Книга Тайны чисел. Математическая одиссея, страница 66 – Маркус Дю Сотой

Авторы: А Б В Г Д Е Ж З И Й К Л М Н О П Р С Т У Ф Х Ч Ш Ы Э Ю Я
Книги: А Б В Г Д Е Ж З И Й К Л М Н О П Р С Т У Ф Х Ц Ч Ш Щ Ы Э Ю Я
Бесплатная онлайн библиотека LoveRead.in

Онлайн книга «Тайны чисел. Математическая одиссея»

📃 Cтраница 66

Для отклонения мяча в полете влево Карлос нанес такой удар, чтобы левая сторона вращалась к нему (ось вращения вертикальна и проходит через центр мяча). Закрученность мяча затем, по существу, приводила к тому, что воздух быстрее обтекал мяч слева, уменьшая давление, – то же самое происходит над самолетным крылом. Давление на другой стороне мяча, напротив, возросло, потому что скорость воздуха там была меньше, ведь та сторона закручивалась навстречу потоку воздуха. Результатом увеличенного давления справа была сила, толкавшая мяч влево, которая в конечном счете и занесла мяч в сетку ворот.

Тот же принцип используется для того, чтобы заставить мяч для гольфа лететь дальше, чем предсказывается уравнениями, сформулированными Галилеем. Но на сей раз ось вращения горизонтальна и перпендикулярна скорости мяча. Когда клюшка наносит удар по мячу, лежащему на колышке, его нижняя часть закручивается в направлении полета. Это снижает скорость обтекающего воздуха и в силу эффекта Бернулли увеличивает давление под мячом. Так и создается направленная вверх сила, противодействующая гравитации, словно обусловленная вращением рука помощи подхватывает мяч и несет как можно дальше.

Но мы еще не включили в наше рассмотрение один ингредиент: сопротивление воздуха. Именно оно позволяет объяснить, почему мяч, запущенный Карлосом, отклонился влево настолько поздно. Как и в случае подъемов и спадов численности леммингов, секрет волшебного трюка Карлоса связан с переходом от хаотического поведения к регулярному. Поток воздуха за мячом может быть либо хаотическим, либо регулярным. Хаотический поток воздуха называется турбулентным. Он возникает, когда мяч движется очень быстро. Регулярный поток воздуха называется ламинарным, он реализуется при меньших скоростях. Переключение с одного вида потока на другой зависит от типа мяча.

Вы можете сами довольно легко увидеть эти виды воздушных потоков, реализующиеся при разных скоростях. Идите спокойно по прямой линии, держа в руках флаг (или полосу ткани) так, чтобы он находился за вами, и посмотрите, как он колышется. Теперь сделайте то же самое со значительно большей скоростью. Вы можете либо высунуть флаг за окно машины, либо бежать с максимальной скоростью навстречу ветру. Теперь флаг будет сильно биться из стороны в сторону. Причиной изменения является то, что воздух, обтекающий какой-либо предмет, например флаг, ведет себя по-разному при разных скоростях. При малых скоростях поток воздуха легко предсказуем, но при больших скоростях он становится заметно хаотичнее.

Но как влияет на летящий футбольный мяч переключение с турбулентного обтекания на ламинарное? Оказывается, что в турбулентном случае воздух оказывает меньшее сопротивление футбольному мячу. Поэтому, когда мяч движется быстро, его вращение не оказывает существенного влияния на изменение его скорости, словно эффект Магнуса уменьшен на этом участке траектории. Но, когда мяч замедляется и проходит точку переключения, турбулентное обтекание уступает место ламинарному, приводящему к значительно большему сопротивлению [20]. При этом переходе сопротивление воздуха возрастает на 150 %. Теперь начинает сильнее сказываться и вращение мяча, неожиданно мяч более заметно отклоняется в сторону. Дополнительное сопротивление также увеличивает подъемную силу, приводя к усилению эффекта Магнуса, и мяч все заметнее толкается в сторону.

