Книга Боевые самолеты Туполева, страница 14 – Николай Якубович

Авторы: А Б В Г Д Е Ж З И Й К Л М Н О П Р С Т У Ф Х Ч Ш Ы Э Ю Я
Книги: А Б В Г Д Е Ж З И Й К Л М Н О П Р С Т У Ф Х Ц Ч Ш Щ Ы Э Ю Я
Бесплатная онлайн библиотека LoveRead.in

Онлайн книга «Боевые самолеты Туполева»

📃 Cтраница 14

Но был еще один самолет без командира – «желтая тройка» из первой эскадрильи. «Когда прибежали на аэродром, – рассказывал В.И. Якубович, – то оказалось, что командира нашего корабля не было. Не было времени и на его поиски. Тогда, на свой страх и риск, его место занял инженер Швидченко. Правда, на месте оказался второй пилот младший лейтенант Львов, но опыта самостоятельных полетов на ТБ-3 у него не было.

Наш самолет стоял в стороне от остальных, и потому взлетали с места, а прямо по курсу – огромный стог сена. Казалось, чуть-чуть и врежемся, но Львов вовремя «подорвал» машину, и все обошлось благополучно. Уже в воздухе мы увидели, как на аэродром въезжали, постреливая, немецкие танки. Стрелки наших самолетов на взлете расстреливали немцев из пулеметов, не жалея патронов. А на земле шел бой. Батальон Старчака сдерживал немцев. Полет этот закончился благополучно с посадкой на подмосковном аэродроме Мячково. Вскоре к нам прибыл летчик Журавлев, и по возвращении в полк мы узнали о полете П.Балашова. Насколько я помню, бортмехаником самолета был Н. Лозин, награжденный за тот полет медалью «За отвагу».

Иллюстрация к книге — Боевые самолеты Туполева [bsamtyp1_img_026.jpg]

Авиамеханик 1-го тяжелого бомбардировочного полка 53-й дивизии Авиации дальнего действия В.И. Якубович


Много лет спустя автор, изучая архивные документы, узнал, что были и другие похожие случаи угона ТБ-3 из-под носа немцев.

Согласно статистике бывшего Министерства авиационной промышленности, ТБ-3 строился на трех предприятиях. Завод № 18 в 1934 году сдал заказчику пять машин, № 39 в 1932–1934 годах – 50, Филевский завод № 22 построил в 1932–1933 годах 355 бомбардировщиков с моторами М-17, в 1933–1934-м – 111 с двигателями М-34, в 1935–1936 годах – 150 с М-34Р, 23 – с М-34РБ и 101 – с АМ-34РН. В общей сложности все заводы сдали заказчику 873 самолета семейства ТБ-3. В сентябре 1940 года львиная доля этих самолетов (521 экземпляр, как с моторами М-17, так и М-34) находилась в строевых частях ВВС. В авиации ВМФ – 12 ТБ-3 с моторами М-17 и 16 – с двигателями М-34. К началу Великой Отечественной войны в ВВС имелось шесть авиаполков, вооруженных ТБ-3.

В мае 1945 года свой вердикт относительно дальнейшей судьбы ТБ-3 вынесли специалисты ГВФ. По их мнению, значительно ухудшившиеся в процессе эксплуатации за счет утяжеления планера в среднем на 1000 кг и без того низкие летно-технические характеристики Г-2 (конверсированный ТБ-3) и сильный износ самолета и моторов М-17 к тому времени делали машину нерентабельной. Вдобавок при продолжении использования самолета в условиях жаркого климата (он эксплуатировался преимущественно в Средней Азии) полетный вес снижался при температуре +40° на 2000 кг, а его грузоподъемность – с 4000 до 2000 кг.

Не лучше обстояло дело и с Г-2, оснащенными моторами М-34РН, хотя он и имел преимущества перед Г-2 с М-17.

Жизненный цикл ТБ-3 завершился в 1946 году после выхода постановления правительства о списании оставшихся машин. До наших дней дошли лишь обломки когда-то удивившего Европу гиганта. Но не все потеряно. Рассказывают, что под снежным покровом одного из северных островов надежно хранится самолет Полярной авиации.

Таблица № 3

ОСНОВНЫЕ ДАННЫЕ САМОЛЕТОВ СЕМЕЙСТВА ТБ-3

Иллюстрация к книге — Боевые самолеты Туполева [_067.jpg]
Иллюстрация к книге — Боевые самолеты Туполева [_068.jpg]

Примечания: 1. Нормальная. 2. Максимальный объем топливных баков – 8000 л.


