Книга Опционы. Разработка, оптимизация и тестирование торговых стратегий, страница 37 – Сергей Израйлевич, Вадим Цудикман

Авторы: А Б В Г Д Е Ж З И Й К Л М Н О П Р С Т У Ф Х Ч Ш Ы Э Ю Я
Книги: А Б В Г Д Е Ж З И Й К Л М Н О П Р С Т У Ф Х Ц Ч Ш Щ Ы Э Ю Я
Бесплатная онлайн библиотека LoveRead.in

Онлайн книга «Опционы. Разработка, оптимизация и тестирование торговых стратегий»

📃 Cтраница 37

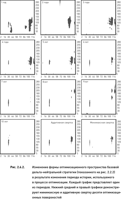
Проведем тест на устойчивость оптимизационного пространства базовой дельта-нейтральной стратегии, оптимизируемой по целевой функции «прибыль». Для того чтобы определить степень устойчивости данного пространства к длине исторического периода, проведем последовательно серию оптимизаций на исторических периодах разной длины. Все оптимизации, представленные нами ранее в этой главе, основывались на десятилетнем историческом периоде. Теперь исследуем оптимизации, выполненные на девятом, восьмом, …, первом годах ценовой истории.

Для того чтобы результаты оптимизаций были сопоставимы (а также для того, чтобы было возможно построить свертку нескольких оптимизаций), необходимо чтобы значения целевой функции в каждом случае находились приблизительно в одном диапазоне. Это достигается с помощью трансформации, описанной в разделе, посвященном многокритериальному анализу (формула 2.4.1).

Сравнение 10 оптимизационных поверхностей (рис. 2.6.2, для простоты восприятия графиков показаны только оптимальные области) выявляет наличие двух устойчивых оптимальных областей, присутствующих почти на всех поверхностях. Одна из них расположена в районе 28–32 дней по параметру «количество дней до экспирации» и 85–140 дней по параметру «период истории для расчета HV» (будем условно называть эту область «левой»). Вторая оптимальная область имеет координаты 108–112 по первому параметру и 90–160 по второму (будем называть эту область «правой»).

Левая область присутствует на всех оптимизационных поверхностях, кроме двух– и трехлетней. Площадь ее поверхности достаточно стабильна (изменяясь весьма незначительно от случая к случаю). Исключение составляет только оптимизация, проведенная на однолетнем периоде. В этом случае левая область имеет большую площадь и, по сути, представляет собой три отдельные сгруппированные области.

Правая область также присутствует на всех оптимизационных поверхностях, за исключением единственного случая, когда оптимизация проводилась на десятилетнем периоде. Еще в двух случаях эта область оказалась несколько смещенной в область более высоких значений параметра «период истории для расчета HV». Площадь поверхности правой области более изменчива, чем площадь левой области. В оптимизациях, проведенных на 1-, 2-, 3-, 4– и 5-летнем периодах, правая область имеет довольно большие размеры. В противоположность этому на оптимизационных поверхностях, полученных на более продолжительных периодах, она имеет меньшую площадь поверхности. Кроме того, во всех случаях правая область не является единой, а раздроблена на большое количество субобластей.

Степень устойчивости оптимизационного пространства можно оценить разными методами. Самый простой из них – визуальный. Сравнение разных графиков рис. 2.6.2 в принципе указывает на то, что данная оптимизация достаточно устойчива. Это следует из описанного выше персистентного расположения оптимальных областей. Можно оценить степень устойчивости количественно, например, путем вычисления изменчивости координат узлов, составляющих оптимальные области.

