Онлайн книга «Вся фигня - от мозга?! Простая психосоматика для сложных граждан»
|
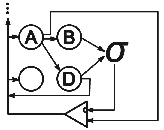
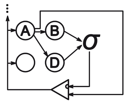
Сам термин «отрицательная обратная связь» можно понимать чисто математически. Сигнал от нейронов сигмы в синапсах «треугольника» меняет знак на минус. Психика как бы спрашивает соматику: «Тебе ещё что-нибудь надо?» И ответ «нет, не надо», отрицательный грамматически, является положительным по содержанию. Не надо — так не надо! Треугольные нейроны просыпаются и передают тормозящий сигнал на вход нейрону А, замыкая петлю и прекращая лишнюю активность. Но, согласитесь, было бы странно, если бы нейронная сеть тормозила свою активность, не дождавшись результата. Поэтому на вход треугольника приходит сигнал с выхода нейрона А, но не с минусом, а с плюсом. Нейрон А как бы страхуется, посылая копию своего запроса не только подчинённому В, но и контролирующему органу. И если мы сильно чего-то хотим, а соматическая система откликается очень вяло, то контролирующий орган берёт и контролирует, посылая нейрону А и группе случайных нейронов (во втором слое) мощный живительный импульс. Как видите, всё довольно просто. В треугольнике происходит элементарное сравнение воздействия на соматику и соматического отклика. Ведь что значит сравнить две величины? Вычесть одну из другой и посмотреть на знак разности. По итогам сравнения принимаются меры, чтобы скомпенсировать разницу сигналов. Идеальным (но неустойчивым) состоянием является «послушное тело», когда прохождение сигмы превращает импульс В в точную копию импульса А. Тогда на треугольнике повисает полный ноль (попробуйте вычесть любое число из самого себя, если не верите). Всё сказанное верно и для цепочки нейронов С и D, если бы нейрон С тоже проснулся и захотел (нет, уже не воды) шоколада. Но нейрон на диете, поэтому спит. А если вас смущает, что треугольник реагирует на отрицательный входной сигнал возбуждением, а не торможением, то это прекрасно. Вы нашли «ошибку» и можете исправить её вместе с автором в конце этого параграфа. Второй сценарий Всё то же самое, но подождите, что это за паразитная связь? Почему нейрон А вдруг посылает сигнал не только нейрону В, но и нейрону D? А вот так. Ассоциативная связь, сэр. Травматический опыт, замещение, стресс, бессознательное воздействие рекламы, просто информационный шум. Причин может быть множество. Важен эффект. Теперь, когда возбуждается нейрон А, его импульс распространяется не только по генеральной линии А – В–сигма, но и по линии А – D–сигма. ![]() Рис. 2.8. Схема с паразитной ассоциативной связью Но сигма — это не отдельный нейрон, это целая система. Поэтому субъект, помимо полезной активности, совершает бесполезные (или вредные) действия. Вот так шли вы на кухню за водичкой, а вернулись в спальню с тремя плитками шоколада. Кто виноват? Водичка виновата. Без паники. Треугольник не дремлет. На его вход подаётся (по-прежнему) всего один положительный сигнал от нейрона А (нейрон С спит, поэтому от него на треугольник приходит ноль). Отрицательный сигнал стал в два раза больше, что сигнализирует о какой-то подозрительно бурной деятельности со стороны сигмы. Минус побеждает, и второй слой получает команду остановиться и положить шоколадку на место. Или отказаться от стакана воды. Тут как повезёт. Третий сценарий А вот теперь происходит безобразие. Нейрон D, который был случайно вовлечен в мошенническую схему с шоколадом, вдруг начинает испытывать чувство вины. Он мало того что возбуждается, так ещё и даёт обратную связь прямо нейрону А. Мол, прости, виноват. ![]() Рис. 2.9. Схема с паразитной петлей самовозбуждения от нейрона D к нейрону А К чему это приводит? Конечно, к сбою механизма