Книга Тонкая физика. Масса, эфир и объединение всемирных сил, страница 55 – Фрэнк Вильчек

Авторы: А Б В Г Д Е Ж З И Й К Л М Н О П Р С Т У Ф Х Ч Ш Ы Э Ю Я
Книги: А Б В Г Д Е Ж З И Й К Л М Н О П Р С Т У Ф Х Ц Ч Ш Щ Ы Э Ю Я
Бесплатная онлайн библиотека LoveRead.in

Онлайн книга «Тонкая физика. Масса, эфир и объединение всемирных сил»

📃 Cтраница 55
Назад во тьму

Великим, а возможно, и величайшим открытием астрономии было то, что далекие звезды и туманности состоят из точно такого же вещества, что мы находим на Земле. Однако в последние десятилетия астрономы частично опровергли эту базовую истину. Они обнаружили, что источником примерно 95 % массы Вселенной является что-то другое. Новые формы материи, не состоящие из электронов, фотонов, кварков и глюонов, ответственны за 95 % массы Вселенной.

Новое вещество встречается по крайней мере в двух разновидностях, называемых темной материей и темной энергией. Это не очень подходящие названия, потому что одной из немногих вещей, которые мы знаем об этом веществе, является то, что оно не темное — оно не поглощает свет в какой-либо заметной степени. Не наблюдалось и излучение света этим веществом. Оно кажется совершенно прозрачным. Не наблюдалось также, что это вещество испускает протоны, электроны, нейтрино или космические лучи любого рода. Короче говоря, и темная материя, и темная энергия взаимодействуют с обычной материей очень слабо, если вообще взаимодействуют. Обнаружить их можно единственным способом — по гравитационному влиянию на орбиты обычных звезд и галактик, то есть того, что мы видим.

О темной материи мы знаем очень мало. Она может состоять из суперсимметричных частиц, как я говорил ранее, или из аксионов. (Мне очень нравятся аксионы, отчасти потому, что я дал им название. Я использовал эту возможность, чтобы исполнить мечту своей юности. Я заметил стиральный порошок под названием Axion, которое звучало для меня как название частицы. Поэтому, когда в теории возникла частица, которая очищала теорию от проблемы аксиального тока, я воспринял это как знак свыше. Проблема заключалась в том, чтобы проскочить мимо печально известных консервативных редакторов журнала Physical Review Letters. Я сказал им об аксиальном токе, но не о стиральном порошке, и это сработало.) Проводятся смелые эксперименты, и, если повезет, то через несколько лет у нас будет гораздо более четкое представление о том, что собой представляет темная материя.

О темной энергии нам известно еще меньше. Похоже, что она распределена совершенно равномерно, с одинаковой плотностью везде и всегда, как если бы она представляла собой неотъемлемое свойство пространства-времени. В отличие от любого обычного вида материи (даже суперсимметричных частиц или аксионов) темная энергия оказывает отрицательное давление. Она пытается разорвать вас! К счастью, несмотря на то, что на темную энергию приходится примерно 70 % массы всей Вселенной, ее плотность составляет всего лишь около 7 × 10–30 плотности воды, а ее отрицательное давление отменяет лишь 7 × 10–14 нормального атмосферного давления — меньше, чем триллионную часть. Я не знаю, когда у нас будут более четкие представления о том, что такое темная энергия. Думаю, не очень скоро. Но надеюсь, что я ошибаюсь.

Последнее слово

Я показал вам свой самый гладкий камешек, самую красивую раковину и непознанный океан. Надеюсь, они вам понравились. В конце концов, это ваш мир.


Приложение A. Частицы имеют массу, а мир — энергию

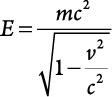
Как мы обсуждали в главе 3, закон E = mc2 выполняется для изолированных тел в состоянии покоя. Для движущихся тел правильным уравнением, связывающим массу с энергией, является:

Иллюстрация к книге — Тонкая физика. Масса, эфир и объединение всемирных сил [img_91.jpg]
,

где v — скорость.

