Онлайн книга «Тайны чисел. Математическая одиссея»
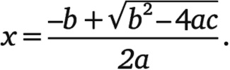
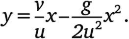
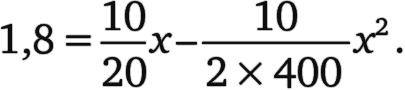
![]() Рецепт представляет набор математических инструкций по обработке всех этих чисел, результатом чего является высота мяча в определенной точке его траектории. Для того чтобы Руни мог выяснить, как далеко он должен стоять от места штрафного для удара с лета по мячу ногой или головой, он должен провести расчет в обратном направлении и решить уравнение на x. Предположим, он решил ударить по мячу головой. Рост Руни составляет примерно 1,80 м, так что мяч должен быть на высоте y = 1,80 м, если Уэйн хочет ударить по нему без прыжка. Он знает, каковы u, v и g. Давайте выберем некоторые приблизительные числа: u = 20, v = 10, g = 10. Для тех из вас, кто беспокоится из-за единиц измерения, замечу, что скорости u и v измеряются в метрах в секунду (м/с), а ускорение g – в метрах в секунду в квадрате (м/с²). Единственное, чего не знает Руни, – на каком расстоянии от Бекхэма он должен стоять, чтобы правильно перехватить мяч. Но в уравнении закодирована эта информация, правда, она не столь очевидна. Уравнение говорит, что Руни должен стоять от Бекхэма в х метрах, где число х таково, что выполняется равенство: ![]() Немного прихорошив это выражение, мы придем к x² – 40x + 144 = 0. Уравнение такого вида должно казаться знакомым – мы все учили в школе, как решать квадратные уравнения. Можно представить, что в нем закодировано истинное значение х. Поразительно, что первыми людьми, которые начали решать уравнения вроде этого, были древние вавилоняне. Их квадратные уравнения не описывали траектории полета футбольных мячей, но возникли при измерении земельных участков вокруг Евфрата. Квадратное уравнение возникает, когда мы пытаемся узнать какую-либо величину, которая до того была умножена сама на себя. Мы называем эту процедуру возведением в квадрат, потому что она определяет площадь квадрата. Именно в контексте вычисления площадей земельных участков были впервые сформулированы квадратные уравнения. Вот типичная задача. Если площадь прямоугольного поля 55 квадратных единиц, а одна сторона короче другой на 6 единиц, какова длина большей стороны прямоугольника? Если мы обозначим бо́льшую сторону x, то условие задачи говорит нам, что x × (x – 6) = 55, или, делая упрощения: x² – 6x – 55 = 0. Но как выполнить декодирование этого математического шифра? Вавилоняне придумали изящный метод для решения этой задачи: они рассекали прямоугольник и перекладывали его части так, чтобы получился квадрат, а с этой формой легче обращаться. Мы можем разделить наше прямоугольное поле на участки так, как сделали бы вавилонские писцы тысячи лет назад (рис. 5.02). Начните с того, что отрежьте маленький прямоугольник размером 3 × (x – 6) единиц от края прямоугольника и поместите его снизу. Общая площадь не изменилась, поменялась лишь форма. Она почти представляет собой квадрат, не хватает лишь маленького квадратика размером 3 × 3 в углу. Если мы добавим этот маленький квадратик, то площадь формы увеличится на 9 единиц. Следовательно, площадь получившегося большого квадрата есть 55 + 9 = 64. Теперь нам предстоит решить простую задачу по извлечению квадратного корня из 64. Так мы находим, что длина стороны квадрата равна 8. Но эта же длина равна x – 3, поэтому x – 3 = 8, то есть x = 11. Хотя мы лишь перемещали воображаемые земельные участки, за этой процедурой лежит общий метод декодирования таинственных квадратных уравнений. После того как в IX столетии в Ираке была создана алгебра, можно было написать формулу, воспроизводящую вавилонский метод. Алгебра была развита возглавлявшим «Дом мудрости» в Багдаде человеком по имени Мухаммад ибн Муса аль-Хорезми. «Дом мудрости» был ведущим интеллектуальным центром своего времени, в него стремились ученые со всего мира для изучения астрономии, медицины, химии, зоологии, географии, алхимии, астрологии и математики. Мусульманские ученые собирали древние тексты и перевели многие из них, по существу, сохранив эти произведения для последующих поколений – без данного посредничества мы могли бы никогда не узнать о древних культурах Греции, Египта, Вавилона и Индии. Однако ученые «Дома мудрости» не довольствовались одними переводами чужих трудов по математике. Они хотели создать собственную математику и всячески способствовать продвижению этого предмета. ![]() Рис. 5.02. Решение квадратного уравнения путем дополнения до квадрата Интеллектуальное любопытство активно поощрялось в первые столетия мусульманской империи. Коран учил, что мирское знание приближало людей к знанию священному. Фактически религиозная практика требовала математических навыков, потому что праведным мусульманам было необходимо рассчитывать время молитв и определять направление к Мекке для должного совершения ритуалов. Алгебра аль-Хорезми революционизировала математику. Алгебра – это язык, объясняющий закономерности поведения чисел, грамматика которого лежит в основе их взаимодействия. Алгебра чем-то подобна коду для создания исполняемой программы, она будет работать, какие бы числа вы ни ввели. Хотя древние вавилоняне придумали искусный способ решения квадратных уравнений частного вида, именно алгебраическая формулировка аль-Хорезми в конечном счете привела к выражению, которое может быть использовано для решения любого квадратного уравнения. Всякий раз, когда у вас есть квадратное уравнение ax² + bx + c = 0, где a, b и c – некоторые числа, показанное геометрическое жонглирование может быть преобразовано в формулу, на одной стороне которой находится х, а на другой стороне – рецепт объединения чисел a, b и c: ![]() Именно эта формула позволяет Руни разобраться с уравнением, контролирующим полет мяча, и определить, на каком удалении он должен стоять. Когда мы покинули его, он понимал, что должен стоять на расстоянии х метров от места штрафного, где x² – 40 x + 144 = 0. Используя алгебру, он может вычислить, что должен стоять в 36 м от Бекхэма, чтобы перехватить мяч ударом головы. |
![Иллюстрация к книге — Тайны чисел. Математическая одиссея [i_146.jpg] Иллюстрация к книге — Тайны чисел. Математическая одиссея [i_146.jpg]](img/book_covers/070/70331/i_146.jpg)
![Иллюстрация к книге — Тайны чисел. Математическая одиссея [i_147.jpg] Иллюстрация к книге — Тайны чисел. Математическая одиссея [i_147.jpg]](img/book_covers/070/70331/i_147.jpg)
![Иллюстрация к книге — Тайны чисел. Математическая одиссея [i_148.jpg] Иллюстрация к книге — Тайны чисел. Математическая одиссея [i_148.jpg]](img/book_covers/070/70331/i_148.jpg)
![Иллюстрация к книге — Тайны чисел. Математическая одиссея [i_149.jpg] Иллюстрация к книге — Тайны чисел. Математическая одиссея [i_149.jpg]](img/book_covers/070/70331/i_149.jpg)