Иллюстрация к книге — Тайны чисел. Математическая одиссея [i_169.jpg]

Рис. 5.13. Хаотическая турбулентность приводит к меньшему сопротивлению среды, чем регулярное обтекание, называемое ламинарным


Роберто Карлосу требовалось выполнить штрафной не слишком близко к воротам, чтобы он мог нанести удар достаточно сильно для осуществления турбулентного обтекания и чтобы при этом у мяча было время замедлиться, не покидая поля. Когда мяч летит после удара со скоростью 110 км/ч, поток воздуха вокруг него хаотичен, но примерно в середине траектории он замедляется и турбулентность исчезает. Включается торможение, проявляется воздействие вращения мяча, и Бартез капитулирует.

Но данная математика влияет не только на футбол. Наши путешествия также подвержены хаосу, в особенности в воздухе. Большинство людей связывают слово «турбулентность» с просьбой пристегнуть ремни, поскольку они входят в зону, где хаотические потоки воздуха будут их кидать в разные стороны. Самолеты движутся значительно быстрее футбольных мячей, и хаотический поток воздуха, обтекающий их крылья, – турбулентный поток – увеличивает лобовое сопротивление самолета, что приводит к большему расходу топлива и дополнительным затратам.

По результатам одного исследования, снижение турбулентного сопротивления на 10 % могло бы увеличить размер прибыли авиакомпаний на 40 %. Авиаконструкторы всегда ищут способы изменить текстуру поверхности крыла, чтобы поток воздуха стал менее хаотическим. Одна идея состояла в том, чтобы сделать на крыле крошечные параллельные бороздки, расположенные так же плотно, как бороздки на грампластинке. Другое предложение заключалось в нанесении на поверхность крыла миниатюрных зубчиков, называемых дентикулами. Интересно, что кожа акулы покрыта естественными дентикулами, что демонстрирует приоритет природы над инженерами в открытии способа снизить сопротивление среды.

Хотя она изучалась крайне интенсивно, турбулентность, возникающая при движении мяча или крыла самолета, по-прежнему остается одной из самых больших тайн математики. Есть хорошая новость: мы сумели написать уравнения, определяющие поведение воздуха или жидкости. Плохая новость состоит в том, что никто не знает, как их решать! Эти уравнения важны не только для личностей вроде Бекхэма и Карлоса. Многим нужно решать их: синоптикам – чтобы предсказывать воздушные потоки в атмосфере, врачам – чтобы понимать кровообращение в теле, а астрофизикам – чтобы разобраться в эволюции звезд в галактиках. Все эти явления контролируются одной и той же математикой. В настоящее время метеорологи, конструкторы и другие пользуются лишь приближенными методами, но, поскольку за этими уравнениями прячется хаос, небольшая ошибка может сильно повлиять на результат – и предсказания будут совершенно ошибочны.

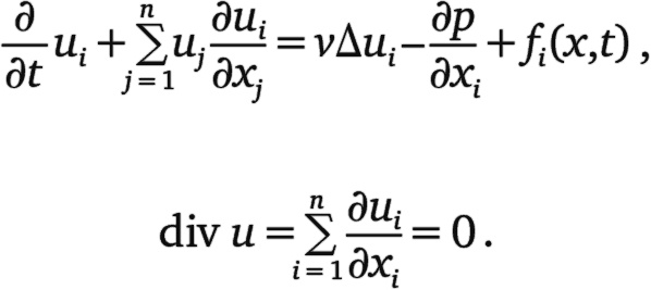
Эти уравнения называются уравнениями Навье – Стокса в честь сформулировавших их двух математиков XIX в. Их нельзя назвать простыми. Распространенная форма записи этих уравнений выглядит так:

Иллюстрация к книге — Тайны чисел. Математическая одиссея [i_170.jpg]

Если вам незнакомы некоторые из символов в этих уравнениях, не печальтесь – немногие люди понимают их! Но для тех, кто сведущ в языке математики, эти уравнения играют ключевую роль в предсказании будущего. Они настолько важны, что первому человеку, решившему их, будет вручена премия в миллион долларов.

Вход
Поиск по сайту
Ищем:
Календарь