Онлайн книга «Красота в квадрате. Как цифры отражают жизнь и жизнь отражает цифры»
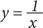
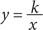
![]() ![]() Геометрия гиперболы Выше я уже предложил вам способы построения эллипса и параболы, поэтому считаю своим долгом сделать это и для гиперболы. На этот раз нам предстоит создать трехмерную модель. Мы сделаем гиперболоид — фигуру, напоминающую популярный в 1970-х годах пластиковый табурет, имеющий форму, которую можно получить посредством вращения гиперболы вокруг своей оси, как показано ниже на рисунке слева. Для создания данной конструкции нам понадобятся два круга из картона и несколько кусков проволочной нити (струны). На первом этапе, как показано на среднем рисунке, необходимо протянуть нить от одного круга к другому таким образом, чтобы образовать фигуру в форме цилиндра. На втором этапе (рисунок справа) нужно повернуть один из кругов. Полученная в итоге фигура и есть гиперболоид. ![]() Гиперболоид и способ его построения с помощью проволочной нити В XVII веке молодой английский профессор астрономии Кристофер Рен увидел в витрине магазина плетеную корзину, напоминающую своими очертаниями ту модель, которая показана на рисунке выше [89]. Эта корзина навела его на мысль об одном поразительном свойстве гиперболоида: имея гладкую изогнутую поверхность, он состоит исключительно из прямых линий. Рен сразу же понял, как можно использовать это свойство для создания гиперболоидов из твердого материала с помощью прямой лопатки. Представьте себе, что на гончарном круге находится кусок глины цилиндрической формы. Разместите лопатку по диагонали к цилиндру таким образом, чтобы она немного погрузилась в глину. Удерживая лопатку в одном положении, сделайте один оборот гончарного круга — и цилиндр из глины превратится в гиперболоид. Рен заинтересовался изготовлением гиперболоидных линз для телескопов. Он даже не подозревал, что спустя столетия его открытие данного свойства гиперболоида найдет свое применение в архитектуре — области, в которой сам Рен получит впоследствии гораздо большую известность. В XIX веке французский преподаватель математики Теодор Оливье создал несколько моделей гиперболоидов и других трехмерных конических фигур для использования в качестве учебных пособий [90]. Сделанные из каркасов из дерева и металла, а также цветных проволочных нитей (струн), они стали весьма популярны в университетах. Некоторые из моделей Оливье были выставлены в лондонском Музее истории науки. В 1930-х годах британский художник Генри Мур посетил этот музей и пришел в такой восторг от увиденных моделей, что начал использовать проволочные нити в своих скульптурах. «Меня взволновало не научное назначение моделей, а возможность посмотреть сквозь эти струны, как через птичью клетку, и увидеть одну форму внутри другой», — объяснил он. Струнные модели Оливье — прекрасные объекты, завораживающие подобно оптической иллюзии, представляя кривые поверхности, образованные, как становится очевидным при ближайшем рассмотрении, прямыми линиями. (В конце XIX столетия личную коллекцию моделей Оливье выкупил Колледж Союза в городе Скенектади, в котором много лет спустя Арт Фриго создал свою игру «эллиптипул».) ![]() Охлаждающие башни в виде гиперболоидов © Kletr/Shutterstock.com В представленной выше проволочной модели верхний круг вращается по часовой стрелке, поэтому на передней наклонной плоскости куски проволочной нити наклонены следующим образом: . Если повернуть этот круг на аналогичный угол в противоположном направлении, получится идентичный гиперболоид, но наклон проволочной нити будет таким: /. Для того чтобы плетеная корзина в форме гиперболоида была прочной, ее