Книга Опционы. Разработка, оптимизация и тестирование торговых стратегий, страница 63 – Сергей Израйлевич, Вадим Цудикман

Авторы: А Б В Г Д Е Ж З И Й К Л М Н О П Р С Т У Ф Х Ч Ш Ы Э Ю Я
Книги: А Б В Г Д Е Ж З И Й К Л М Н О П Р С Т У Ф Х Ц Ч Ш Щ Ы Э Ю Я
Бесплатная онлайн библиотека LoveRead.in

Онлайн книга «Опционы. Разработка, оптимизация и тестирование торговых стратегий»

📃 Cтраница 63

Рассмотрим примеры вычисления значений выпуклой и вогнутой весовых функций (для n = 2 и n = 0,5, соответственно) для показателя «математическое ожидание прибыли». Воспользуемся данными, приведенными в таблице 4.3.2, для портфеля, состоящего из 20 акций. Минимальное значение показателя равно 0,0003, а максимальное значение составляет 0,0191. Вычислим значение выпуклой весовой функций для акции AAPL:

Иллюстрация к книге — Опционы. Разработка, оптимизация и тестирование торговых стратегий [i_139.jpg]

Используя степенной показатель n = 0,5, получим для этой же акции значение вогнутой функции: f–(x) = 0,01373. Воспользовавшись формулой 4.3.5, можем рассчитать веса этой комбинации в составе портфеля. Если капитал будет распределяться по выпуклой функции, то вес комбинации AAPL составит 0,082, а если по вогнутой, то 0,072.

Вычислив аналогичным способом значения обеих функций для всех 20 акций, получим два варианта распределения капитала – по выпуклой и вогнутой весовым функциям. На левом графике рис. 4.4.8 показаны значения двух трансформированных весовых функций и оригинальной линейной функции, послужившей исходным материалом для их расчета. Особенностью выпуклой функции является то, что все ее значения (за исключением экстремумов) меньше, чем значения исходной линейной функции. Для вогнутой функции справедливым будет обратное утверждение – все ее значения (за исключением экстремумов) больше, чем значения исходной линейной функции.

Иллюстрация к книге — Опционы. Разработка, оптимизация и тестирование торговых стратегий [i_140.jpg]

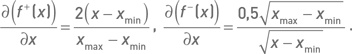
Для наших целей крайне важными будут характеристики чувствительности трансформированных функций к изменениям исходной весовой функции. Ниже мы опишем свойства выпуклой и вогнутой функций по отдельности для низких и высоких значений ее аргумента (исходной, нетрансформированной функции). Эти описания базируются на визуальном анализе левого графика рис. 4.4.8, а также на производных функции 4.4.1. Полагая ymin = xmin, ymax = xmax, производные выпуклой (n = 2) и вогнутой (n = 0,5) функций имеют вид:

Иллюстрация к книге — Опционы. Разработка, оптимизация и тестирование торговых стратегий [i_141.jpg]
Выпуклая функция

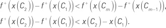
На относительно высоких интервалах значений исходной функции приращение значений выпуклой функции больше, чем на низких интервалах значений исходной функции. Другими словами, разница в значениях трансформированной функции между комбинацией с наибольшим значением показателя и комбинацией со вторым по величине значением показателя больше, чем разница в значениях трансформированной функции между комбинацией со средним или низким значением показателя и комбинацией с предыдущим значением показателя. Кроме того, на высоких интервалах значений исходной функции приращение значений выпуклой функции больше, чем приращение значений самой исходной функции. Формально это можно выразить следующим образом. Обозначим через x(Ci) значение показателя i-й комбинации. Пусть портфель состоит из m комбинаций {C1, C2…, Cm}. Причем x(Cm) > x(Cm – 1), x(Cm – 1) > x(Cm – 2) и так далее. Тогда для выпуклой функции соблюдаются неравенства:

Иллюстрация к книге — Опционы. Разработка, оптимизация и тестирование торговых стратегий [i_142.jpg]

На низких интервалах значений исходной функции приращение значений выпуклой функции меньше, чем на высоких интервалах значений. Разница в значениях трансформированной функции между комбинацией со вторым по величине значением показателя и комбинацией с первым (самым низким) значением показателя меньше, чем разница в значениях трансформированной функции между комбинацией со средним или высоким значением показателя и комбинацией с предыдущим значением показателя. Кроме того, на низких интервалах значений исходной функции приращение значений выпуклой функции меньше, чем приращение значений самой исходной функции. Формально это можно выразить следующими неравенствами:

Иллюстрация к книге — Опционы. Разработка, оптимизация и тестирование торговых стратегий [i_143.jpg]
Вогнутая функция

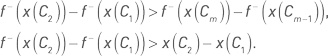
На высоких интервалах значений исходной функции приращение значений вогнутой функции меньше, чем на низких интервалах значений исходной функции. Другими словами, разница в значениях трансформированной функции между комбинацией с наибольшим значением показателя и комбинацией со вторым по величине значением показателя меньше, чем разница в значениях трансформированной функции между комбинацией со средним или низким значением показателя и комбинацией с предыдущим значением показателя. Кроме того, на высоких интервалах значений исходной функции приращение значений вогнутой функции меньше, чем приращение значений самой исходной функции. Формально это можно выразить следующим образом:

Иллюстрация к книге — Опционы. Разработка, оптимизация и тестирование торговых стратегий [i_144.jpg]

На низких интервалах значений исходной функции приращение значений вогнутой функции больше, чем на высоких интервалах значений. Разница в значениях трансформированной функции между комбинацией со вторым по величине значением показателя и комбинацией с первым (самым низким) значением показателя больше, чем разница в значениях трансформированной функции между комбинацией со средним или высоким значением показателя и комбинацией с предыдущим значением показателя. Кроме того, на низких интервалах значений исходной функции приращение значений вогнутой функции больше, чем приращение значений самой исходной функции. Формально это можно выразить следующими неравенствами:

Иллюстрация к книге — Опционы. Разработка, оптимизация и тестирование торговых стратегий [i_145.jpg]
Расчет весов по трансформированным весовым функциям

В тот момент, когда все значения трансформированной функции определены, расчет весов производится по формуле 4.3.5. Правый график рис. 4.4.8 показывает веса, рассчитанные по весовым функциям, представленным на левом графике этого рисунка (данные взяты из таблицы 4.3.2; исходная весовая функция – показатель «математическое ожидание прибыли»; выпуклая и вогнутая функции рассчитаны по формуле 4.4.1 при n = 2 и n = 0,5 соответственно). Прямая линия на графике демонстрирует веса, соответствующие нетрансформированной весовой функции.

Вход
Поиск по сайту
Ищем:
Календарь