Онлайн книга «Финансовый менеджмент»
|
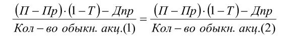
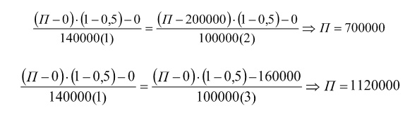
На первом этапе расчетов по модели рассчитываются показатели чистой прибыли на акцию для каждого варианта. На следующем этапе графически определяют точку безразличия для каждой пары вариантов. Цель – установление точек безразличия (равновесия), в которых прибыль на акцию будет иметь одно и то же значение независимо от выбранной схемы финансирования. При значениях операционной прибыли, превышающих уровень равновесия, финансирование с высокой долей заемных средств позволит получить более высокую прибыль на акцию. При значениях операционной прибыли ниже точки равновесия, например, при минимуме заемных средств, тоже можно получить более высокую прибыль на акцию. ЧП=(П−Пр)⋅(1−Т) где П – операционная прибыль; Пр – проценты к уплате за пользование заемным капиталом; Т – ставка налога на прибыль. Показатель ПНА представляет собой ЧП за минусом дивидендов по привилегированным акциям, деленную на количество акций в обращении. ![]() где ЧП – чистая прибыль; Дпр – дивиденды по привилегированным акциям; Кол-во обыкн. акц. – количество обыкновенных акций в обращении. Точка безразличия или равновесия между любыми двумя способами финансирования может быть определена нахождением П в следующем уравнении: ![]() (1) и (2) – планы финансирования, соответственно 1 и 2. Модель финансового рычага представляют в виде таблицы, включающей параметры, влияющие на выбор наилучшего варианта финансирования по критерию «чистая прибыль на акцию». Организация имеет капитал, состоящий только из акционерного капитала в размере 5 млн. руб. Планирует увеличить его на 2 млн. руб. для инвестиций в оборудование. Ожидаемая операционная прибыль (в случае привлечения капитала и реализации инвестиционного решения) – 1 млн. руб. Рассматриваются 3 варианта финансирования: 1) Эмиссия обыкновенных акций (40 000 обыкновенных акций номиналом 50 руб. каждая); 2) Эмиссия облигаций под 10 %; 3) Эмиссия привилегированных акций (див. 8 %). Текущая величина прибыли до выплаты процентов и налогов (ПДПН) составляет 1000000 долларов, ставка налога равна 50 %. В настоящее время 100000 обыкновенных акций находится в обращении. Для определения точек равновесия при планируемом уровне ПДПН в размере 1 млн. долларов построим модель, представленную в таблице 3.3. Таблица 3.3 Модель финансового рычага ![]() Следующим этапом является определение точек равновесия, в которых ПНА будет иметь одно и то же значение независимо от выбранной схемы финансирования. Определить точку равновесия важно для принятия решения о структуре капитала. ![]() Рис. 3.3. График зависимости ПДПН – ПНА Построим графики взаимосвязи (ПДПН – ПНА) для каждой пары вариантов финансирования (рис. 3.3). Проект с обыкновенными акциями не имеет фиксированных расходов, следовательно, пересечение на горизонтальной оси будет в нулевой точке. Проект с долговыми обязательствами предусматривает значение ПДПН в размере 20000 долларов для выплаты процентов, соответственно, горизонтальная ось пересекается именно в этой точке. Для проекта с привилегированными акциями необходимо 320000 долларов ля покрытия дивидендов на привилегированные акции при 50 %-й ставке налога: 160000/ (1 – 0,5). Точка равновесия для проектов (1) и (2) определяется следующим образом: ![]() Отсюда получаем: операционная прибыль (ПДПН) в точке равновесия двух вариантов финансирования равна 1120000. Решение: 1. При любом уровне операционной прибыли (ПДПН) вариант финансирования 2) «долговые обязательства» лучше, чем вариант «привилегированные акции» по критерию «чистая прибыль на акцию». 2. При уровне ПДПН выше 700000 вариант «долговые обязательства «лучше, чем вариант финансирования «обыкновенные акции». Если ПДПН ниже 700000, будет действовать обратная зависимость. 3. При уровне ПДПН выше 1120000 вариант финансирования «привилегированные акции» предпочтительнее, чем вариант финансирования «обыкновенные акции». Выбор финансовых альтернатив Существует несколько ключевых факторов, влияющих на выбор дополнительного долгосрочного финансирования: – стоимость дополнительно привлеченного капитала; – риск; – ситуация на рынке капитала; – момент, наиболее выгодный для продажи ценных бумаг; – контроль над собственностью. К факторам, влияющим на выбор оптимальной структуры капитала относятся: – Вид экономической деятельности компании (отраслевая специфика): структура имущества и длительность операционного цикла. Компании с «тяжелой» структурой активов (значительным объемом внеоборотных активов) в основном ориентируются на финансирование за счет собственных источников. Наличие высоколиквидных активов и активов универсального применения (например, автомобилей) упрощает привлечение заемных средств, сохраняя невысокий уровень риска неликвидности. Длительность операционного цикла – высокая оборачиваемость средств, благоприятный фактор привлечения заемных источников. – Темпы роста оборота компании. Чем они выше, тем больше ее склонность к заимствованиям. – Уровень доходности. Чем выше уровень рентабельности инвестированного капитала, тем компании легче привлечь инвесторов и тем выше кредитный рейтинг и возможности привлечения заемного капитала. – Уровень налогообложения прибыли. Поскольку процентные платежи по заемным источникам уменьшают налогооблагаемую прибыль, компании выгодно привлекать заемные средства. – Стоимость заемного финансирования (рост затрат на заемный капитал), связанная с конъюнктурой финансового рынка. При существенном росте процентных ставок, увеличивается риски компании, ЭФР не возникает, привлечение заемного капитала нецелесообразно. – Склонность руководства и собственников к заимствованиям (финансовый менталитет). |
![Иллюстрация к книге — Финансовый менеджмент [img4951202a60ab48b9a2870b384c530210.jpg] Иллюстрация к книге — Финансовый менеджмент [img4951202a60ab48b9a2870b384c530210.jpg]](img/book_covers/066/66991/img4951202a60ab48b9a2870b384c530210.jpg)
![Иллюстрация к книге — Финансовый менеджмент [img68a3e9b5577f43958d6f25243054edb1.jpg] Иллюстрация к книге — Финансовый менеджмент [img68a3e9b5577f43958d6f25243054edb1.jpg]](img/book_covers/066/66991/img68a3e9b5577f43958d6f25243054edb1.jpg)
![Иллюстрация к книге — Финансовый менеджмент [img5bd8bc2ebc7742078aa52f7e9c309362.jpg] Иллюстрация к книге — Финансовый менеджмент [img5bd8bc2ebc7742078aa52f7e9c309362.jpg]](img/book_covers/066/66991/img5bd8bc2ebc7742078aa52f7e9c309362.jpg)
![Иллюстрация к книге — Финансовый менеджмент [img1f781373e95e486b8639682b4edb4dd3.jpg] Иллюстрация к книге — Финансовый менеджмент [img1f781373e95e486b8639682b4edb4dd3.jpg]](img/book_covers/066/66991/img1f781373e95e486b8639682b4edb4dd3.jpg)
![Иллюстрация к книге — Финансовый менеджмент [img737e09b814f441cfa3fd28360eb09a08.jpg] Иллюстрация к книге — Финансовый менеджмент [img737e09b814f441cfa3fd28360eb09a08.jpg]](img/book_covers/066/66991/img737e09b814f441cfa3fd28360eb09a08.jpg)