_293.jpg]](img/book_covers/071/71253/i_293.jpg)