Онлайн книга «Книга начинающего шахматиста»
|
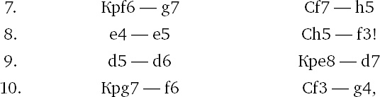
Белые могут добиться победы, выиграв темп. 1. Cd5–g8+! Крh7–h8! (очевидно, не 1. Кр: g8 2. Кр: g6 и т. д.) 2. Cg8–е6! Белые не пускают короля на h7. На 2. … Крh7 последует 3. Cf5 С: f5 4. Кр: f5 с выигрышным пешечным концом, как было доказано в главе 6. 2. … Cg6–е8 3. Крg5–f5 Крh8–h7 4. Се6–d5 Крh7–h6 (или 4. … Cd7+ 5. Кре5 Крg6 6. f7! Крg7 7. Крd6 и 8. Крe7, или 4. … Ch5 5. Кре6 Крg6 6. Крe7 Крf5 7. Cf7 Cd1 8. Се6+, и выигрывают) 5. Крf5–е6 Крh6–g5 6. Кре6–e7 Ce8–h5. Теперь выигрывает типичный для таких окончаний маневр: 7. Cd5–f7 Ch5–е2 8. Cf7–е8 Се2–с4 9. Се8–d7! и затем 10. Cd7–е6. Последний ход белых был бы невозможен, если бы черный король стоял на е5. ![]() Интересный случай произошел в партии Тейхман – Маршалл (Сан-Себастьян, 1911 г.). Белые сыграли 1. Кре3–е4 и после 1. … Cg4–с8 2. Кре4–е3 Сс8–d7! (решающий выжидательный ход) белые сдались. Действительно, на 3. Кре3–е4 следует 3. … Cd7–с6+, а на 3. Кре3–d2 – 3. … Крg3–f2 4. Сf1–с4 Крf2: g2 с легким выигрышем. Пешка продвинется до h2, и слон переводится на f3 или g2. Между тем, как доказал гроссмейстер Авербах, белые могли спасти партию. ![]() Вот в чем спасение белых! Слон неуязвим, так как после 4. … С: d5 5. Крg4 теряется пешка «h». ![]() Черным не удается продвинуть пешку до h3, следовательно, ничья. В окончаниях с одноцветными слонами цугцванг играет большую роль. Рассмотрим, например, этюд заслуженного деятеля искусств А. Троицкого. ![]() ![]() Если 1. … Крg3, то 2. Крf5 Cf4 3. Ch2+, или 1. … Крg4 2. а6 Cf4+ 3. Крd5 Cb8 4. Крc6 Крg3 5. Крb7, и выигрывают. ![]() Черные оказываются в цугцванге. Если 4. … h4, то 5. Cf2, и черные вынуждены отдать пешку h4. ![]() Или 6. … h4 7. Cg1! ![]() и выигрывают. При разноцветных слонах даже далеко продвинутая пешка не может выиграть, если слон обстреливает поле на ее пути. ![]() При одноцветных слонах две пешки почти всегда выигрывают. При разноцветных даже две пешки не гарантируют победы. В позиции на диагр. 350 при ходе белых ничья достигается несложным путем. 1. Сс4–е6 f5–f4 2. Кре2–f3 и затем 3. Се6–f5. Черные никогда не добьются хода е5–е4. При ходе черных им лучше всего играть 1. … е5–е4, но и это не приносит успеха ввиду 2. Сс4–е6 f5–f4 3. Се6–d5 (к ничьей приводит и 3. Cf5) 3. … f4–f3+ 4. Кре2–f1 (можно и 4. Крf2, чтобы на 4. … Ch4+ продолжать 5. Кре3 f2 6. Кре2 е3 7. Сс4 Крс5 8. Са6, и пешки навсегда задержаны), и одна из черных пешек неминуемо гибнет. Когда король поддерживает две связанные пешки и они далеко продвинуты, то результат зависит от того, успеют ли король и слон противника занять правильную защитную позицию. ![]() В позиции на диагр. 351 при своем ходе белые выигрывают: 1. Cd2–g5+ Кре7–f7 2. е5–е6+ Крf7–g7 3. f5–f6+ Крg7–g6 4. f6–f7 Крg6–g7 5. Cg5–h6+, и следующим ходом ставят ферзя. При ходе черных – ничья. 1. … Cb5–d7! 2. Кре4–f4 Кре7–f7 3. Крf4–g5 Cd7–c8! (плохо 3. … Крe7? 4. Крg6 Cc8 5. Cb4+ Крe8 6. е6). Король белых не может отойти от пешки f5, а в ответ на 4. е6+ черные отдают слона за две пешки. После же 4. f5–f6 ничья очевидна. Таким образом, правильное расположение защищающейся стороны заключается в следующем: 1) король и слон устанавливаются так, чтобы при движении пешек можно было пожертвовать слона за две пешки; 2) слон должен находиться впереди пешек и нападать на одну из них, лишая подвижности короля противника. ![]() В позиции на диагр. 