Онлайн книга «Книга начинающего шахматиста»
|
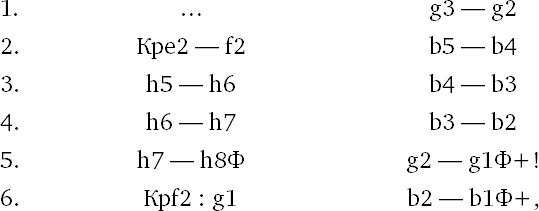
Если у сильнейшей стороны две связанные пешки, а у другой непроходная, например в позиции: белые – Крf5, п. е5; черные – Крf7, пп. g5, h6, то выигрыш прост. Связанные пешки защищают друг друга, и король черных подходит к белой пешке и выигрывает ее, отвлекая короля движением своих пешек. Таким же способом выигрывает сильнейшая сторона и в позиции: белые – Крb4, п. g4, черные – Крc6, пп. b5, d5. Прежде всего черные ставят пешки в положение взаимозащиты: 1. … d5–d4 2. g4–g5 Крc6–d5, и король подходит к пешке и уничтожает ее. При своем ходе белые играют 1. g4–g5! Черный король должен бежать на королевский фланг, на ход d5–d4 нет времени. Последует 1. … Крc6–d6 2. Крb4: b5 Крd6–е6 3. Крb5–с5 Кре6–f5 с ничьей. ![]() В позиции на диагр. 138 пешка «h» вне досягаемости черного короля. Движение вперед пешки g3 не помогает, ее уничтожит белый король, поэтому черные могут рассчитывать только на движение своей пешки «b». Хотя она в квадрате белого короля, однако после 1. … b4 2. Крd3 b3 3. Крc3 оживает пешка g3, которая в два хода превращается в ферзя. Но и движение пешки «b» не спасает черных: 1. … b4 2. h6 b3 3. h7 b2 4. h8Ф b1Ф 5. Фb8+, и черный ферзь теряется. Все же черные добиваются ничьей, пользуясь приемом, который часто встречается в пешечных окончаниях. Им нужно выиграть один темп. Это будет достигнуто, если пешка «b» превратится в ферзя c шахом, для чего белого короля завлекают на первую горизонталь. ![]() и ничья. Нетрудно убедиться, что черные могли превратить пешку «g» в ферзя и раньше – на втором, третьем или четвертом ходах. Если пешки расположены как на диагр. 139, то выигрыш достигается весьма немудреным способом. Проходная пешка идет вперед при поддержке короля: 1. … Крd5–с5 2. Крс3–с2 Крс5–d4 3. Крс2–d2 с4–с3+ 4. Крd2–с2 Крd4–с4 5. Крс2–c1 Крс4–d3 6. Крc1–d1 с3–c2+ 7. Крd1–c1. Теперь у черных имеются два выигрышных продолжения: или 7. … Крd3–е2 8. Крc1: с2 Кре2: f2, и пешка «е» проходит в ферзи, или более эффектное 7. … Крd3–с3 8. f2–f3 (в расчете на 8. ef, и пат) 8. … е4–е3! 9. f3–f4 е3–е2, и мат на следующем ходу. ![]() ![]() Можно предположить, что и в позиции на диагр. 140 белые могут выиграть по тому же методу, что в предыдущем примере. Белый король оставляет пешку «h» на съедение и направляется к пешке а5. После ее уничтожения пешка «а» идет в ферзи. Но пешка «а» ладейная, а выше было доказано, что в борьбе против ладейной пешки «а» королю слабейшей стороны достаточно занять поле с8. Таким образом, следует рассчитать, сможет ли король черных попасть вовремя на с8. Автор не раз указывал на необходимость тренировки техники расчета в уме, для чего рекомендовал проработать все примеры и упражнения сначала на доске, а затем не передвигая фигур и, наконец, без доски. Тренированному читателю будет нетрудно произвести в уме расчет маневра, который займет 7 ходов. Белому королю потребуется шесть ходов на выигрыш пешки а5. На седьмом ходу будет сыграно 7. Кра5–b6, чтобы открыть дорогу пешке «а» и завоевать поле b7. Где же в этот момент окажется черный король? На уничтожение пешки h5 потребуется два хода, а затем король с поля h5 должен направиться к полю с8. Маневр h5–g6–f6–е6–d7–с8 потребует 5 ходов. Значит, после 7-го хода белых Кра5–b6 черный король уже будет находиться на поле с8, и партия закончится вничью. Проделав весь расчет в уме, следует проверить его правильность на доске. Попутно отметим, что другой маршрут короля через h5–g6–f6–е6–d6 оказался бы гибельным для черных, их король не смог бы попасть на поле с8. Ходы 1. h6+ Крh7 2. Крh5 Крh8 не изменят результата, в чем читателю следует самому убедиться. Если на диагр. 140 пешку «h» переставить с h5 на h4, то черные проиграют. Переброска короля с h4 на с8 займет те же 5 ходов, но на завоевание пешки «h» придется затратить 3 хода, а всего 8 ходов. 