Онлайн книга «Финансовый менеджмент»
|
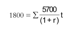
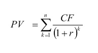
2. Проект признается эффективным, если обеспечивается возврат исходной суммы инвестиций и требуемая доходность для инвесторов, предоставивших капитал. 3. Инвестируемый капитал равно как и денежный поток приводится к настоящему времени или к определенному расчетному году (который как правило предшествует началу реализации проекта). 4. Процесс дисконтирования капитальных вложений и денежных потоков производится по различным ставкам дисконта, которые определяются в зависимости от особенностей инвестиционных проектов. При определении ставки дисконта учитываются риск, структура инвестиций и стоимость капитала (затраты на капитал). Суть всех методов оценки базируется на следующей простой схеме: Исходные инвестиции при реализации какого-либо проекта генерируют денежный поток CF1, CF2, … , CFn. Инвестиции признаются эффективными, если этот поток достаточен для – возврата исходной суммы капитальных вложений и – обеспечения требуемой отдачи на вложенный капитал. Основные показатели Чистая текущая стоимость – NPV (чистый дисконтированный доход, чистый приведенный эффект, чистая приведенная стоимость) это разница между текущей стоимостью будущих притоков денежных средств и суммой первоначальной инвестиции. NPV=PV−IC PV – общая накопленная величина дисконтированных доходов; IC – инвестиции. ![]() CF – денежные потоки про проекту; r – ставка дисконтирования; k – период. ![]() СF – потоки денежных средств (поступления периода – платежи периода). Обоснование ставки дисконтирования для расчета стоимости должно отражать инфляционные ожидания, риск инвестирования, цену источников финансирования, альтернативные затраты. Положительность NPV говорит о прибыльности инвестиций. Если показатель отрицательный – следует отказаться от проекта. Чистая дисконтированная стоимость увеличивает активы и рыночную оценку организации, что находит выражение в увеличении цены акции. Положительное значение NPV по проекту означает, что данные инвестиционные затраты порождают чистые денежные потоки с доходностью большей, чем альтернативные варианты на рынке с таким же уровнем риска, т.е. что доходность проекта превышает требуемую доходность владельцев капитала (стоимость капитала проекта). Внутренняя норма рентабельности IRR (внутренняя норма доходности, дисконтированная норма прибыли) это ставка дисконтирования, при которой чистая текущая стоимость равна нулю. Это такая ставка, при которой проект полностью окупается.(рис 6.7.) ![]() Рис. 4.2. Связь показателей NPV и IRR Смысл этого показателя при оценке проекта следующий – он показывает максимально допустимый относительный уровень расходов, связанных с данным проектом. IRR=r,прикоторомNPV=f(r)=0 Другими словами, для внутренней нормы рентабельности IC = PV. Компания, как правило, принимает проект, норма рентабельности которого не ниже текущего значения средневзвешенной стоимости капитала WACC, или стоимости затрат на капитал для проекта.IRR показывает максимальную ставку по заемным средствам, которую можно платить за финансирование ресурсов, работая безубыточно. Если, например, проект полностью финансируется за счет ссуды коммерческого банка, то значение показывает верхнюю границу допустимого уровня банковского процента, превышение которого делает проект убыточным. Первоначальная стоимость инвестиций составила 18000 тыс. рублей. Проект генерирует доходы в течение 5 лет по 5700 тыс. рублей ежегодно. Определим IRR: ![]() Из этого уравнения