Онлайн книга «Факультет. Курс третий»
|
– Нет проблем! – Кирилл проводил его взглядом, еле сдерживая смех. – Воистину, пока человек дорастет до полковника, все его юмористические извилины становятся похожими на кирзовый сапог. И другие тоже, извилины – не слишком отличаются от юмористических, кирзовых. * * * – И нафига, спрашивается, я их взял? – Кирилл смотрел на свои «боевые цацки»: Орден за Заслуги Перед Отечеством IV степени и Медаль за Отличие в Специальных Операциях. – Что-то я не вижу парадного плаца, по которому я смог бы пройти, гремя медалями и чеканя стройно шаг! Кирилл вспомнил, как Щербень посоветовал ему взять с собой награды. Павел Иванович особенно настойчиво рекомендовал это сделать – что было для него необычно. И Кирилл послушался, хотя так до сих пор и не понял – а зачем? – Ну, да и бог с ним. – Кирилл аккуратно уложил орден и медаль обратно в сумку и от нечего делать завалился на кровать. Повалялся минут пятнадцать и взялся за учебник «Основы оптики». Он не собирается понапрасну терять время – лучше почитать материал, чтобы потом – под сессию – не пришлось бегать, как ошпаренному, и пытаться выучить кучу предметов. А то, что сессия – несмотря на все политические и, возможно, военные передряги -будет, Кирилл не сомневался. «Амплитуда поля не может непосредственно наблюдаться или измеряться, так как поле очень быстро меняется во времени с частотой
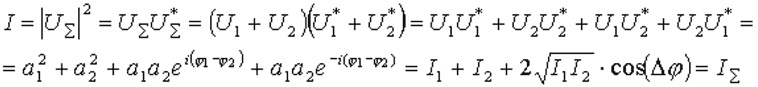
Из уравнения Максвелла следует, что интенсивность пропорциональна квадрату амплитуды поля
![]() Можно измерить квадрат модуля комплексной амплитуды, но невозможно измерить фазу и эйконал поля – при регистрации поля они теряются. Для сохранения информации о фазе (эйконале) требуется измерение интенсивности поля, складываемого из нескольких полей. 1.4.2. Наблюдаемые величины при сложении полей При сложении двух полей
![]() Таким образом, суммарная интенсивность записывается в виде уравнения интерферограммы: ![]() где
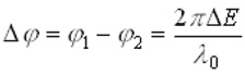
Явление, возникающее при сложении двух полей, называется интерференцией, а интерферограмма – это картина, наблюдаемая при интерференции. Сложение когерентных полей Когерентные поля характеризуются тем, что разность фаз (эйконалов) двух полей остается постоянной за время инерции приемника. В этом случае суммарная интенсивность определяется выражением (1.4.2), а картина распределения интенсивности представляет собой чередование темных и светлых полос, конфигурация которых зависит от изменения разности фаз
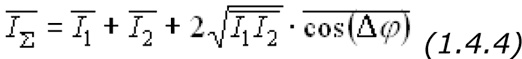
Введем понятие референтного (эталонного) поля, которое имеет известную картину фаз. При сравнении с ним выявляются параметры другого поля (интенсивность и фаза). Регистрируемая картина взаимодействия двух полей, одно из которых референтное, называется голограммой. Голограмма – это запись полной информации о поле, то есть его комплексной амплитуды. Интерферограмма и голограмма – способы записи комплексной амплитуды поля путем сравнения его с эталонным полем. Сложение некогерентных полей Если разность фаз полей меняется случайным образом много раз за время регистрации, то поля являются некогерентными. При регистрации суммарной интенсивности ее значения по времени усредняются: ![]() В выражении (1.4.4)