работы над ошибками. Треугольник теперь бесполезен. Вернее, он полезен, но его забьёт сигнал от нейрона D. Потому что разностный сигнал почти всегда слабее обычного сигнала. И если нейрон своё чувство вины выражает в чистом возбуждении, то нейрон А получает на вход ещё больше потенциала. И поедание шоколада продолжается усиленными темпами. Если же нейрону D хватит ума подогнать к синапсу с А тормозящие медиаторы, что ж… Человек вернётся из кухни ни с чем. Бросит пить. И это не смешно. Одна клиентка так и говорила: «Я боюсь ходить на кухню за водой, потому что в холодильнике меня ждёт шоколад». И держала у себя в комнате пятилитровую канистру с водой. Психоанализ помог распутать эту проблему. К великой радости всех любителей открыть дверцу холодильника и позагорать под лампочкой с печальным видом. Но прибережём хеппи-энды для красивого завершения главы. Мы поняли, как важна для психики обратная связь и как она беспомощна перед перехватом со стороны особо буйных нейронов. Осталось понять, как её починить. Кстати, будь у нас всего одна извилина (один слой нейронов), то никаких перекрестных связей не могло бы возникнуть в принципе. Ведь нейроны могут связываться только с соседями из соседних слоев. Поэтому если вы страдаете от лёгкой психосоматики, то вас нужно поздравить. Вы — как минимум! — не примитивны. Дополнение для внимательных Возвращаемся к треугольному безобразию. Как же так? Мы говорили, что на выходе нейрона либо ноль, либо единица, а тут прямо на выходе идут отрицательные сигналы! И ещё мы говорили, что на входе должна быть достаточно большая сумма. Если подавать на вход отрицательный импульс, это только затормозит нейрон, но никак не побудит к действию. Поэтому мы специально пометили особенный нейрон треугольником. Это группа обычных нейронов. К ним на вход приходят сигналы и от А, и от σ. Но часть нейронов группы принимает сигналы от А с плюсом, а от σ с минусом. Другая часть — наоборот. Следовательно, когда импульс А достаточно больше сигмы, просыпается первая подгруппа, вторая спит. В обратном случае — наоборот. В остальных случаях (когда А и сигма не сильно отличаются) спят обе подгруппы. В простейшем случае в каждой подгруппе по одному нейрону. ![]() Рис. 2.10. Принцип действия обратной связи. а) Пример взаимодействия с нейроном А. Кружочком у нейронов обозначен тормозящий вход, то есть дендрит, где господствуют тормозящие медиаторы. б) Действие обратной связи на нейрон А, в зависимости от разности между активностью нейрона А и активностью сигмы Результирующее воздействие группы на нейрон А эквивалентно действию простенького разностного элемента (где сигма подаётся на инвертированный вход). Функцию активации легко построить (если вы читаете этот дополнительный материал, то для вас это точно легко). На рисунке приведены графики для случаев, когда функция активации одиночного нейрона — ступенька и сигмоид соответственно. Кстати, в окрестности нуля на втором графике отклик линейно зависит от разности входных сигналов. |
![Иллюстрация к книге — Вся фигня - от мозга?! Простая психосоматика для сложных граждан [i_012.jpg] Иллюстрация к книге — Вся фигня - от мозга?! Простая психосоматика для сложных граждан [i_012.jpg]](img/book_covers/068/68822/i_012.jpg)
![Иллюстрация к книге — Вся фигня - от мозга?! Простая психосоматика для сложных граждан [i_013.jpg] Иллюстрация к книге — Вся фигня - от мозга?! Простая психосоматика для сложных граждан [i_013.jpg]](img/book_covers/068/68822/i_013.jpg)
![Иллюстрация к книге — Вся фигня - от мозга?! Простая психосоматика для сложных граждан [i_014.jpg] Иллюстрация к книге — Вся фигня - от мозга?! Простая психосоматика для сложных граждан [i_014.jpg]](img/book_covers/068/68822/i_014.jpg)