Книга Как построить идеальную карьеру, страница 62 – Сергей Шапиро

Авторы: А Б В Г Д Е Ж З И Й К Л М Н О П Р С Т У Ф Х Ч Ш Ы Э Ю Я
Книги: А Б В Г Д Е Ж З И Й К Л М Н О П Р С Т У Ф Х Ц Ч Ш Щ Ы Э Ю Я
Бесплатная онлайн библиотека LoveRead.in

Онлайн книга «Как построить идеальную карьеру»

📃 Cтраница 62

8. Главное отделение НЭПа от политики «военного коммунизма» —

1. замена продразверстки продналогом

2. развитие различных форм кооперации

3. денационализация мелких и средних предприятий

4. развитие рыночных отношений и частного предпринимательства

5. разрешение сдавать землю в аренду

Правильный ответ: __________

9. Крупнейшей военной операцией Советской Армии на завершающем этапе Великой Отечественной войны была

1. Восточно-Прусская

2. Висло-Одерская3. Петсамо-Киркенесская

4. Берлинская

5. Пражская

Правильный ответ: __________

10. Самое крупное достижение внешней политики СССР в 60– 70-е годы XX века – это

1. договор о запрещении испытаний ядерного оружия в трех средах

2. договор о нераспространении ядерного оружия

3. договоры ОСВ-1 и ОСВ-2

4. договор СССР-ФРГ о признании послевоенных границ в Европе

5. подписание заключительного акта Совещания по безопасности и сотрудничеству в Европе , созданного по инициативе СССР в 1975 г.

Правильный ответ: __________

Российская Академия предпринимательства

_______________________________________

Русский язык. Контрольное задание для абитуриентов 2006 года поступления.

Ниже предлагаются задания с вариантами ответов. После текста самого задания приводятся пронумерованные варианты ответов. Абитуриентам предлагается выбрать правильные и отметить их в указанном месте согласно приложенным обозначениям.

1. Буква -а– пишется в корне всех слов ряда:

1. взр…стить, пл…вец, к…сательная

2. з…ря, р…внина, м…кать

3. предл…гать, оз…рение, р…сток

4. ск…кать, благотв…рительность, отр…сль

Правильный ответ:_______________________

2. Буква -е– пишется во всех словах ряда:

1. дириж…р, печ…шь, ж…лтый

2. капюш…н, деш…вый, удруч…нный

3. сожж…нный, ш…колад, ш…ссе

Правильный ответ:_________________________

3. Удвоенные согласные пишутся со всеми словами в ряду:

1. ба(л,лл)отироваться, нове(л,лл)а, ди(л,лл)ер, бри(л,лл)иант

2. ко(р,рр)упция, ко(р,рр)идор, ко(р,рр)ектор, ка(р,рр)икатура

3. оди(н,нн)адцать, коло(н,нн)а, а(н,нн)отация, те(н,нн)ис

4. се(с,сс)ия, продю(с,сс)ер, режи(с,сс)ер, профе(с,сс)ия

Правильный ответ:_____________________

4. Буква -е– пишется во всех словах ряда:

1. пр…ближение, пр…града

2. пр…тендент, пр…ватизация

3. пр…восходство, пр…подаватель

4. пр…тензия, пр…тязание

5. пр…вередливый, пр…хорошенький

Правильный ответ:______________________

5. Одна -н– пишется во всех словах ряда:

1. оловя(н,нн)ый, серебря(н,нн)ый

2. песча(н,нн)ый, воспита(н,нн)ый

3. гуси(н,нн)ый, исти(н,нн)ый

4. ветре(н,нн)ый, копче(н,нн)ости

5. кова(н,нн)ный, маринова(н,нн)ый

Правильный ответ: ____________________

6. Раздельно пишутся все наречия в ряду:

1.(во)первых, (под)стать

2.(без)отказа, (в)заключение

3.(на)лицо, (в)открытую

4.(в)начале, (без)спросу

5.(по)двое, (на)прокат

Правильный ответ: ___________________

7. Разделительный твердый знак пишется во всех словах ряда:

1. пред…явить, вороб…и, непод…емный

2. с..агитировать, об…являть, трех…ярусный

3. ад..ютант, под…езд, двух…язычный

Правильный ответ: ______________________

8. Частица не пишется слитно со всеми словами в ряду:

1.(не)зачем, (не)думая, (не)серьезный

2.(не)знакомка, (не)плохо, весьма (не)красивый поступок

3.(не)вареный, (не)взрачный, (не)под силу

Правильный ответ: ________________________

9. Определите тип сложного предложения

В праздничные дни около шалаша собирается целая ярмарка и за деревьями поминутно мелькают красные уборы. (И. Бунин)

1. сложносочиненное

2. сложноподчиненное

3. бессоюзное

Правильный ответ: _____________________

10. Предложение, в котором пропущен знак препинания:

1. Я знаю в вашем сердце есть и гордость, и прямая честь. (А. Пушкин)

2. Он работал спустя рукава.

3. Бунина большинство знает как прозаика. (К. Паустовский)

4. Расстояние не помеха для друзей. (Пословица)

Правильный ответ: ______________________

Российская Академия предпринимательства.

_______________________________________

МАТЕМАТИКА. Контрольные задания для абитуриентов 2006 года поступления.

Ниже предлагаются задания с вариантами ответов. После текста самого задания приводятся пронумерованные варианты ответов. Абитуриентам предлагается выбрать правильные и отметить их в указанном месте согласно предложенным обозначениям.

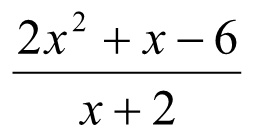
1. Сократите дробь

Иллюстрация к книге — Как построить идеальную карьеру [imgc746762e468a46eb90d398a08ef3d0e2.jpg]

1. x–1,5 2. 2x–3 3. x+1,5 4. 2x+3

Правильный ответ:_________

2. При каких значениях t уравнение 3x2−6x+t=0 имеет два разных корня?

1.(−∞;3) 2. (3;∞) 3. (−∞;24) 4.

Иллюстрация к книге — Как построить идеальную карьеру [img640a59268ee14663ab67da8bcb0c4a5b.jpg]

Правильный ответ:__________

Вход
Поиск по сайту
Ищем:
Календарь