Онлайн книга «Красота в квадрате. Как цифры отражают жизнь и жизнь отражает цифры»
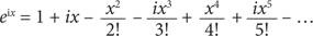
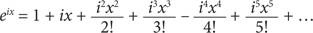
![]() Если x равно 1, то первый ряд дает нам формулу расчета экспоненциальной константы е, о которой шла речь в предыдущей главе. (Помните, что факториал числа n, записываемый как n! означает, что это число умножается на все числа от 1 до n.) Следующие два бесконечных ряда — это синус и косинус x, тригонометрические функции, которые тоже должны быть знакомы вам по предыдущим главам. Однако, для того чтобы ряды синуса и косинуса пригодились нам здесь, необходимо использовать специальную единицу измерения — радиан, а не традиционную единицу — градус. Полный круг, или 360 градусов, — это 2π радиан, а половина круга, или 180 градусов, — π радиан. (Радиан называется именно так, поскольку 1 радиан — это угол в центре круга, образующий дугу окружности, длина которой равна ее радиусу, как показано ниже. Радиан — более естественный способ измерения угла, чем градусная система, известная со времен Вавилона. Начиная с XVIII века математики отдают предпочтение измерению углов в радианах [133].) ![]() ![]() Радиан На интуитивном уровне невозможно понять, что означает возвести число (например, число е) в мнимую степень. Однако Эйлер понял, что это можно сделать алгебраическим способом, воспользовавшись представленным выше бесконечным рядом для ex. Например, если мы подставим ix вместо x, получится следующее уравнение: ![]() Убрав скобки, получим такое уравнение: ![]() Мы можем еще больше упростить это уравнение, поскольку по определению i2 = −1: i3 = i × i × i = i2 × i = –1 × i = —i, i4 = i2 × i2 = –1 × –1 = 1, i5 = i4 × i = 1 × i = i, i6 = –1 И так далее. Другими словами, вместо членов ряда i2, i4, i6, i8 … мы можем подставить значения −1, 1, −1, 1 …, а вместо i3, i5, i7, i9 … — −i, i, −i, i … Следовательно, уравнение можно записать так: ![]() Закономерность легче увидеть, если выделить мнимые члены жирным шрифтом: ![]() Этот ряд можно преобразовать так: ![]() Но ведь это в точности те же члены, что и в представленных выше уравнениях для косинуса и синуса x: eix = cos x + i sin x Возведение числа е в мнимую степень позволило Эйлеру найти тригонометрические функции. Другими словами, он взял две знакомые, но не связанные друг с другом концепции, перемешал их — и как по мановению волшебной палочки появилось нечто неожиданное: две еще более привычные концепции из области, которая считалась совершенно не имеющей отношения к данной ситуации. Занимаясь математикой, порой испытываешь ощущение, будто это алхимия. В завершение Эйлер сказал: пусть x = π, что в радианной мере эквивалентно 180 градусам. Поскольку cos π = cos 180° = –1, а sin π = sin 180° = 0, мнимый член ряда исчезает. eiπ = cos π + i sin π Это сокращается до следующей формулы: eiπ = –1 Или: eiπ + 1 = 0 По всей вероятности, именно благодаря революционной работе Эйлера с мнимыми числами они оказались в центре математики, где с тех самых пор и остаются. Но, несмотря на это, для Эйлера и его современников мнимые числа по-прежнему были экзотическими, непостижимыми чудовищами. Само их название, которое подразумевало, что они не существуют, являлось серьезным препятствием, мешавшим их полному принятию. В начале XVIII века Готфрид Лейбниц сказал, что √–1 — это «почти что амфибия между бытием и небытием». Возможно, математика развивалась бы быстрее, если бы вместо термина «мнимые числа» в словарь вошло название «числа-амфибии». Мы с вами уже знаем, что математики полностью освоились с концепцией отрицательных чисел лишь тогда, когда смогли увидеть их на бумаге в виде точек, отображенных на числовой оси. То же самое произошло и с мнимыми числами. Философские опасения по поводу комплексных чисел исчезли только после изобретения простого способа визуальной интерпретации этой концепции. Представленная на рисунке ниже комплексная плоскость образована вертикальной числовой осью, на которой откладываются мнимые числа, и горизонтальной числовой осью, на которой откладываются действительные числа (как оси х и у в обычной системе координат). Комплексное число a + bi — это точка на комплексной плоскости с координатами (a, b) — a по горизонтальной оси, b — по вертикальной. На рисунке я отметил число 3 + 2i, другими словами — точку с координатами (3, 2). Комплексная плоскость — достаточно простая идея, но тем не менее все три ее автора независимо друг от друга работали где-то на периферии сообщества самых влиятельных математиков того времени: Каспер Вессель, землемер из Копенгагена; Жан Робер Арган, счетовод из Парижа, и аббат Эдриан-Кантен Буэ, французский священник, который сбежал от революции и поселился в городе Бат. Тот факт, что ни один из великих математиков той эпохи не предложил идею комплексной плоскости, говорит об их зависимости от доктрины о том, что мнимые числа существуют только в воображении. |
![Иллюстрация к книге — Красота в квадрате. Как цифры отражают жизнь и жизнь отражает цифры [i_255.jpg] Иллюстрация к книге — Красота в квадрате. Как цифры отражают жизнь и жизнь отражает цифры [i_255.jpg]](img/book_covers/071/71253/i_255.jpg)
![Иллюстрация к книге — Красота в квадрате. Как цифры отражают жизнь и жизнь отражает цифры [i_256.jpg] Иллюстрация к книге — Красота в квадрате. Как цифры отражают жизнь и жизнь отражает цифры [i_256.jpg]](img/book_covers/071/71253/i_256.jpg)
![Иллюстрация к книге — Красота в квадрате. Как цифры отражают жизнь и жизнь отражает цифры [i_257.jpg] Иллюстрация к книге — Красота в квадрате. Как цифры отражают жизнь и жизнь отражает цифры [i_257.jpg]](img/book_covers/071/71253/i_257.jpg)
![Иллюстрация к книге — Красота в квадрате. Как цифры отражают жизнь и жизнь отражает цифры [i_258.jpg] Иллюстрация к книге — Красота в квадрате. Как цифры отражают жизнь и жизнь отражает цифры [i_258.jpg]](img/book_covers/071/71253/i_258.jpg)
![Иллюстрация к книге — Красота в квадрате. Как цифры отражают жизнь и жизнь отражает цифры [i_259.jpg] Иллюстрация к книге — Красота в квадрате. Как цифры отражают жизнь и жизнь отражает цифры [i_259.jpg]](img/book_covers/071/71253/i_259.jpg)
![Иллюстрация к книге — Красота в квадрате. Как цифры отражают жизнь и жизнь отражает цифры [i_260.jpg] Иллюстрация к книге — Красота в квадрате. Как цифры отражают жизнь и жизнь отражает цифры [i_260.jpg]](img/book_covers/071/71253/i_260.jpg)
![Иллюстрация к книге — Красота в квадрате. Как цифры отражают жизнь и жизнь отражает цифры [i_261.jpg] Иллюстрация к книге — Красота в квадрате. Как цифры отражают жизнь и жизнь отражает цифры [i_261.jpg]](img/book_covers/071/71253/i_261.jpg)
![Иллюстрация к книге — Красота в квадрате. Как цифры отражают жизнь и жизнь отражает цифры [i_262.jpg] Иллюстрация к книге — Красота в квадрате. Как цифры отражают жизнь и жизнь отражает цифры [i_262.jpg]](img/book_covers/071/71253/i_262.jpg)