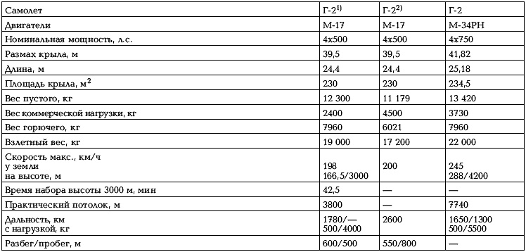
Таблица № 4

ОСНОВНЫЕ ДАННЫЕ САМОЛЕТОВ СЕМЕЙСТВА Г-2

Иллюстрация к книге — Боевые самолеты Туполева [_069.jpg]

Примечание. 1. РГАЭ, ф.9527Э, оп.4, д.157. 2. РГАЭ, ф.9527Э, оп.1, д.981, л.22.

АНТ-16 (ТБ-4)

Невольно задаешься вопросом, зачем стране нужна была такая армада тяжелых бомбардировщиков ТБ-3? Ответ напрашивается сам собой – для захвата власти сначала в Европе, а затем и в других частях света. Впрочем, этого не скрывали, поскольку все газеты были пропитаны идеей Мировой революции. Гитлер – это был лишь хороший повод, поскольку замыслы Сталина появились гораздо раньше. Замыслы вождя передавались не только обывателям, которых заставляли жить скромнее и мужественно переносить все тяготы и невзгоды, но и инженерно-технической интеллигенции, пытавшейся создать супероружие.

Эти замыслы нашли свое отражение и в фантастической литературе. Так, до войны была одобрена публикация книги Н. Шпанова «Первый удар», в которой бомбовый удар по Германии наносили бомбардировщики с паротурбинными силовыми установками. А после развала СССР появился еще один труд – «Заповедник для академиков», так сказать, в стиле ретро, написанный Киром Булычевым.

В фантастическом романе описывается один из возможных сценариев развития событий в Европе накануне Второй мировой войны. Отличие между ними лишь в том, что Булычев указывает на конкретные типы вооружения: «..Двенадцатая машина, долетев все же до Варшавы, стала жертвой отыскавших ее в облаках «мессершмиттов» и была повреждена. Машина теряла высоту – пилот старался выровнять самолет, хотя выровнять такую тяжелую машину трудно. Он тянул к центру Варшавы, такой у него был приказ – произвести бомбометание над центром Варшавы. И когда самолет готов был сорваться в штопор, старший майор НКВД, отвечавший за выполнение задания партии, смог раскрыть бомбовый люк, и «Иван» вывалился наружу.

Иллюстрация к книге — Боевые самолеты Туполева [bsamtyp1_img_027.jpg]

Шестимоторный самолет ТБ-4, завершивший линию тяжелых бомбардировщиков, начатую АНТ-4


Самолет все тянул по касательной и разбился в районе Праги, за Вислой. «Иван» рухнул в районе Старого города, всего в трехстах метрах от трибуны, на которой стоял фюрер».

Под «Иваном» подразумевалась атомная бомба (о ней в те годы никто понятия не имел), доставленная к цели одним из двенадцати тяжелых бомбардировщиков ТБ-4, стартовавших с подмосковного аэродрома Монино.

Атомная бомба в середине 1930-х годов – это утопия, но если бы эта «утопия» вдруг оказалась в руках Сталина, то единственным средством доставки «Ивана» действительно был ТБ-4, способный поднимать двенадцать тонн бомб.

Идеи, заложенные в ТБ-1, исчерпались полностью к концу 1920-х годов в ТБ-3. Казалось, на этом следовало остановиться, но Туполев пошел на дальнейшее развитие схемы ТБ-1, создав в 1933 году по образу и подобию шестимоторный бомбардировщик ТБ-4, и открыл тем самым регрессивную линию тяжелых машин.

Вопрос о дальнейшем повышении грузоподъемности самолетов (до 25 тонн) был поднят военными осенью 1929 года. Однако, спустя несколько месяцев, заказчик пришел к выводу, что это не реально, но вполне возможна постройка самолета грузоподъемностью десять тонн. В итоге в том же году военные заказали ЦАГИ тяжелый бомбардировщик ТБ-6 (АНТ-16).

Вход
Поиск по сайту
Ищем:
Календарь