8-й ход белых будет Крb6–b7, и черный король не сможет попасть на с8. Проиграют черные и в том случае, если на диагр. 140 переставить пешку а5 на а6. После взятия пешки а6 белый король уже на 7-м ходу займет поле b7. В партии случилась позиция: белые – Крg6, пп. а4, h5; черные – Крg7, п. а6. Могут ли черные спасти партию? На основании проделанного анализа ясно, что черных спасает единственный ход 1. … а6–а5! ![]() Позиция на диагр. 141 случилась в турнирной партии Алехин – Рети. Рети сыграл 1. … Крf7–g7! после чего Алехин согласился на ничью. Проверьте в уме, а затем на доске, правильно ли Алехин согласился на ничью. Не могли ли белые выиграть, продвигая под защитой короля пешку до h7? Почему Рети сыграл королем на g7, а не на f6? Убедитесь, что при 1. … Крf6 белые выигрывают. ![]() Усвоив технику расчета в двух последних примерах, можно приступить к решению следующего этюда Н. Григорьева. На первый взгляд, задание автора невыполнимо. Ведь черный король может по желанию выиграть либо пешку «а», либо пешку «h», например: 1. Крb3 Крd5 2. Крb4 Крd4 (обход) 3. Крb3 Крс5 и т. д. Напрашивающийся первый ход 1. Крс2–d3 не ведет к цели. Черные ответят 1. … Кре5–d5! 2. Крd3–е3 Крd5–е5 и задержат белого короля на 3-й горизонтали. Правильно 1. Крс2–с3! Белые заняли «косую» оппозицию и проникают королем в 4-й ряд. Если черный король повернет налево к пешке «а», то белый повернет направо к пешке «h», и наоборот. Рассчитаем первый маршрут. На маневр Кре5–d5–с5–b5: а5 потребуется четыре хода, отход короля – 1 ход, движение пешки от а6 до а2 – 4 хода. Через 9 ходов черная пешка окажется на а2. За это время белый король осуществит маневр Крс3–d3–е4–f5–g6: h6 и истратит на него 5 ходов, отход короля – 1 ход, превращение пешки «h» – 3 хода. Итак, через 9 ходов на h8 появится белый ферзь. Так как черный король не сможет вовремя попасть на b1, то белые выигрывают. Расчет второго маршрута, когда черный король идет к пешке h5, покажет, что белые поставят ферзя на а8, когда черная пешка дойдет до h2. Таким образом, активное нападение на любую из белых пешек ведет к поражению черных. Но не могут ли черные защищаться пассивно, отдавая пешку, но запирая короля? Для расчета это самый трудный вариант. 1. Крс2–с3 Кре5–f5 2. Крс3–d4 Крf5–f4! 3. Крd4–с5 Крf4–е5 4. Крс5–b6 Кре5–d6 5. Крb6: a6 Крd6–с6 (при отсутствии пешек «h» этот зажим обеспечил бы ничью) 6. Кра6–а7 Крс6–с7 7. а5–а6! Крс7–с8 8. Кра7–b6 Крс8–b8, и теперь создалось положение типа диагр. 140. Белым потребуется 7 ходов на завоевание пешки h6 и занятия поля g7. Черные опаздывают на один ход к полю f8 и проигрывают. Весь расчет в уме займет 15 ходов. Рекомендуем проверить его на доске, а затем вновь проделать его в уме, на диаграмме. |
![Иллюстрация к книге — Книга начинающего шахматиста [i_348.jpg] Иллюстрация к книге — Книга начинающего шахматиста [i_348.jpg]](img/book_covers/071/71110/i_348.jpg)
![Иллюстрация к книге — Книга начинающего шахматиста [i_349.jpg] Иллюстрация к книге — Книга начинающего шахматиста [i_349.jpg]](img/book_covers/071/71110/i_349.jpg)
![Иллюстрация к книге — Книга начинающего шахматиста [i_350.jpg] Иллюстрация к книге — Книга начинающего шахматиста [i_350.jpg]](img/book_covers/071/71110/i_350.jpg)
![Иллюстрация к книге — Книга начинающего шахматиста [i_351.jpg] Иллюстрация к книге — Книга начинающего шахматиста [i_351.jpg]](img/book_covers/071/71110/i_351.jpg)
![Иллюстрация к книге — Книга начинающего шахматиста [i_352.jpg] Иллюстрация к книге — Книга начинающего шахматиста [i_352.jpg]](img/book_covers/071/71110/i_352.jpg)
![Иллюстрация к книге — Книга начинающего шахматиста [i_353.jpg] Иллюстрация к книге — Книга начинающего шахматиста [i_353.jpg]](img/book_covers/071/71110/i_353.jpg)