Книга Лев Ландау, страница 58 – Майя Бессараб

Авторы: А Б В Г Д Е Ж З И Й К Л М Н О П Р С Т У Ф Х Ч Ш Ы Э Ю Я
Книги: А Б В Г Д Е Ж З И Й К Л М Н О П Р С Т У Ф Х Ц Ч Ш Щ Ы Э Ю Я
Бесплатная онлайн библиотека LoveRead.in

Онлайн книга «Лев Ландау»

📃 Cтраница 58

Первое издание книги «Что такое теория относительности» вышло в свет в издательстве «Советская Россия» в 1959 году очень маленьким тиражом — всего 15 тысяч экземпляров (в 1963 году вышло второе издание тиражом 100 тысяч экземпляров). Не прошло и года со дня появления книги, как она была издана в Англии в отличном переводе профессора математической физики Эдинбургского университета Н. Кеммера. «Эта книга является не только блестящим вкладом в научно-популярную литературу, но также показывает в новом и привлекательном аспекте развитие научной мысли в России», — говорится в предисловии к английскому изданию.

Вместе с профессором Румером Ландау писал для газеты «Известия» статью «Парадокс времени»:

«Парадокс времени

20 сентября 1519 года флотилия Магеллана отчалила от берегов Испании и начала первое в истории человечества кругосветное плавание. Завершить его удалось лишь одному короблю. Он прибыл к островам Зеленого Мыса в июле 1522 года.

Моряки, отпущенные на берег, возвратились с поразившей их вестью: на суше четверг, тогда как на корабле, судя по календарю, только среда. Плывшие все время на запад моряки каким-то непонятным образом потеряли один день, и эта загадка взволновала образованных людей XVI столетия примерно так же, как волнует сейчас наших современников теория относительности.

Ученые вскоре объяснили загадку. Просто-напросто моряки своим первым кругосветным плаванием доказали, что Земля вращается вокруг оси, делая за сутки полный оборот. Моряки подтвердили то, что за четыреста лет до нашей эры Гераклид Понтийский высказал как смелую научную гипотезу.

В наше время образованных людей волнуют разговоры о том, что из теории относительности вытекает принципиальная возможность построить машину времени для путешествия в будущее. Что эта машина мыслится как космическая ракета, летящая со скоростью, близкой к скорости света. Что космонавт после путешествия в такой ракете, сам оставаясь молодым, увидит своих сверстников сильно постаревшими, то есть, иначе говоря, попадет в будущее.

Справедливы ли эти предположения? Да, справедливы. Более того, мы располагаем сейчас экспериментальными средствами, чтобы доказать принципиальную возможность создания машины времени, хотя до практического воплощения подобной машины, вероятно, еще очень и очень далеко.

Со времени создания теории относительности Альбертом Эйнштейном прошло более полувека. За это время теория относительности стала краеугольным камнем современной физики. Сегодня физика без теории относительности столь же немыслима, как и без представления об атомно-молекулярной структуре вещества. Теория относительности не только подтверждена огромным количеством опытных фактов, но и нашла инженерно-техническое применение в современных ускорителях заряженных частиц, при расчете ядерных реакторов и т. д.

И уж если следствия теории относительности проверены высшим судьей научного познания — практикой, то теория верна, как бы странно ни выглядели для неспециалиста ее положения.

Конечно, теория относительности принадлежит к числу «трудных» теорий, и нельзя от каждого читателя требовать свободного обращения с ее довольно сложным математическим аппаратом. Однако при помощи нескольких элементарных формул (за помещение их в статье мы просим прощения у читателей и у наборщиков) существо дела можно изложить сравнительно просто.

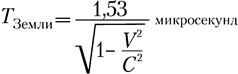
Вот как выглядит формула, которая связывает изменение длительности промежутков времени Т между двумя любыми событиями по “земным” и “ракетным” часам со скоростью движения ракеты:

Иллюстрация к книге — Лев Ландау [pic_2.jpg]

Здесь V — скорость движения ракеты относительно Земли, C — скорость света, равная 300 000 километров в секунду.

