Книга Шаляпин против Эйфелевой башни, страница 114 – Бранислав Ятич

Авторы: А Б В Г Д Е Ж З И Й К Л М Н О П Р С Т У Ф Х Ч Ш Ы Э Ю Я
Книги: А Б В Г Д Е Ж З И Й К Л М Н О П Р С Т У Ф Х Ц Ч Ш Щ Ы Э Ю Я
Бесплатная онлайн библиотека LoveRead.in

Онлайн книга «Шаляпин против Эйфелевой башни»

📃 Cтраница 114

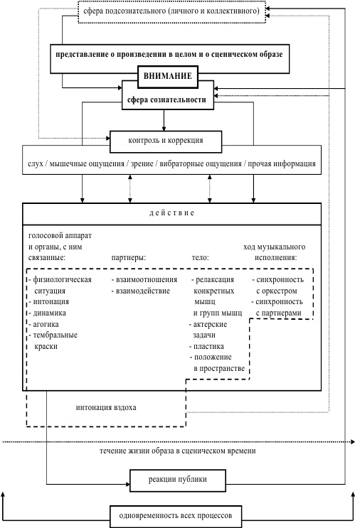
Дисциплина творческого процесса одинаково необходима как в его начальной, так и в исполнительской фазе: она начинается отделением от собственного «я» и дисциплиной мысли и чувства, а заканчивается строгим контролем над его конечным результатом – жизнью образа на сцене. Залог дисциплины творческого процесса – прочное пребывание в круге творчества, надежная концентрация и активность бдительного внимания.

Иллюстрация к книге — Шаляпин против Эйфелевой башни [i_046.jpg]
Круг творчества и круги внимания

Пианист, дирижер, певец, актер – это профессия. Как булочник, кузнец, столяр. <…> Артист – это не профессия. Это сплав таланта и мастерства, культуры и любознательности, полученной из руды, имя которой – упорный труд [262].

Ф. И. Шаляпин

Художественный метод Шаляпина характеризуется освобождением сознания от содержания и энергии повседневности при подходе к художественному материалу, то есть, при переходе к состоянию «повышенной творческой температуры». В этот момент артист перестает быть личностью, связанной с обычной жизнью, и вступает в круг творчества. Дисциплина мысли способствует прочности этого круга, а широта сознания – силе творческого воображения.

Круг творчества есть состояние глубокой сосредоточенности на художественной задаче.

Такое психологическое и умственное состояние необходимо еще в период подготовки к выступлению на сцене, когда изучается необходимый материал. Происходит его действенный анализ, и устанавливаются задачи образа по ходу работы воображения. Это состояние особенно необходимо в момент самого сценического выступления. Станиславский подчеркивает, что сценическое творчество происходит в условиях публичного одиночества. Это означает, что артист творит так, словно он на сцене один, хотя и осознает присутствие публики. Однако мысль о публике не должна нарушать его концентрацию.

Станиславский говорит: «Только замкнутый творческий круг, где гармонично сочетаются движения психические и физические, является ценностью, как выявление всего внимания, вложенного в каждое обстоятельство, из которых создана роль» [263]. В связи с этим он советует актерам в те моменты, когда концентрация может быть нарушена, сосредоточить свое внимание на «малом пространстве», другими словами, сфокусировать его на более узком круге внимания. Станиславский различает три основных круга внимания:

1) малый (узкий) круг, самое интимное пространство актера, в котором он, по Станиславскому, забывает о зрительном зале;

2) средний круг;

3) большой (широкий) круг.

Эти круги охватывают близкие и/или далекие объекты внимания, но в пределах пространства, в котором актер способен держать внимание, в рамках пространства сцены.

Круг творчества актера может существовать в рамках малого, среднего или большого круга внимания, он может переносить внимание из одного круга в другой, при этом полностью исключая прочие. Например, момент деконцентрации в большом круге внимания может быть исправлен быстрым переносом внимания в малый круг (абсолютной «изоляции» в публичном одиночестве), причем средний и большой круги внимания временно выключаются.

В оперном жанре такой вид концентрации внимания невозможен. Поэтому Шаляпин говорит о полном и постоянном внимании. Условно говоря, в полном внимании тоже существуют своего рода «круги внимания», но все-таки в них внимание присутствует непрерывно и одновременно. Невозможно, например, сконцентрировать внимание в малом круге, потому что может прерваться синхронность исполнения певца и оркестра (игра которого входит лишь в большой круг внимания). Можно перемещать только центр тяжести внимания.

В то время, как у драматического актера речь развертывается, в основном, спонтанно и автоматически, процесс пения требует абсолютной осознанности и внимания. Итак, «первый круг внимания» оперного певца составляет его организм; этот круг охватывает органы и мышцы вокального комплекса. Обозначим его как первое внимание. Второй круг внимания певца (второе внимание) по своей сути ближе всего к малому кругу внимания драматического актера. Следующий круг внимания оперного певца

(третье внимание) более всего соответствует большому кругу внимания в драматическом театре, причем он простирается за пределы сцены, охватывая также оркестровую яму. Шаляпин, не переставая пребывать в состоянии публичного одиночества, не только всегда ощущал присутствие публики, но и вел с ней своеобразный диалог. Такой «диалог» (своего рода обмен флюидами в двух направлениях) требует четвертого внимания, то есть круга внимания, охватывающего все пространство, в котором происходит процесс сценического творчества. Если до появления на оперной сцене Шаляпина публика в опере, как правило, пребывала в пассивном состоянии, обращая внимание, главным образом, на виртуозные элементы пения или неординарные проявления в области звуко-извлечения и редко интересуясь музыкальной интерпретацией и актерской стороной исполнения, то Шаляпин заставил ее занять активную позицию и следить за процессом сценического творчества во всех его аспектах, переживать исполнение вместе с артистом.

Итак, первое внимание концентрируется на функционировании вокального комплекса. Пение в технологическом смысле – это сумма условных рефлексов. Благодаря бесконечным повторениям и закреплению в мышечной памяти оно переходит в безусловный рефлекс. Но все-таки процесс пения нуждается в постоянном контроле со стороны сознания. В отрывках, характеризующихся сложными техническими элементами, или в случаях каких-либо сбоев этимологии в процессе пения центр тяжести общего внимания переносится в «круг» первого внимания.

Второе внимание представляет интимное пространство певца (сознание целостности сценического образа, всех задач образа и их пропорций) и относится к области актерского аспекта роли и внимания к телу как таковому.

Третье внимание включает внимание к телу в организованном пространстве, внимание к партнерам и синхронность исполнения с оркестром.

Центр тяжести общего внимания в наибольшей части процесса сценического творчества сосредоточен во втором и третьем внимании.

Четвертое внимание призвано собирать «информацию» о реакциях публики.

Оно несет следующие функции:

а) одного из стимулирующих факторов процесса сценического творчества;

б) тонкого корректирующего элемента в процессе сценического творчества.

Таким образом, публика уже фигурирует в роли субъекта этого творчества.

Центр тяжести находится в первом и четвертом внимании только в исключительных ситуациях.

Вход
Поиск по сайту
Ищем:
Календарь