Книга Теория организации, страница 74 – Валентина Парахина, Елена Шацкая, Татьяна Федоренко

Авторы: А Б В Г Д Е Ж З И Й К Л М Н О П Р С Т У Ф Х Ч Ш Ы Э Ю Я
Книги: А Б В Г Д Е Ж З И Й К Л М Н О П Р С Т У Ф Х Ц Ч Ш Щ Ы Э Ю Я
Бесплатная онлайн библиотека LoveRead.in

Онлайн книга «Теория организации»

📃 Cтраница 74

1) по степени соответствия достигаемых результатов установленным целям производственно-хозяйственной организации;

2) по степени соответствия процесса функционирования системы объективным требованиям к его содержанию, организации и результатам.

Критерием эффективности при сравнении различных вариантов организационной структуры служит возможность наиболее полного и устойчивого достижения конечных целей системы управления при относительно меньших затратах на ее функционирование. Критерием эффективности мероприятий по совершенствованию организационной структуры является возможность более полного и стабильного достижения установленных целей или сокращения затрат на управление, эффект от реализации которых должен за нормативный срок превысить производственные затраты.

Принципиальное значение для оценок эффективности системы управления имеет выбор базы для сравнения или определение уровня эффективности, который принимается за нормативный. При оценках эффективности организационной структуры могут быть использованы следующие группы показателей [6]:

1) показатели, характеризующие эффективность системы управления, выражающиеся через конечные результаты деятельности организации и затраты на управление (в качестве эффекта могут рассматриваться объем, прибыль, себестоимость, объем капитальных вложений, качество продукции и т. п.);

2) показатели, характеризующие содержание и организацию процесса управления, в том числе непосредственные результаты и затраты управленческого труда (в качестве затрат на управление учитываются текущие расходы на содержание аппарата управления, эксплуатацию технических средств, подготовку и переподготовку кадров и т. п.);

3) показатели, характеризующие рациональность организационной структуры и ее технико-организационный уровень (могут использоваться в качестве нормативных при анализе эффективности проектируемых вариантов организационных структур; к ним относятся звенность системы управления, принятые нормы управляемости, уровень централизации функций и т. п.).

В литературе разработаны количественные методы изучения зависимости между конечным результатом, достигнутым фирмой, и производительностью аппарата управления, которая может определяться как количество произведенной организацией конечной продукции, приходящейся на одного работника аппарата управления [16].

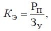
Коэффициент эффективности организационной структуры управления определяется по формуле

Иллюстрация к книге — Теория организации [i_095.jpg]

где РП – конечный результат (эффект), полученный от функционирования организационной структуры управления, руб.;

ЗУ – затраты на управление (фонд заработной платы, расходы на содержание помещений, приобретение и ремонт средств оргтехники, прием и передачу управленческой информации), руб.

Коэффициент звенности исчисляется по формуле

Иллюстрация к книге — Теория организации [i_096.jpg]

где ПЗВФ – количество звеньев существующей организационной структуры;

ПЗВО – оптимальное количество звеньев организационной структуры.

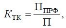
Коэффициент территориальной концентрации определяется по формуле

Иллюстрация к книге — Теория организации [i_097.jpg]

где ППР – количество организаций данного типа в регионе деятельности нашей организации;

П – площадь региона, на которой функционируют все организации данного типа.

Коэффициент дублирования функций определяется по формуле

Иллюстрация к книге — Теория организации [i_098.jpg]

где КО – количество работ, закрепленных за несколькими подразделениями;

КН – нормативное количество работ.

Коэффициент надежности системы управления рассчитывается по формуле

Иллюстрация к книге — Теория организации [i_099.jpg]

где КНЕР – количество нереализованных решений;

КОБЩ – общее количество решений, принятых в подразделении.

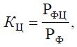
Степень централизации функций определяется по формуле

Иллюстрация к книге — Теория организации [i_100.jpg]

где РФЦ – количество принятых решений при выполнении данной функции на верхних уровнях управления;

РФ – общее число принятых решений на всех уровнях управления.

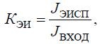
Коэффициент эффективности использования информации рассчитывается следующим образом:

Иллюстрация к книге — Теория организации [i_101.jpg]

где JЭИСП – количество случаев эффективного использования документа;

JВХОД – информация на входе.

Вся работа по проектированию организационных структур управления предполагает принятие нестандартных организационных решений с учетом внешней и внутренней среды окружения.

Контрольные вопросы и задания

1. Что такое организационное проектирование?

2. В чем заключается системный подход при организационном проектировании?

3. Назовите стадии процесса организационного проектирования. Раскройте их содержание.

4. В чем заключается сущность механистического подхода к проектированию организационных структур? Назовите условия его эффективного применения.

5. В чем заключается сущность органического подхода к проектированию организационных структур? Назовите условия его эффективного применения.

6. В чем заключается сущность механистического подхода к проектированию организационных структур?

7. Назовите и проанализируйте основные методы организационного проектирования.

8. Назовите критерии оценки эффективности организационных систем.

9. Какие показатели могут использоваться при оценке эффективности организационной структуры?

Глава 13. Тенденции развития организации
13.1. Модели организаций как объектов управления

В теории организации выделяют четыре типа моделей, отражающих эволюцию теоретических концепций, определяющих сущность самих организации, роль и доминирующие функции менеджмента, а также критерии, применяемые для оценки эффективности их деятельности.

Вход
Поиск по сайту
Ищем:
Календарь