![]() 1.4.3. Квазимонохроматическое и полихроматическое поле Поле, излучаемое реальными источниками света, не бывает строго монохроматическим…» – Да, так я ничего не запомню! – Кирилл отложил в сторону учебник и полез за ручкой и листами бумаги (он специально захватил их из дома, понимая, что материал из «Основ оптики» можно выучить, только выписывая, и снова выписывая все формулы и определения подряд). – И кстати, в очередной раз вопрос: зачем меня сюда привезли? Чтобы позволить учиться в одиночестве? Считай, целый день прошел без толку, и кроме дурного задания от НН я ничем таким не занимался! – под «ничем таким» Кирилл имел в виду специфические задания с использованием видения. |
![Иллюстрация к книге — Факультет. Курс третий [i_002.jpg] Иллюстрация к книге — Факультет. Курс третий [i_002.jpg]](img/book_covers/068/68116/i_002.jpg)
![Иллюстрация к книге — Факультет. Курс третий [i_003.jpg] Иллюстрация к книге — Факультет. Курс третий [i_003.jpg]](img/book_covers/068/68116/i_003.jpg)
![Иллюстрация к книге — Факультет. Курс третий [i_004.jpg] Иллюстрация к книге — Факультет. Курс третий [i_004.jpg]](img/book_covers/068/68116/i_004.jpg)
![Иллюстрация к книге — Факультет. Курс третий [i_005.jpg] Иллюстрация к книге — Факультет. Курс третий [i_005.jpg]](img/book_covers/068/68116/i_005.jpg)
![Иллюстрация к книге — Факультет. Курс третий [i_006.jpg] Иллюстрация к книге — Факультет. Курс третий [i_006.jpg]](img/book_covers/068/68116/i_006.jpg)
![Иллюстрация к книге — Факультет. Курс третий [i_007.jpg] Иллюстрация к книге — Факультет. Курс третий [i_007.jpg]](img/book_covers/068/68116/i_007.jpg)
![Иллюстрация к книге — Факультет. Курс третий [i_008.jpg] Иллюстрация к книге — Факультет. Курс третий [i_008.jpg]](img/book_covers/068/68116/i_008.jpg)
![Иллюстрация к книге — Факультет. Курс третий [i_009.jpg] Иллюстрация к книге — Факультет. Курс третий [i_009.jpg]](img/book_covers/068/68116/i_009.jpg)
![Иллюстрация к книге — Факультет. Курс третий [i_010.jpg] Иллюстрация к книге — Факультет. Курс третий [i_010.jpg]](img/book_covers/068/68116/i_010.jpg)
![Иллюстрация к книге — Факультет. Курс третий [i_011.jpg] Иллюстрация к книге — Факультет. Курс третий [i_011.jpg]](img/book_covers/068/68116/i_011.jpg)
![Иллюстрация к книге — Факультет. Курс третий [i_012.jpg] Иллюстрация к книге — Факультет. Курс третий [i_012.jpg]](img/book_covers/068/68116/i_012.jpg)
![Иллюстрация к книге — Факультет. Курс третий [i_013.jpg] Иллюстрация к книге — Факультет. Курс третий [i_013.jpg]](img/book_covers/068/68116/i_013.jpg)
![Иллюстрация к книге — Факультет. Курс третий [i_014.jpg] Иллюстрация к книге — Факультет. Курс третий [i_014.jpg]](img/book_covers/068/68116/i_014.jpg)
![Иллюстрация к книге — Факультет. Курс третий [i_015.jpg] Иллюстрация к книге — Факультет. Курс третий [i_015.jpg]](img/book_covers/068/68116/i_015.jpg)
![Иллюстрация к книге — Факультет. Курс третий [i_016.jpg] Иллюстрация к книге — Факультет. Курс третий [i_016.jpg]](img/book_covers/068/68116/i_016.jpg)
![Иллюстрация к книге — Факультет. Курс третий [i_017.jpg] Иллюстрация к книге — Факультет. Курс третий [i_017.jpg]](img/book_covers/068/68116/i_017.jpg)
![Иллюстрация к книге — Факультет. Курс третий [i_018.jpg] Иллюстрация к книге — Факультет. Курс третий [i_018.jpg]](img/book_covers/068/68116/i_018.jpg)
![Иллюстрация к книге — Факультет. Курс третий [i_019.jpg] Иллюстрация к книге — Факультет. Курс третий [i_019.jpg]](img/book_covers/068/68116/i_019.jpg)