Книга Вся фигня - от мозга?! Простая психосоматика для сложных граждан, страница 59 – Василий Чибисов

Авторы: А Б В Г Д Е Ж З И Й К Л М Н О П Р С Т У Ф Х Ч Ш Ы Э Ю Я
Книги: А Б В Г Д Е Ж З И Й К Л М Н О П Р С Т У Ф Х Ц Ч Ш Щ Ы Э Ю Я
Бесплатная онлайн библиотека LoveRead.in

Онлайн книга «Вся фигня - от мозга?! Простая психосоматика для сложных граждан»

📃 Cтраница 59

Возьмем слабоагрессивную трансформу влечения (рис. 9.7) и уберем оттуда объект (рис. 9.14). Цель можно не трогать, она и так вытеснена и недоступна сознанию. Представления обращают свой либидозный взор на центральный объект, ожидая найти там готовую к мазохизму часть Сверх-Я. Или хотя бы ту часть Я, которая претендует на повышение до Идеала.

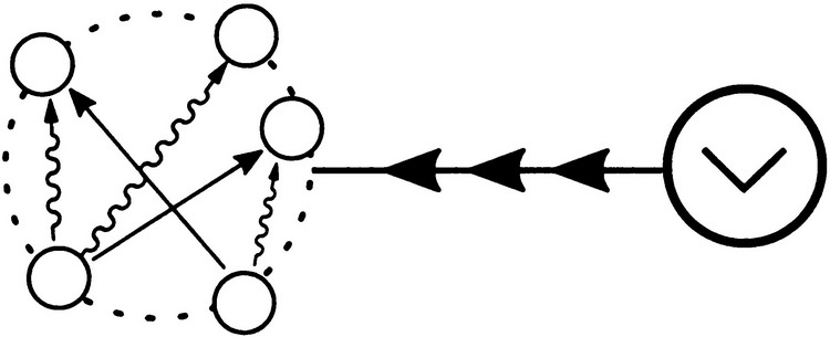
Иллюстрация к книге — Вся фигня - от мозга?! Простая психосоматика для сложных граждан [i_046.jpg]

Рис. 9.14. Объект слабой агрессии непредставим, поэтому отсутствует его представление. Участники блокады атакуют друг друга


Механизм, описанный в параграфе 9.4, уже не работает. Во-первых, не видя адресата, маленькие отправители либидо не могут заранее отрегулировать мощность своих агрессивных импульсов. Поэтому с диссипацией энергии возникают некоторые трудности. Во-вторых, внешний агрессор, как мы помним, потратил много времени и ресурсов, чтобы отучить нас от агрессии, от агрессивной защиты. Если у него это не получилось, то и обсуждать нечего. А если получилось, то либидо передается без диссипации. В-третьих, представления Я случайно атакуют друг друга. Кванты либидо от одного «стрелка» не поглощаются объектом (он не представлен!), а летят дальше и попадают в других участников блокады.

Что происходит дальше с нашим Я, нетрудно представить. Одни аспекты нашей активности произвольно противопоставляются другим аспектам. Например, при алекситимии эмоции воспринимаются как помеха карьерному росту, хотя последний невозможен без напряжения эмоциональной сферы. При переедании приятные вкусовые ощущения противопоставлены представлениям о сильной волевой личности. Хотя как раз волевые личности имеют сильную волю к удовольствиям, в том числе гастрономическим. Александр Дюма, проявлявший колоссальную писательскую волю и бывший любимцем дам, ни разу не пытался сдержать свой рост вширь.

Влияние фактора непредставимости на пассивную агрессию мы фактически разобрали в четвертой и пятой главах. Внешний агрессор хочется подставиться под потоки нашей психической энергии, чтобы обрести статус идеала. При этом самозванцу важно ограничить подвижность нашего либидо, чтобы агрессия носила исключительно внутренний характер (иначе в рамках внешней агрессии самозванец рискует огрести). Идентификация с внешним непредставимым агрессором невозможна. Поэтому психика пытается отождествить Я с каким-то заведомо нереалистичным образом. Чаще это вовсе не образ, а набор чужих требований.