352 одна белая пешка находится еще на 4-й горизонтали, поэтому черные при своем ходе успевают занять фигурами необходимую защитную позицию. Согласно указанному выше правилу, слон должен нападать на пешку d5 спереди, а короля при этом следует расположить так, чтобы при ходе е5–е6+ можно было пожертвовать слона за обе пешки. Таким полем для короля будет d7 или f7. Но на f7 должен находиться слон, с тем чтобы нападать с этого поля на пешку d5. Стало быть, короля черных надо установить на поле d7. Каким образом произвести перегруппировку так, чтобы черный слон попал на верхний отрезок диагонали а2–g8, разделенной на две части пешкой d5? ![]() Если теперь 3. Cg5+, то ничья путем 3. … Крd7 4. е5 Cg8, и затем слон будет ходить по полям g8–f7. Белые предпринимают другую попытку. ![]() На любой другой ход короля последует 5. Крd6, и белые выигрывают. ![]() Белые грозили ходом 6. Крg7; плохо 6. … Ch7 7. е5 Cg8 8. е6+. ![]() Снова единственный ход. При 6. … Крd7 7. Крg7 выигрывается слон. ![]() |
![Иллюстрация к книге — Книга начинающего шахматиста [i_899.jpg] Иллюстрация к книге — Книга начинающего шахматиста [i_899.jpg]](img/book_covers/071/71110/i_899.jpg)
![Иллюстрация к книге — Книга начинающего шахматиста [i_900.jpg] Иллюстрация к книге — Книга начинающего шахматиста [i_900.jpg]](img/book_covers/071/71110/i_900.jpg)
![Иллюстрация к книге — Книга начинающего шахматиста [i_901.jpg] Иллюстрация к книге — Книга начинающего шахматиста [i_901.jpg]](img/book_covers/071/71110/i_901.jpg)
![Иллюстрация к книге — Книга начинающего шахматиста [i_902.jpg] Иллюстрация к книге — Книга начинающего шахматиста [i_902.jpg]](img/book_covers/071/71110/i_902.jpg)
![Иллюстрация к книге — Книга начинающего шахматиста [i_903.jpg] Иллюстрация к книге — Книга начинающего шахматиста [i_903.jpg]](img/book_covers/071/71110/i_903.jpg)
![Иллюстрация к книге — Книга начинающего шахматиста [i_904.jpg] Иллюстрация к книге — Книга начинающего шахматиста [i_904.jpg]](img/book_covers/071/71110/i_904.jpg)
![Иллюстрация к книге — Книга начинающего шахматиста [i_905.jpg] Иллюстрация к книге — Книга начинающего шахматиста [i_905.jpg]](img/book_covers/071/71110/i_905.jpg)
![Иллюстрация к книге — Книга начинающего шахматиста [i_906.jpg] Иллюстрация к книге — Книга начинающего шахматиста [i_906.jpg]](img/book_covers/071/71110/i_906.jpg)
![Иллюстрация к книге — Книга начинающего шахматиста [i_907.jpg] Иллюстрация к книге — Книга начинающего шахматиста [i_907.jpg]](img/book_covers/071/71110/i_907.jpg)
![Иллюстрация к книге — Книга начинающего шахматиста [i_908.jpg] Иллюстрация к книге — Книга начинающего шахматиста [i_908.jpg]](img/book_covers/071/71110/i_908.jpg)
![Иллюстрация к книге — Книга начинающего шахматиста [i_909.jpg] Иллюстрация к книге — Книга начинающего шахматиста [i_909.jpg]](img/book_covers/071/71110/i_909.jpg)
![Иллюстрация к книге — Книга начинающего шахматиста [i_910.jpg] Иллюстрация к книге — Книга начинающего шахматиста [i_910.jpg]](img/book_covers/071/71110/i_910.jpg)
![Иллюстрация к книге — Книга начинающего шахматиста [i_911.jpg] Иллюстрация к книге — Книга начинающего шахматиста [i_911.jpg]](img/book_covers/071/71110/i_911.jpg)
![Иллюстрация к книге — Книга начинающего шахматиста [i_912.jpg] Иллюстрация к книге — Книга начинающего шахматиста [i_912.jpg]](img/book_covers/071/71110/i_912.jpg)
![Иллюстрация к книге — Книга начинающего шахматиста [i_913.jpg] Иллюстрация к книге — Книга начинающего шахматиста [i_913.jpg]](img/book_covers/071/71110/i_913.jpg)
![Иллюстрация к книге — Книга начинающего шахматиста [i_914.jpg] Иллюстрация к книге — Книга начинающего шахматиста [i_914.jpg]](img/book_covers/071/71110/i_914.jpg)