Книга Тайны чисел. Математическая одиссея, страница 34 – Маркус Дю Сотой

Авторы: А Б В Г Д Е Ж З И Й К Л М Н О П Р С Т У Ф Х Ч Ш Ы Э Ю Я
Книги: А Б В Г Д Е Ж З И Й К Л М Н О П Р С Т У Ф Х Ц Ч Ш Щ Ы Э Ю Я
Бесплатная онлайн библиотека LoveRead.in

Онлайн книга «Тайны чисел. Математическая одиссея»

📃 Cтраница 34

Поскольку отправной точкой игральных костей были бабки, не слишком удивительно, что некоторые из первых симметричных игральных костей изготавливались в форме тетраэдра с четырьмя треугольными гранями. В одной из первых известных нам настольных игр использовались такие пирамидальные кости.

Она называлась «Царской игрой Ура». Несколько ее игральных полей и пирамидальные кости были найдены британским археологом сэром Леонардом Вулли во время раскопок захоронений в древнем шумерском городе Уре (сейчас он находится на территории Южного Ирака). Гробницы относятся примерно к 2600 г. до н. э., игральные комплекты помещались туда, по всей вероятности, чтобы развлекать обитателей в их жизни после смерти. Замечательный образец этого комплекта представлен в экспозиции Британского музея в Лондоне. На игровом поле 20 клеток, по которым соперники, должно быть, перемещали свои фишки в соответствии с броском тетраэдрических игральных костей.

Правила этой игры оставались неизвестными вплоть до начала 1980-х гг., когда Ирвинг Финкель из Британского музея натолкнулся в его архиве на клинописную табличку, относящуюся к 177 г. до н. э. На обратной стороне таблички имелась зарисовка этой игры. Она была предшественником нард, каждый из игроков располагал определенным количеством фишек, которые он перемещал по полю. Но именно использовавшиеся игральные кости наиболее интересны с математической точки зрения.

Проблема, связанная с тетраэдрической игральной костью, в которой четыре треугольные грани, состоит в том, что при приземлении кость обращена вверх одной из своих вершин, а не гранью, как привычный для нас кубик. Чтобы пользоваться ими, два из четырех трехгранных углов помечались белыми точками.

Иллюстрация к книге — Тайны чисел. Математическая одиссея [i_084.jpg]

Рис. 3.04. Тетраэдрические кости из «Царской игры Ура»


Игроки бросали несколько пирамидок, и счет соответствовал количеству белых точек наверху. Подкидывание таких костей математически эквивалентно подкидыванию нескольких монет и подсчету количества выпавших орлов.

Ход «Царской игры Ура» сильно зависит от случайного исхода броска костей. В противоположность этому нарды, ее потомок, предоставляют соперникам возможность проявить искусство и стратегию, а не только полагаться на удачу при броске. Но первоначальная игра не исчезла полностью: недавно было обнаружено, что евреи в городе Коччи на юге Индии до сих пор играют в вариант «Царской игры Ура», 5000 лет спустя после состязаний в Древнем Шумере.

Нашли ли «Подземелья и драконы» все игральные кости?

Одной из новинок «Подземелий и драконов» (Dungeons & Dragons), настольной ролевой игры в жанре фэнтези, появившейся в 1970-х гг., был впечатляющий набор игральных костей. Но открыли ли изобретатели игры все возможные игральные кости? Когда мы изучаем, из каких форм получились бы хорошие кости, мы снова возвращаемся к вопросу из главы 2. Если все грани игральной кости представляют собой одинаковую симметричную фигуру и эти грани соединены так, что все вершины и ребра выглядят одинаково, то эта кость является одной из пяти форм: тетраэдром, кубом, октаэдром, додекаэдром или икосаэдром – Платоновым телом (с. 63). Вы можете найти все эти кости в игральном наборе «Подземелий и драконов» (и в PDF-файле, который можно загрузить с веб-сайта «Тайн 4исел»), но у нескольких из этих костей значительно более древнее происхождение.

Например, в 2003 г. на аукционе Christie’s была продана стеклянная игральная кость с двадцатью гранями, относящаяся к римским временам. Ее грани были покрыты странными символами, наводящими на мысль, что она скорее использовалась для предсказания судьбы, чем для игры. Икосаэдр лежит в основе одного из самых популярных в наши дни приспособлений для предсказания судьбы: магического шара 8 (Magic 8 Ball). Внутри шара, наполненного жидкостью, плавает икосаэдр с нанесенными на грани ответами на ваши вопросы. Вы задаете вопрос, трясете шар и, когда икосаэдр приближается к поверхности шара, читаете ответ. Диапазон ответов простирается от «бесспорно» до «даже не думай».

Если же вам нужны всего лишь честные игральные кости, то не нужно быть придирчивым из-за расположения граней. Например, в «Подземельях и драконах» есть игральная кость, представляющая собой две пирамиды с пятиугольными основаниями, соединенными друг с другом. Эта игральная кость имеет одинаковый шанс 1 из 10 приземлиться на любую из ее десяти треугольных граней. Она не является Платоновым телом, потому что вершина у макушки каждой из пирамид отличается от остальных вершин: в ней сходятся пять треугольников, в то время как в вершинах на соединенных основаниях сходится по четыре треугольника. Тем не менее данная игральная кость справедлива: она с равной вероятностью приземляется на каждую из своих десяти граней.

Математики исследовали, из каких других форм получатся честные игральные кости. Относительно недавно было доказано, что если у игральной кости по-прежнему остается какая-то симметрия, то в дополнение к Платоновым телам имеется 20 других форм плюс пять бесконечных семейств игральных костей.

Иллюстрация к книге — Тайны чисел. Математическая одиссея [i_085.jpg]

Рис. 3.05. Симметричные формы, из которых получаются хорошие игральные кости


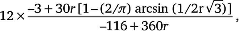
13 из этих дополнительных 20 форм связаны с теми, из которых выходят замечательные футбольные мячи, – Архимедовыми телами из главы 2. Напомним, что грани Архимедовых тел симметричны, но могут быть разной формы. Из них получаются хорошие мячи, но они не совсем подходят для игральных костей. У классического футбольного мяча 32 грани: 12 пятиугольников и 20 шестиугольников. Не получится ли честная игральная кость, если просто написать на этих гранях числа от 1 до 32? Проблема состоит в том, что каждый пятиугольник имеет вероятность быть избранным приблизительно 1,98 %, в то время как каждый шестиугольник – приблизительно 3,81 %. Лишь в последнее десятилетие математики вывели точную формулу для вероятности того, что у игральной кости при ее приземлении наверху окажется какой-либо из пятиугольников. Впечатляющий геометрический расчет привел к следующему устрашающему ответу:

Иллюстрация к книге — Тайны чисел. Математическая одиссея [i_086.jpg]

где r = ½ [2+sin²(π/5)]1/2.


Архимедовы тела сами по себе не будут честными игральными костями, но их можно использовать для построения различных форм, которые предоставят на выбор азартных людей новые игральные кости. Ключевым является понимание того, что, хотя в Архимедовом теле грани могут быть разными, вершины в нем одинаковы. Далее используется прием под названием дуальность, переводящий вершины в грани и наоборот. Чтобы представить, какой будет грань у дуального (двойственного) многогранника, вообразите листы картона, помещенные в каждой вершине, затем нужно проследить за пересечением различных листов. Каждый лист картона должен быть ориентирован так, что он перпендикулярен линии, проходящей из центра формы в данную вершину. Например, дуальным многогранником к додекаэдру будет икосаэдр (рис. 3.06).

Вход
Поиск по сайту
Ищем:
Календарь