Последние могли бы иметь право на жизнь, если бы их автор нашел себе местечко среди наших представлений. Но требования исходят от агрессора, которого психика не может интроецировать. Поэтому здравые советы трансформируются в бессознательный патогенный материал. Замечали, как сказанная ядовитым или менторским тоном фраза разбивается об эмоциональную блокаду, не достигая сознания? Это может быть сколь угодно ценная информация, но для психики важнее аффект. А какие могут быть аффекты у нравоучений, прочитанных через губу?

Короче говоря, психосоматика может возникать по причине нашей собственной искаженной агрессии (либо слабой, либо пассивной). Это маловероятно, но возможно. Подобные расстройства крайне ситуативны и легко поддаются анализу или самоанализу. Любая практика заботы о себе — и нейронные связи перестраиваются, самостоятельно избавляя вас от проблемы.

Но наличие внешнего агрессора гарантирует вам развитие психосоматических проблем, притом на любом этапе трансформации влечений. Внешний агрессор сам почти всегда испытывает проблемы с выражением агрессии. В его (ее) психике преобладают пассивно-агрессивные и слабоагрессивные структуры. И агрессор будет использовать любую возможность, чтобы и у вас в голове тоже наступил подобный бардак. Психическую атаку на вас и вашу свободу внешний агрессор называет «воспитанием». И ваши психосоматические проявления — это естественная психическая защита от патогенного воспитания. А что остается? Капитулировать? Интроецировать агрессора на его условиях? Принять деструктивную систему идеалов? Но это чревато развитием настоящих психических патологий.

Поэтому надо предварительно обезвредить, обесценить агрессора, снизить его влияние на вашу психику, ваше личное пространство, ваши социальные связи. И совершать интроекцию на своих условиях. Вы уже знаете как минимум один действенный способ — сплетни (параграф 6.1). Как говорят математики, проблема легко сводится к задаче о работе с вашей внутренней агрессией (слабой или пассивной) и вашей же внешней агрессией. Желательно — в адрес агрессора. Такую ответную агрессию, которая ведет к вашему психическому благополучию, мы будем называть сепарационной агрессией, или просто сепарацией.

Итак, вы получили элитную теоретическую подготовку, а мы за ваш читательский счет озвучили свою теорию агрессии и получили удовольствие от диаграммной техники. Мы рассмотрели отдельные случаи из жизни и практики, дали пару советов. Теперь можно заняться препарированием личности внешнего агрессора и понаблюдать за его поведением в семье и обществе.

Мы потратили несколько глав на качественную и самоценную теорию. Следующая глава будет сугубо практической и тактической. Ведь клиенту теория не нужна. И практика его тоже не особо волнует. Клиент хочет разработать тактику борьбы за свою свободу, за свое счастье, за свою сепарацию. И наш долг, как психоаналитика, помочь клиенту одержать молниеносную победу в этой тотальной борьбе.

Глава 10. Хочешь большой и победоносной? Si vis расет, para bellum
10.1. Анализ делает свободным

Итак, наши цели определены, задачи поставлены: помочь клиенту отвоевать свое право на ответную агрессию, право сепарироваться от внешних агрессоров. Психосоматические клиенты приходят не за утешением, советом или сочувствием. Утешение оставьте для социальных психологов, советами вас и так накормят слабые агрессоры, а сочувствия к врагам нашего развития нет и быть не может.

Что, недостаточно нейтрально? Мы слишком откровенно подталкиваем клиента к освобождению агрессии? Мы разве не миротворцы? Не должны ли мы быть толерантными? К кому? К агрессорам, к воплощенной угрозе для нашей психической свободы и душевного здоровья? Конечно же, мы не толерантны! Мы не будем толерантными. Мы не хотим быть толерантными. Мы не потерпим толерантности!

Wir wollen nicht tolerant sein!

Страшно? А представляете, как страшно чувствительным натурам годами жить под пятой пассивно-агрессивных нытиков, моралистов, тихих деспотов? Сколько вашего либидо выпили эти господа, эта шизофреногенная клика! Каждая ваша психосоматическая проблема — на их совести. И сверхзадача психоанализа — освободить вас из этой паутины пассивной агрессии, снабдить вас всем необходимым вооружением для ведения победной тотальной войны за сепарацию. К чему вся эта политическая шумиха вокруг Шотландии и Каталонии, если субъект в западном обществе все глубже увязает в трясине патогенных социальных отношений?

Вход
Поиск по сайту
Ищем:
Календарь