Связь между средним временем распада мю-мезона, измеренным по лабораторным часам, и скоростью его движения описывается формулой:

Иллюстрация к книге — Лев Ландау [pic_3.jpg]

Из теории относительности вытекает, что на Земле и на космической ракете время течет по-разному, то есть ход любых часов и протекание любых биологических процессов на ракете происходит медленнее, чем на Земле. Длительность промежутков времени между двумя любыми событиями по «земным» часам и по «ракетным» часам связаны простой формулой. Оказывается, их отношение зависит от отношения квадрата скорости ракеты относительно Земли к квадрату скорости света. (Напомним, что скорость света равна 300 000 километров в секунду.)

Зависимость эта такова, что, пока скорость ракеты мала по сравнению со скоростью света, различие длительностей промежутков времени между двумя любыми событиями на ракете и на Земле настолько ничтожно, что им можно и должно пренебречь.

Иное дело, если бы удалось построить ракету, летящую со скоростью, близкой к скорости света, например со скоростью 240 000 километров в секунду. На такой ракете можно было бы предпринять полет к Сириусу и обратно.

Сириус находится от нас на таком большом расстоянии, что свету нужно шесть лет, чтобы его преодолеть. (Напомним для сравнения, что от Солнца свет доходит к нам в течение всего лишь восьми минут.) Легко подсчитать время, которое потребуется для полета ракеты со скоростью 240 000 километров в секунду по маршруту Земля — Сириус и обратно. По “земным” часам и календарям для такого рейса понадобится пятнадцать лет.

Если мы теперь подсчитаем время, затраченное на этот рейс космонавтом (по его часам), то окажется, что оно равно девяти годам. Итак, космонавт прилетит обратно “омоложенным” на 15 — 9 = 6 лет. Другими словами, подобная ракета позволит космонавту за девять лет “путешествия во времени” попасть в будущее, отстоящее от него на шесть лет. Увеличивая скорость ракеты, можно совершать путешествия во все более и более отдаленное будущее.

Отметим, что из теории относительности следует принципиальная возможность создания машины времени только для путешествия в будущее. Напрасно даже надеяться, что дальнейшее развитие науки позволит нам путешествовать в прошлое. Иначе пришлось бы признать принципиально возможными нелепейшие ситуации. В самом деле, отправившись в прошлое, можно было бы очутиться в абсурдном положении человека, родители которого еще не появились на свет. Путешествие же в будущее таит в себе лишь кажущиеся противоречия.

Каковы же технические перспективы возможности построить машину времени?

При ближайшем рассмотрении они оказываются крайне мизерными. В самом деле, энергия движущейся ракеты, вес которой предельно скромен — одна тонна, при полете со скоростью 240 000 километров в секунду равна примерно 215 000 000 000 000 киловатт-часов. Столько энергии вырабатывается на всем земном шаре за несколько месяцев.

А ведь ракету надо еще разгонять в начале путешествия и затормаживать при его завершении, чтобы можно было безопасно приземляться. Если пользоваться современными ракетными двигателями, для этого потребовалось бы совершенно фантастическая энергия. Но даже если удастся сконструировать ракетный двигатель, выбрасывающий продукты сгорания с наибольшей возможной скоростью — скоростью света, то и тогда пришлось бы израсходовать энергию, примерно раз в двести большую указанной выше. Итак, на путешествие в будущее в самом лучшем случае понадобится столько энергии, сколько производится на всем земном шаре за несколько десятилетий. Сейчас это явно не по карману человечеству и вряд ли окажется доступным даже в отдаленном будущем. Мы уже не говорим о том, что при таких скоростях движения каждая встречная пылинка превратится в опасный снаряд.

Вход
Поиск по сайту
Ищем:
Календарь