следует изготовлять из прутьев лозы, переплетенных в обоих направлениях. Более крупные гиперболоидные конструкции, выполненные в виде решетки из стальных балок, невероятно устойчивы. Это и есть способ создания больших криволинейных конструкций с использованием только прямых балок. Первым гиперболоидным сооружением в архитектуре была 37-метровая водонапорная башня в Нижнем Новгороде, построенная в 1896 году; впоследствии появилось много сооружений подобного типа. Бетонные охлаждающие башни электростанций имеют форму гиперболоида, как и телебашня Гуанчжоу высотой 600 метров — четвертое по высоте автономное сооружение в мире. Я рассказал о гиперболе в последнюю очередь, хотя это именно то коническое сечение, с которым мы уже встречались. Когда две величины обратно пропорциональны друг другу, как было с частотностью употребления слов в романе Джеймса Джойса «Улисс» и их порядковым номером в списке, их математическую зависимость можно представить в таком виде:
![]() Кривая
Мы начали эту главу с определения конических сечений как фигур, образующихся в результате рассечения конуса секущей плоскостью, а затем проанализировали свойства каждой фигуры в отдельности. А завершим последним, всеобъемлющим определением: конические сечения — это кривые, для которых отношение расстояний до точки (фокуса) и до прямой (директрисы) представляет собой постоянную величину. Если отношение расстояния от кривой до точки к расстоянию от кривой до прямой линии больше 1 (а это значит, что кривая всегда пропорционально ближе к директрисе, чем к фокусу), мы имеем гиперболу, как показано на рисунке ниже. Когда это соотношение равно 1 — параболу, а когда оно меньше 1 — речь идет об эллипсе. Данные соотношения известны как эксцентриситеты каждой кривой, поскольку они показывают степень их отклонения от окружности. На представленном ниже рисунке изображены три кривые с общим фокусом F и общей директрисой. Эксцентриситет эллипса составляет 0,75, гиперболы — 1,25. |
![Иллюстрация к книге — Красота в квадрате. Как цифры отражают жизнь и жизнь отражает цифры [i_127.jpg] Иллюстрация к книге — Красота в квадрате. Как цифры отражают жизнь и жизнь отражает цифры [i_127.jpg]](img/book_covers/071/71253/i_127.jpg)
![Иллюстрация к книге — Красота в квадрате. Как цифры отражают жизнь и жизнь отражает цифры [i_128.jpg] Иллюстрация к книге — Красота в квадрате. Как цифры отражают жизнь и жизнь отражает цифры [i_128.jpg]](img/book_covers/071/71253/i_128.jpg)
![Иллюстрация к книге — Красота в квадрате. Как цифры отражают жизнь и жизнь отражает цифры [i_129.jpg] Иллюстрация к книге — Красота в квадрате. Как цифры отражают жизнь и жизнь отражает цифры [i_129.jpg]](img/book_covers/071/71253/i_129.jpg)
![Иллюстрация к книге — Красота в квадрате. Как цифры отражают жизнь и жизнь отражает цифры [i_130.jpg] Иллюстрация к книге — Красота в квадрате. Как цифры отражают жизнь и жизнь отражает цифры [i_130.jpg]](img/book_covers/071/71253/i_130.jpg)
![Иллюстрация к книге — Красота в квадрате. Как цифры отражают жизнь и жизнь отражает цифры [i_131.jpg] Иллюстрация к книге — Красота в квадрате. Как цифры отражают жизнь и жизнь отражает цифры [i_131.jpg]](img/book_covers/071/71253/i_131.jpg)
![Иллюстрация к книге — Красота в квадрате. Как цифры отражают жизнь и жизнь отражает цифры [i_132.jpg] Иллюстрация к книге — Красота в квадрате. Как цифры отражают жизнь и жизнь отражает цифры [i_132.jpg]](img/book_covers/071/71253/i_132.jpg)
![Иллюстрация к книге — Красота в квадрате. Как цифры отражают жизнь и жизнь отражает цифры [i_133.jpg] Иллюстрация к книге — Красота в квадрате. Как цифры отражают жизнь и жизнь отражает цифры [i_133.jpg]](img/book_covers/071/71253/i_133.jpg)