определим, что внутренняя норма прибыли IRR равна 17,5 %. Значение IRR можно определить с помощью финансового калькулятора или постепенным подбором подходящего значения ставки дисконтирования, добиваясь приближения NPV к нулевому значению. Достоинства метода: – оценка прибыльности проекта; – независимость от ставки дисконта, выбираемой со многими допущениями; – сведение критерия к одной цифре. Недостатки: – необходимость расчета средневзвешенной цены капитала; – трудоемкость расчетов; – предположение, лежащее в основе данного критерия о реинвестировании доходов под ставку, равную доходности самого проекта. Сравнение критериев NPV и IRR. NPV находится при заданной ставке дисконта, а IRR находится при заданном значении NPV. По данным из примера рассчитаем значения NPV при различных значениях цены капитала. ![]() Из этих данных видно, что NPV проекта Б более чувствительна к изменению цены капитала. Посмотрим это на графике (рис. 1). График NPV проекта Б пересекает горизонтальную ось при значении цены капитала, равной 11,8 %, а график NPV проекта А проходит нулевое значение при цене капитала 14,%%. Точка пересечения кривой NPV с горизонтальной осью называется ![]() Индекс рентабельности РI (коэффициент рентабельности) является относительным показателем, характеризует уровень дисконтированных доходов на единицу инвестиционных затрат. ![]() где PV – приведенная стоимость дисконтированных доходов; IC – инвестиционные затраты. ![]() Показатель удобен при выборе из ряда альтернативных проектов, имеющих приблизительно одинаковые значения NPV, и при комплектовании портфеля инвестиций. |
![Иллюстрация к книге — Финансовый менеджмент [imgadb8505e690b429dad08b24b64faa914.jpg] Иллюстрация к книге — Финансовый менеджмент [imgadb8505e690b429dad08b24b64faa914.jpg]](img/book_covers/066/66991/imgadb8505e690b429dad08b24b64faa914.jpg)
![Иллюстрация к книге — Финансовый менеджмент [img51f6762b60b84fe9a563936865dff3b8.jpg] Иллюстрация к книге — Финансовый менеджмент [img51f6762b60b84fe9a563936865dff3b8.jpg]](img/book_covers/066/66991/img51f6762b60b84fe9a563936865dff3b8.jpg)
![Иллюстрация к книге — Финансовый менеджмент [img72c09be86b17497bb5812f880a8a405f.jpg] Иллюстрация к книге — Финансовый менеджмент [img72c09be86b17497bb5812f880a8a405f.jpg]](img/book_covers/066/66991/img72c09be86b17497bb5812f880a8a405f.jpg)
![Иллюстрация к книге — Финансовый менеджмент [imge3904e6a7e01428fb901764a6de17e71.jpg] Иллюстрация к книге — Финансовый менеджмент [imge3904e6a7e01428fb901764a6de17e71.jpg]](img/book_covers/066/66991/imge3904e6a7e01428fb901764a6de17e71.jpg)
![Иллюстрация к книге — Финансовый менеджмент [img1f30d6c212aa4bc18fb3f68f506cfaf6.jpg] Иллюстрация к книге — Финансовый менеджмент [img1f30d6c212aa4bc18fb3f68f506cfaf6.jpg]](img/book_covers/066/66991/img1f30d6c212aa4bc18fb3f68f506cfaf6.jpg)
![Иллюстрация к книге — Финансовый менеджмент [imgc692e1c63c5e4321b87afe04070f4817.jpg] Иллюстрация к книге — Финансовый менеджмент [imgc692e1c63c5e4321b87afe04070f4817.jpg]](img/book_covers/066/66991/imgc692e1c63c5e4321b87afe04070f4817.jpg)
![Иллюстрация к книге — Финансовый менеджмент [img05280aeaca994307b9728256a143b813.jpg] Иллюстрация к книге — Финансовый менеджмент [img05280aeaca994307b9728256a143b813.jpg]](img/book_covers/066/66991/img05280aeaca994307b9728256a143b813.jpg)
![Иллюстрация к книге — Финансовый менеджмент [img0bf9722937a8422ba3a43462f1c3cc3b.jpg] Иллюстрация к книге — Финансовый менеджмент [img0bf9722937a8422ba3a43462f1c3cc3b.jpg]](img/book_covers/066/66991/img0bf9722937a8422ba3a43462f1c3cc3b.jpg)