Онлайн книга «Красота в квадрате. Как цифры отражают жизнь и жизнь отражает цифры»
|
Как оказалось, у кривой, сущность которой так страстно стремился определить Якоб Бернулли, есть тайный ингредиент — e, число, открытое Якобом в другом контексте. В современной системе обозначений уравнение цепной кривой выглядит так: ![]() где a — это константа, от которой зависит масштаб кривой. Как показано на рисунке ниже, чем больше значение a, тем дальше друг от друга находятся концы кривой. ![]() Графики цепной линии
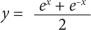
Если в уравнении цепной линии a = 1, то кривая имеет следующий вид: ![]() Посмотрите внимательно на это уравнение: его член ex отображает чистый экспоненциальный рост, а член e—x — чистый экспоненциальный спад. Уравнение суммирует эти два члена и делит полученный результат на два, а это хорошо всем знакомая арифметическая операция — именно так мы должны сделать, чтобы найти среднее арифметическое этих двух значений. Другими словами, цепная линия — это среднее кривых экспоненциального роста и экспоненциального спада, как показано на рисунке ниже. Каждая точка такой U-образной кривой находится ровно посредине между двумя экспоненциальными кривыми. Каждый раз, глядя на окружность, мы видим число π — отношение длины окружности к диаметру. Каждый раз, смотря на висящую цепь, свободно провисшую паутину или прогиб пустой бельевой веревки, мы видим число e. ![]() Цепная линия — это среднее кривых экспоненциального роста и спада В XVII столетии английский физик Роберт Гук открыл одно удивительное механическое свойство цепной линии: в перевернутом виде она представляет собой самую устойчивую форму для отдельно стоящих арок. Провисающая цепь находится в положении, в котором ее внутренние силы растягивают ее вдоль линии кривой. В перевернутом виде все эти растягивающие силы превращаются в силы сжатия, делая цепную линию идеальной аркой, в которой все силы сжатия тоже действуют вдоль линии кривой. В арке, имеющей форму цепной линии, нет изгибающих сил: она поддерживает себя собственным весом, не нуждаясь ни в каких скобах или опорах. Такая арка будет очень устойчивой при минимальном количестве кирпичной кладки. Для того чтобы арка стояла прочно, кирпичи даже не нужно скреплять цементным раствором, поскольку они прижимают друг друга по всей ее высоте. Гук был весьма доволен своим открытием, заявив, что «еще ни один зодчий не пытался сделать нечто подобное». Однако вскоре после этого инженеры начали использовать цепные линии в работе. До наступления компьютерной эры самый быстрый способ создать их сводился к тому, чтобы повесить цепь, начертить кривую, построить модель из жесткого материала и поставить ее в перевернутом положении. Цепная линия — это своего рода опора природы, идеальный способ стоять на двух ногах. Арка в форме перевернутой цепной линии является отличительной чертой творчества Антонио Гауди, каталонского архитектора, построившего ряд самых замечательных зданий XX века, в частности храм Святого семейства в Барселоне [113]. Гауди привлекала не только эстетическая красота цепной линии, но и ее математические свойства. Благодаря тому что он использовал цепные линии в своей практике, строительная механика стала главным элементом проектирования зданий. Однако в зданиях арки редко стоят отдельно. Как правило, они образуют колонны или своды, присоединенные к стенам, полам и крышам. Гауди понял, что весь архитектурный проект здания можно разработать, применив модель из свисающих цепей. Именно так он и поступил. Например, когда Гауди поручили создать проект церкви для Колонии Гуэля возле Барселоны, он сделал перевернутый вверх дном каркас проектируемого строения. Вместо металлических цепей Гауди использовал веревки с подвешенными к ним сотнями мешочков, наполненных свинцовой дробью. Под весом мешочков, закрепленных на веревках, образовалась сеть видоизмененных цепных линий, в форме которых арки представляли собой самую устойчивую конструкцию для поддержания соответствующего веса (такого как крыша или строительные материалы). Для того чтобы посмотреть, как будет выглядеть церковь в законченном виде, Гауди сфотографировал свою модель и перевернул снимок наоборот. Хотя церковь Колонии Гуэля так и не была закончена, Гауди применил эту методику в своей дальнейшей работе. Самое известное сооружение в форме цепной линии — это, пожалуй, арка в Сент-Луисе под названием «Врата на запад». Ее высота — 192 метра, но она немного более плоская по сравнению с идеальной кривой, поскольку у ее вершины чуть тоньше кирпичная кладка. В 2011 году в лондонской архитектурной компании Foster and Partners было принято решение использовать принцип цепной линии в рамках особенно сложного проекта — мегааэропорта в Кувейте, одном из самых негостеприимных, но густонаселенных мест на Земле. Ведущий архитектор проекта Николай Мальш объяснил мне, что для крыши здания терминала длиной 1,2 километра самая лучшая конструкция — это раковина, поперечное сечение которой имеет форму цепной линии. Хотя это гигантское сооружение (45 метров в ширину у основания и 39 метров в высоту посредине), его вес распределен настолько эффективно, что толщина может быть всего 16 сантиметров. «Проект, основанный не на принципе цепной линии, тоже вполне осуществим, но на него уйдет гораздо больше материалов, в нем будет больше профильных балок, и вообще его намного сложнее реализовать, — утверждает Николай. — Что же касается здания, построенного с использованием цепной линии, то, даже если отпадет его внешняя облицовка, а внутри все разрушится и превратится в пыль, песок и битый камень, оно все равно будет стоять». В офисе Foster and Partners находятся точные модели самых знаменитых проектов компании, таких как лондонский «Огурец», Рейхстаг в Берлине и подвесной мост в Мийо (Франция). Но все же на столе Николая Мальша подвешена велосипедная цепь. «Мы любим цепную линию, — объясняет он, — потому что она говорит нам, как удержать крышу». |
![Иллюстрация к книге — Красота в квадрате. Как цифры отражают жизнь и жизнь отражает цифры [i_223.jpg] Иллюстрация к книге — Красота в квадрате. Как цифры отражают жизнь и жизнь отражает цифры [i_223.jpg]](img/book_covers/071/71253/i_223.jpg)
![Иллюстрация к книге — Красота в квадрате. Как цифры отражают жизнь и жизнь отражает цифры [i_224.jpg] Иллюстрация к книге — Красота в квадрате. Как цифры отражают жизнь и жизнь отражает цифры [i_224.jpg]](img/book_covers/071/71253/i_224.jpg)
![Иллюстрация к книге — Красота в квадрате. Как цифры отражают жизнь и жизнь отражает цифры [i_225.jpg] Иллюстрация к книге — Красота в квадрате. Как цифры отражают жизнь и жизнь отражает цифры [i_225.jpg]](img/book_covers/071/71253/i_225.jpg)
![Иллюстрация к книге — Красота в квадрате. Как цифры отражают жизнь и жизнь отражает цифры [i_226.jpg] Иллюстрация к книге — Красота в квадрате. Как цифры отражают жизнь и жизнь отражает цифры [i_226.jpg]](img/book_covers/071/71253/i_226.jpg)
![Иллюстрация к книге — Красота в квадрате. Как цифры отражают жизнь и жизнь отражает цифры [i_227.jpg] Иллюстрация к книге — Красота в квадрате. Как цифры отражают жизнь и жизнь отражает цифры [i_227.jpg]](img/book_covers/071/71253/i_227.jpg)