Книга Бизнес-ангелы. Как привлечь их деньги и опыт под реализацию своих бизнес-идей, страница 10 – Брайан Алан Хилл, Ди Пауэр

Авторы: А Б В Г Д Е Ж З И Й К Л М Н О П Р С Т У Ф Х Ч Ш Ы Э Ю Я
Книги: А Б В Г Д Е Ж З И Й К Л М Н О П Р С Т У Ф Х Ц Ч Ш Щ Ы Э Ю Я
Бесплатная онлайн библиотека LoveRead.in

Онлайн книга «Бизнес-ангелы. Как привлечь их деньги и опыт под реализацию своих бизнес-идей»

📃 Cтраница 10

Для мотивации персонала в венчурных проектах наряду с зарплатой используется опционный метод. Опцион – право купить какую-либо акцию по заданной цене (цене исполнения) в определенный временной промежуток или момент времени. Этот инструмент очень распространен в США: выкупив акции по ценам исполнения, обладатели продают их на бирже после IPO со значительной прибылью. В американской практике программы наделения опционами сотрудников называются ESOP (Employee Stock Option Program).

В случае ангельского инвестирования контракты обычно на порядок проще, чем те, что используются венчурными фондами, однако многие перечисленные выше моменты содержатся и в них.

Хотя капитал бизнес-ангелов является по своей сути инвестиционным и акционерным, частично он может предоставляться в виде долгосрочного беззалогового кредита. Обычно в форме долга предоставляются не все инвестиции: некоторая их доля в виде обыкновенных или конвертируемых привилегированных акций обеспечивает участие инвесторов в управлении фирмой. В рамках данной практики удобным инструментом выступают convertible notes – долговые обязательства с возможностью конвертации в акции. Обычно процент по долгам convertible notes составляет 6–8%. Конвертация происходит в случае, если стоимость «фактической» доли инвестора в компании превышает величину кредита с учетом накопленных процентов.


Распределение долей сторон в проекте

Очень серьезным вопросом при заключении сделки об инвестировании являются переговоры о доле инвестора в проекте. В мировой практике это делается путем соизмерения предынвестиционной стоимости компании (pre-money) и объема инвестиций. Исходя из соотношения этих цифр, определяются доли сторон. Стоимость компании с учетом полученных инвестиций называется post-money – постинвестиционная стоимость.

В основу оценки закладывается понятие ожидаемого возврата на инвестиции ROI (в процентах годовых). Самым простым методом проведения расчета доли в компании является метод «Хоккейной клюшки».

1. Берется прогнозное значение S продаж на год k «выхода» инвестора.

2. Берется множитель P/S (капитализация к объему продаж) на основании данных по рынкам (в США и Европе данные коэффициенты публикуются).

3. Вычисляется значение P капитализации компании.

4. На основании заданных объема инвестиций I и величины ROI считается та сумма

P I = I(1 + ROI) k -

которую инвестор хочет получить в год «выхода».

5. Доля инвестора вычисляется по формуле:

Иллюстрация к книге — Бизнес-ангелы. Как привлечь их деньги и опыт под реализацию своих бизнес-идей [autogen_ebook_id12.jpg]

тем самым предынвестиционная стоимость оценивается инвестором как

Иллюстрация к книге — Бизнес-ангелы. Как привлечь их деньги и опыт под реализацию своих бизнес-идей [autogen_ebook_id13.jpg]

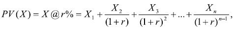
Данный метод очень грубый и отражает только позицию и интересы инвестора. Для более обоснованного определения стоимости венчурного проекта используется метод дисконтированного денежного потока (discounted cash flow, DCF), т. е. оценка предынвестиционной стоимости компании как дисконтированной стоимости ее будущих денежных поступлений. Ниже приводится базовый принцип вычисления дисконтированного денежного потока. Он весьма прост, однако на практике встает вопрос определения значений денежного потока на базе прогнозных данных по продажам компании и корректной ставки дисконтирования. Для этого нужны хорошие знания в сфере корпоративных финансов и теории оценки бизнеса. Хорошее их изложение имеется в книге А. Дамодарана «Инвестиционная оценка».

Если Х – денежный поток компании, значение денежного потока Х в k-й год равно Xk, а сам поток поступает в течении n лет, то дисконтированным денежным потоком X является сумма

Иллюстрация к книге — Бизнес-ангелы. Как привлечь их деньги и опыт под реализацию своих бизнес-идей [autogen_ebook_id14.jpg]

где r – корректно выбранная ставка дисконтирования (выбирается на базе стоимости капитала с учетом различных рисков).

В X следует отразить как промежуточные дивиденды, так и выручку на инвестора «выходе».

В случае наличия у компании долгов, или планах привлечения долгового финансирования вычисления существенно осложняются.

Иногда предынвестиционная стоимость компании оценивается затратным подходом, т. е. как рыночная стоимость имеющихся в ней активов. Для компаний ранних стадий в рамках этого подхода возникает задача оценки интеллектуальной собственности и прочих нематериальных активов (например, интернет-сайтов).

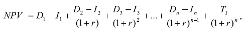
Для принятия решения об инвестировании используются два метода оценки эффективности инвестиций – метода чистой приведенной стоимости (Net Present Value, NPV) и внутренней нормы доходности (Internal Rate of Return, IRR). Оба метода используют дисконтированный денежный поток от компании к инвестору (не путать с денежным потоком компании).

Чистая приведенная стоимость NPV представляет собой дисконтированный денежный поток от проекта к инвестору за прогнозный период от начала инвестиций до выхода.

Иллюстрация к книге — Бизнес-ангелы. Как привлечь их деньги и опыт под реализацию своих бизнес-идей [autogen_ebook_id15.jpg]

где Dt – дивиденды инвестора в год i (заданная в бизнес-предложении величина);

I n – объем инвестиций в год i (заданная в бизнес-предложении величина);

T I – сумма, получаемая инвестором при выходе (прогноз);

r – ставка, дисконтирования, выбираемая исходя из ожидаемой им нормы доходности ROI.

Если NPV ≥ 0, то решение об инвестициях принимается.

Внутренняя норма доходности (IRR) представляет собой максимальный уровень дохода на инвестиции, при которой проект с заданным потоком средств будет представлять для него коммерческий интерес. А именно, если представить NPV как функцию от ставки дисконтирования, то IRR – это значение, при котором NPV равна 0. Нахождение IRR осуществляется решением уравнения:

Иллюстрация к книге — Бизнес-ангелы. Как привлечь их деньги и опыт под реализацию своих бизнес-идей [autogen_ebook_id16.jpg]
Вход
Поиск по сайту
Ищем:
Календарь