Иллюстрация к книге — Опционы. Разработка, оптимизация и тестирование торговых стратегий [i_067.jpg]

В том случае, когда устойчивость оценивается на основании сравнения большого количества оптимизационных поверхностей (как в нашем примере), можно использовать метод свертки. Идея заключается в том, что если поверхности очень отличаются друг от друга (то есть оптимизация является не устойчивой), то свертка таких поверхностей будет иметь большое количество беспорядочно разбросанных оптимальных областей. Если же оптимальные области располагаются на всех поверхностях приблизительно в одних и тех же местах (то есть если оптимизация устойчива), то свертка будет иметь одну или несколько четко обозначенных оптимальных областей. Нижний средний и правый графики рис. 2.6.2 демонстрируют аддитивную и минимаксную свертку десяти оптимизационных поверхностей (оба вида свертки оказались в данном случае почти идентичными). Левая и правая оптимальные области на этих свертках достаточно четко обозначены и локализованы, что еще раз подтверждает наш вывод об устойчивости оптимизации к изменению используемого периода истории.

2.7. Методы оптимизации

До сих пор мы использовали самый информативный способ оптимизации – полный перебор всех возможных комбинаций параметров. Этот метод требует вычисления значений целевой функции во всех узлах оптимизационного пространства. Поскольку расчет целевой функции каждого узла требует сложных многоступенчатых вычислений, недостаток полного перебора состоит в большом количестве расчетов и времени требуемого для завершения полного оптимизационного цикла. С увеличением числа параметров количество расчетов и времени растет по степенному закону. Расширение области допустимых значений параметров и уменьшение шага оптимизации также увеличивают продолжительность времени, необходимого для полного перебора.

Во всех рассмотренных ранее примерах оптимизировались всего два параметра, для каждого из которых тестировались 60 значений. Соответственно, оптимизационное пространство состояло из 3600 ячеек. В среднем продолжительность одной прогонки (вычисление одного узла) составляла порядка одной минуты (при использовании системы параллельных вычислений на нескольких современных персональных компьютерах). Это означает, что для построения полного оптимизационного пространства, аналогичного рассматривавшимся ранее, требуется около 60 часов. Очевидно, что это неприемлемо для оперативной работы по построению и модификации автоматизированных торговых стратегий. Более того, добавление в систему лишь одного дополнительного параметра (всего три) увеличивает время вычислений до пяти месяцев! Все это делает полный перебор не самым практичным, а во многих случаях и вовсе не применимым, методом поиска оптимальных решений.

Решить эту проблему можно путем применения специализированных методик, не требующих полного перебора всех узлов оптимизационного пространства. Существует целая группа методов (от самых простых до невероятно сложных), позволяющих вести поиск максимума функции целенаправленно. Эта область прикладной математики продолжает быстро развиваться, постоянно разрабатываются новые, все более и более высокотехнологичные методики. В этом разделе мы не будем касаться двух самых популярных (из категории сложных) разделов оптимизации – генетических алгоритмов и нейронных сетей. Во-первых, эти методы настолько сложны, что каждый из них требует как минимум отдельной книги (количество публикаций на эту тему растет с каждым годом). Во-вторых, задачи параметрической оптимизации с ограниченным количеством параметров в большинстве случаев можно решить менее затратными способами (чрезвычайно сложные торговые системы, требующие применения этих методик, не являются предметом этой книги). В этом разделе мы рассмотрим пять специализированных методов поиска оптимальных решений. Эти методы были выбраны по принципу эффективности (с учетом специфики решаемых задач) и простоты их практической реализации.

Методы оптимизации, не требующие полного перебора, имеют два существенных недостатка. Предполагается, что оптимизационное пространство унимодально, то есть имеет единственный экстремум. При наличии в пространстве параметров нескольких локальных экстремумов (то есть когда пространство полимодально) эти методы могут привести к решению, которое не является наилучшим (то есть выбрать локальный экстремум вместо глобального максимума). Образно говоря, такую ситуацию можно описать как восхождение на вершину холма вместо покорения расположенного неподалеку горного пика. Это общий недостаток всех методов, использующих значения целевой функции в непосредственной близости от ранее вычисленных узлов, для постепенного улучшения значения функции. Это объективный недостаток, присущий всем без исключения методам целенаправленного поиска. Как мы уже сказали, гарантию нахождения глобального экстремума в общем случае дает лишь полный перебор всех узлов оптимизационного пространства.

Вход
Поиск по сайту
Ищем:
Календарь