Для покоящегося тела (v = 0) это уравнение превращается в E = mc2.

Когда тело, например протон или электрон, ускоряется, скорость (v) обычно изменяется, но масса (m) остается неизменной. Следовательно, в соответствии с уравнением изменяется энергия (Е).

На первый взгляд это может показаться противоположным тому, о чем говорится в книге. Мы сказали, что сохраняется энергия, а не масса. В чем проблема?

Сохранение энергии касается систем, а не отдельных тел. Совокупная энергия системы тел включает энергию движения (заданную формулой выше) и члены «потенциальной энергии», которые отражают взаимодействия между телами. Компоненты потенциальной энергии задаются другими формулами, которые зависят от расстояний между телами, их электрических зарядов и, возможно, от других вещей. Сохраняется только совокупная энергия.

Изолированное тело имеет постоянную скорость. Это первый закон движения Ньютона, который, в отличие от его нулевого закона, все еще кажется действительным. Когда тело изолировано, мы можем рассматривать его как систему. Таким образом, энергия тела должна сохраняться, и, согласно формуле, так и есть.

И наоборот, когда изменяется скорость тела, само это изменение является сигналом того, что оно не изолировано. Видимо, какое-то другое тело воздействует на него, что обусловливает изменение скорости. Действие одного тела на другое, как правило, передает энергию между ними. Сохраняется только совокупная энергия, а не энергия каждого тела в отдельности.

Когда мы создаем протон из кварков и глюонов, эти концепции объединяются. С фундаментальной точки зрения покоящийся протон представляет собой сложную систему из взаимодействующих кварков и глюонов. По отдельности кварки и глюоны имеют очень малую массу. Это, однако, не мешает всей системе иметь значительную энергию. Назовем ее E. Она сохраняется во времени, пока вся система, то есть протон, остается изолированной. В качестве альтернативы мы можем рассматривать изолированный протон как черный ящик: «тело» с массой m. Эти две величины, возникающие в альтернативных описаниях, связаны соотношением E = mc2 (или m = E / c2).

В главе 2 мы рассмотрели драматическое нарушение закона сохранения массы. Электрон и позитрон аннигилируют, и на выходе получается набор частиц, суммарная масса которых в 30 000 раз превышает массу исходных. Тем не менее энергия сохраняется. Скорости исходного электрона и позитрона были очень близки к скорости света. Поэтому согласно общему уравнению массы-энергии их энергия очень велика — намного больше mc2. Частицы, которые возникают в результате столкновения, хотя и являются более массивными, движутся немного медленнее. Когда вы складываете их энергии, рассчитанные по уравнению массы-энергии, сумма соответствует совокупной энергии исходного электрона и позитрона. (Как только частицы вылетают и разделяются, взаимодействие, или потенциальная энергия, становится пренебрежимо мало.)

Наконец, чтобы завершить обсуждение отношения между массой и энергией, мы должны рассмотреть конкретный случай частиц с нулевой массой. Важными примерами являются фотоны, цветные глюоны и гравитоны. Такие частицы движутся со скоростью света. Если мы попытаемся включить в наше общее уравнение массы-энергии m = 0 и v = c, то и числитель, и знаменатель в правой части обнуляются и мы получаем бессмысленное отношение E = 0/0. Правильный результат состоит в том, что энергия фотона может иметь любое значение. Фотоны c различной энергией не отличаются ни по скорости, которая всегда является скоростью света c, ни, разумеется, по массе, которая всегда обращается в ноль, но по частоте (то есть по скорости, с которой колеблются лежащие в основе электрическое и магнитное поля). Энергия фотона E пропорциональна частоте v света, который он представляет. Если точнее, то они связаны уравнением Планка — Эйнштейна — Шрёдингера E = hv, где h — это постоянная Планка.

Вход
Поиск по сайту
Ищем:
Календарь